Utah Divorce Ut Forms Pdf

State:
Utah
Control #:
UT-01900BG
Format:
Word; 
Rich Text
Instant download

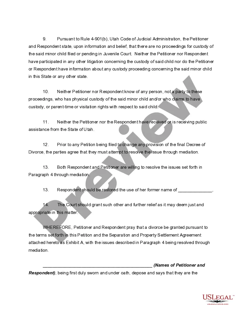
Description

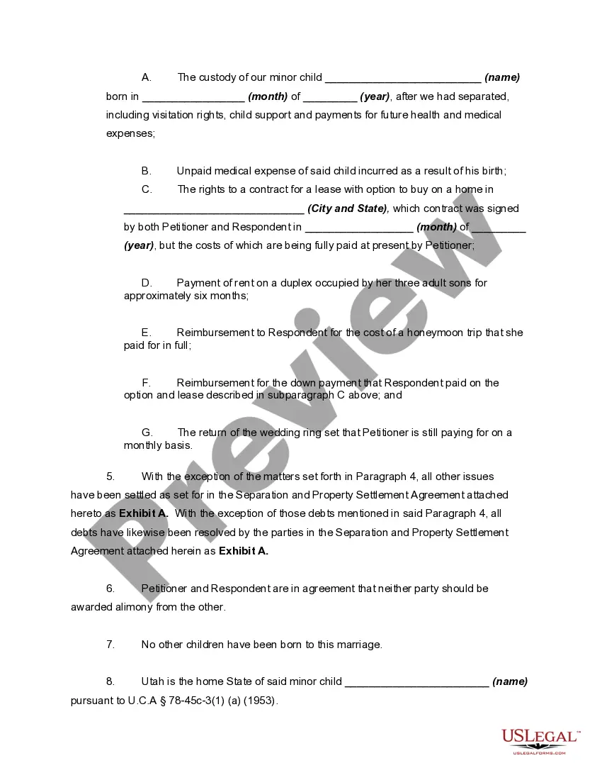
The Utah divorce ut forms pdf, specifically the Joint Petition for Bifurcated Divorce, is designed to facilitate the divorce process for parties seeking to legally separate while addressing specific issues such as property division, child custody, and visitation rights. This form allows both parties to submit a unified request for divorce, reducing potential conflict and streamlining court proceedings. It requires detailed information about residency, marriage duration, separation details, and the status of children and property. Individuals using this form should complete all relevant sections and ensure they have an accompanying Separation and Property Settlement Agreement for any unresolved matters. The form is beneficial for attorneys, partners, owners, associates, paralegals, and legal assistants as it provides clear guidelines on divorce proceedings in Utah. Notably, the need for mediation is emphasized for any custody disputes, encouraging resolution outside of court. Additionally, both parties must agree on the absence of alimony and have no outstanding child custody disputes. Users are instructed on witnessing signatures and obtaining notarization, which is vital for the validity of the document. Overall, the form aids in ensuring that the divorce process is conducted efficiently and respectfully, maintaining a neutral tone throughout the proceedings.
Free preview
  • Preview Joint Petition for Bifurcated Divorce - Bifurcation
  • Preview Joint Petition for Bifurcated Divorce - Bifurcation
  • Preview Joint Petition for Bifurcated Divorce - Bifurcation
  • Preview Joint Petition for Bifurcated Divorce - Bifurcation
  • Preview Joint Petition for Bifurcated Divorce - Bifurcation

Form popularity

FAQ

The first step in seeking a divorce is to assess your situation and gather essential documents. This foundation will help you gain clarity about your options. Afterward, consider obtaining Utah divorce ut forms pdf from uslegalforms, which can guide you through the necessary steps and make the process more manageable.

The cheapest way to get a divorce often involves filing for an uncontested divorce, where both parties agree on major issues. Utilizing online resources can significantly reduce costs. You can find affordable solutions like Utah divorce ut forms pdf through uslegalforms, which simplifies the paperwork process and minimizes legal fees.

Filing for divorce first in Utah can provide an advantage. It allows you to choose the venue and set the timeline for proceedings. Being proactive may also help you control important decisions regarding assets and custody. To navigate this process smoothly, consider using Utah divorce ut forms pdf available on uslegalforms.

The time it takes to receive your divorce papers in Utah can vary. Typically, online requests for Utah divorce ut forms pdf are processed quickly, often within a few hours. However, if you use traditional mail methods, it may take several days, so consider your timeline when submitting your request.

To contact Utah Vital Records, you can visit their official website for detailed information and assistance. They provide phone numbers and email contacts for inquiries about obtaining vital documents. If you need a divorce decree, they can direct you to the appropriate Utah divorce ut forms pdf that you might require.

Yes, divorce papers must be served in Utah. This legal requirement ensures that both parties are notified of the divorce proceedings. You can find the correct Utah divorce ut forms pdf to comply with this requirement on various legal platforms, including US Legal Forms.

To get a copy of your divorce decree in Utah, you can request it from the court where your divorce was filed. Alternatively, you can access it online through the Utah State Courts’ website. Using the right Utah divorce ut forms pdf can streamline your request process.

You can obtain divorce papers in Utah from several sources. The easiest way is to visit the US Legal Forms website, which offers a comprehensive collection of Utah divorce ut forms pdf. Additionally, local court websites often provide downloadable forms that you can use.

Yes, you can file for divorce in Utah without hiring a lawyer. Utah provides self-help resources and forms that are available online. You can find the necessary Utah divorce ut forms pdf on the US Legal Forms platform, simplifying the process and making it manageable.

Yes, you can obtain a copy of your divorce decree online in Utah. The Utah State Courts' website provides access to various legal documents, including divorce decrees. By searching through their system, you can find and download the appropriate Utah divorce ut forms pdf for your needs.

Trusted and secure by over 3 million people of the world’s leading companies

Utah Divorce Ut Forms Pdf