• US Legal Forms

Alabama Jury Instruction - Defendant's Request for Jury Instruction - General Criminal Instructions

State:
Alabama
Control #:
AL-11
Format:
Word; 
Rich Text
Instant download

Description

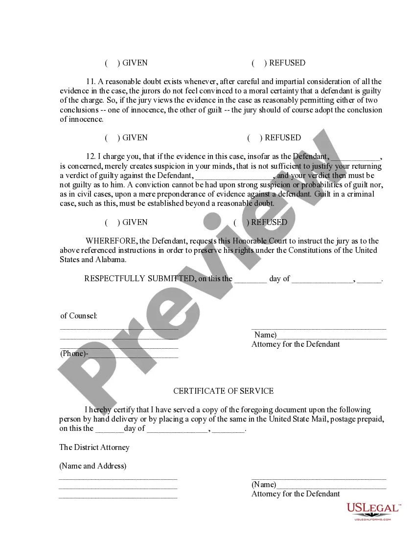
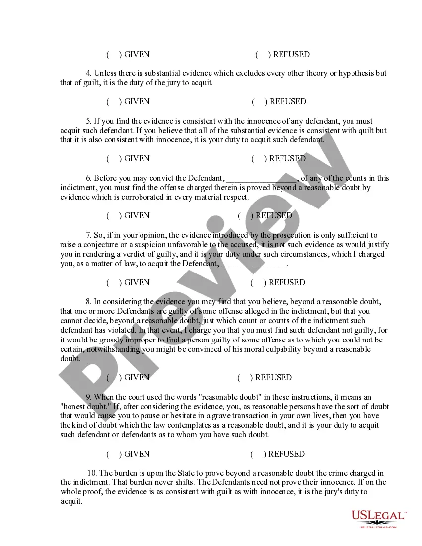
This is a sample Defendant's Request for Jury Instructions in a criminal action. You may add or delete instructions to meet the needs of a specific case.

Free preview
  • Preview Jury Instruction - Defendant's Request for Jury Instruction - General Criminal Instructions
  • Preview Jury Instruction - Defendant's Request for Jury Instruction - General Criminal Instructions
  • Preview Jury Instruction - Defendant's Request for Jury Instruction - General Criminal Instructions
  • Preview Jury Instruction - Defendant's Request for Jury Instruction - General Criminal Instructions

How to fill out Alabama Jury Instruction - Defendant's Request For Jury Instruction - General Criminal Instructions?

Utilizing Alabama Jury Instruction - Defendant's Request for Jury Instruction - General Criminal Instructions examples produced by experienced attorneys allows you to avoid stress while completing paperwork.

Simply obtain the template from our site, fill it in, and seek legal advice to review it.

This can assist you in saving significantly more time and expenses compared to searching for a lawyer to draft a document entirely from the beginning tailored to your requirements.

Employ the Preview feature and examine the details (if accessible) to determine if you require this particular example, and if so, click Buy Now.

  1. If you hold a US Legal Forms subscription, just Log In to your profile and revisit the sample section.
  2. Locate the Download button next to the templates you’re assessing.
  3. After retrieving a file, all your saved documents will be available in the My documents tab.
  4. If you lack a subscription, that's not a significant issue.
  5. Just comply with the instructions below to register for an online account, acquire, and complete your Alabama Jury Instruction - Defendant's Request for Jury Instruction - General Criminal Instructions template.
  6. Verify and ensure that you are obtaining the correct state-specific document.

Form popularity

FAQ

A curative instruction is given to a jury by the judge in a case to negate the prejudicial effect of an erroneous instruction or tainted evidence.

Instructions to the Jury The judge instructs the jury about the relevant laws that should guide its deliberations. (In some jurisdictions, the court may instruct the jury at any time after the close of evidence. This sometimes occurs before closing arguments.) The judge reads the instructions to the jury.

A jury instruction is given by the judge to the jury to explain what is happening in the court, to explain the points of law relevant to the case, to explain certain aspects of the evidence presented and to assist the jurors in understanding their duties in reaching a verdict.

A judgment notwithstanding the verdict (or JNOV) is an order by a judge after a jury has returned its verdict. The judge can overturn the jury's verdict if he or she feels it cannot reasonably be supported by the evidence or if it contradicts itself.

These are civil or criminal jury instructions approved by a state court, bench committee, or bar association. They are commonly used by courts in the relevant jurisdiction, as they ease the process of drafting fair jury instructions and theoretically do not have errors.

Jury instructions, directions to the jury, or judge's charge are legal rules that jurors should follow when deciding a case.

The judge instructs the jury about the relevant laws that should guide its deliberations. (In some jurisdictions, the court may instruct the jury at any time after the close of evidence.The judge reads the instructions to the jury. This is commonly referred to as the judge's charge to the jury.

Trusted and secure by over 3 million people of the world’s leading companies

Alabama Jury Instruction - Defendant's Request for Jury Instruction - General Criminal Instructions