Adding Beneficiaries To An Irrevocable Trust

Category:
State:
Multi-State
Control #:
US-0642BG
Format:
Word; 
Rich Text
Instant download

Description

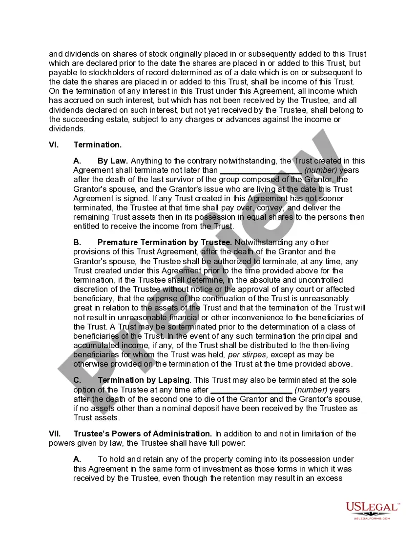
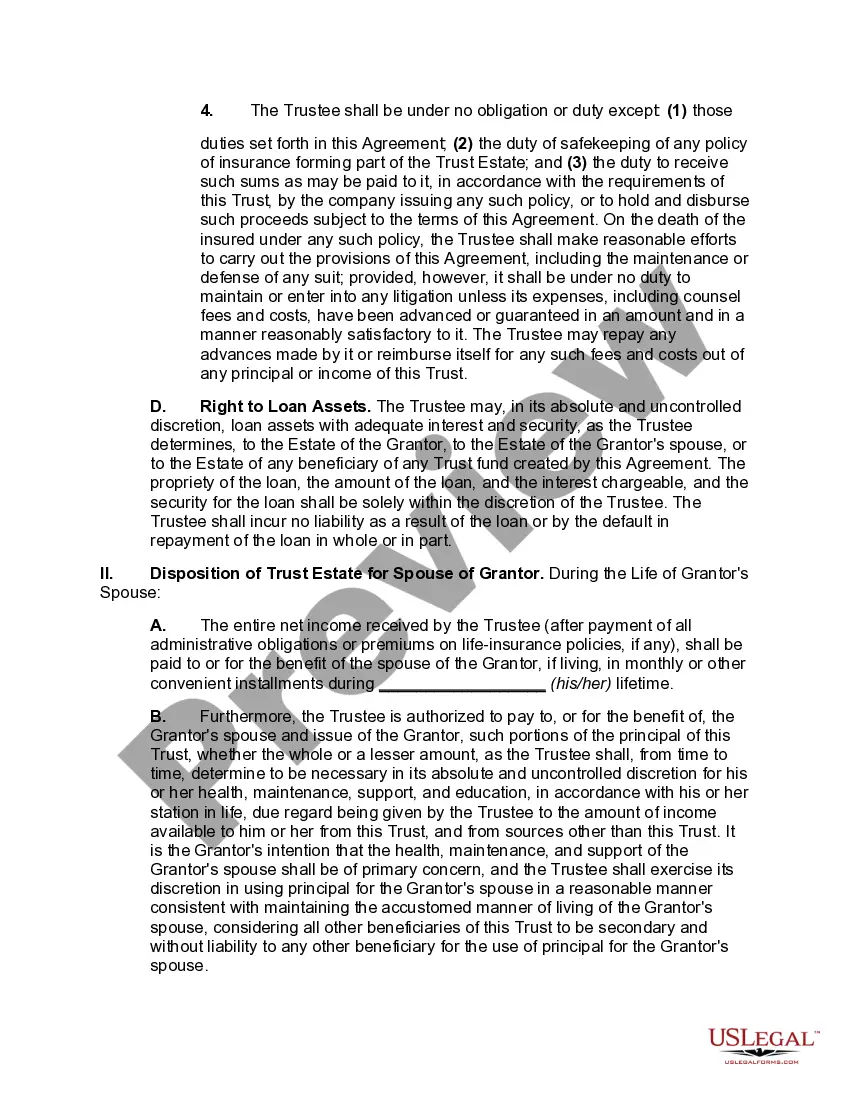
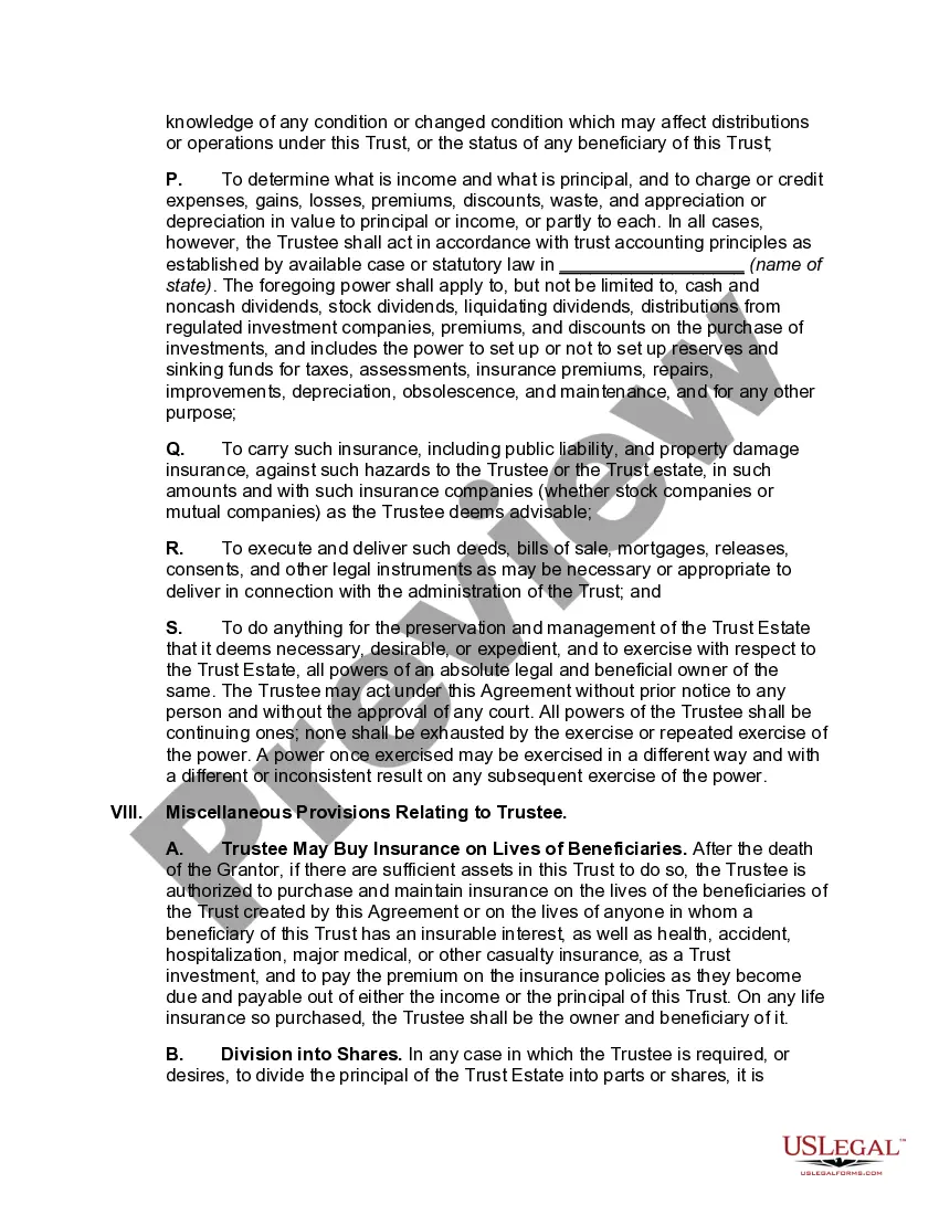
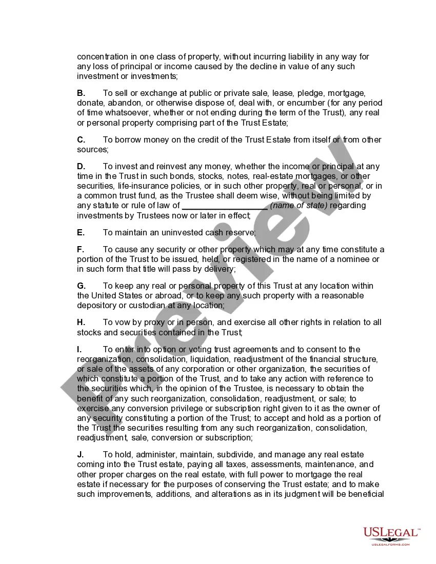
The document provides a Trust Agreement for establishing an Irrevocable Life Insurance Trust, outlining key provisions regarding adding beneficiaries, which is crucial for estate planning. It emphasizes that the Grantor can irrevocably transfer insurance policies and assets into the trust, with the Trustee holding and managing these assets for the benefit of the Grantor's spouse and children. Users can add additional property to the trust at any time, ensuring flexibility. The beneficiaries have a Crummey right of withdrawal, meaning they can request withdrawals from the trust within specified limits each year. The Trustee is granted extensive powers to manage trust assets, including loaning money and making discretionary distributions for the beneficiaries' health and education. This form is particularly useful for attorneys, partners, owners, associates, paralegals, and legal assistants, as it provides clear instructions on filling out and modifying the trust document to meet clients' specific needs and comply with legal standards. The form facilitates effective planning for legacy distribution while ensuring tax advantages through its irrevocable nature.
Free preview
  • Preview Irrevocable Life Insurance Trust - Beneficiaries Have Crummey Right of Withdrawal
  • Preview Irrevocable Life Insurance Trust - Beneficiaries Have Crummey Right of Withdrawal
  • Preview Irrevocable Life Insurance Trust - Beneficiaries Have Crummey Right of Withdrawal
  • Preview Irrevocable Life Insurance Trust - Beneficiaries Have Crummey Right of Withdrawal
  • Preview Irrevocable Life Insurance Trust - Beneficiaries Have Crummey Right of Withdrawal
  • Preview Irrevocable Life Insurance Trust - Beneficiaries Have Crummey Right of Withdrawal
  • Preview Irrevocable Life Insurance Trust - Beneficiaries Have Crummey Right of Withdrawal
  • Preview Irrevocable Life Insurance Trust - Beneficiaries Have Crummey Right of Withdrawal
  • Preview Irrevocable Life Insurance Trust - Beneficiaries Have Crummey Right of Withdrawal
  • Preview Irrevocable Life Insurance Trust - Beneficiaries Have Crummey Right of Withdrawal
  • Preview Irrevocable Life Insurance Trust - Beneficiaries Have Crummey Right of Withdrawal

How to fill out Irrevocable Life Insurance Trust - Beneficiaries Have Crummey Right Of Withdrawal?

Handling legal paperwork and tasks can be a lengthy addition to your daily routine.

Incorporating Beneficiaries To An Irrevocable Trust and similar forms often necessitates searching for them and grasping the process to fill them out efficiently.

Therefore, whether you're managing financial, legal, or personal issues, having a thorough and user-friendly online repository of forms at your disposal will significantly benefit you.

US Legal Forms is the leading online resource for legal templates, featuring over 85,000 state-specific documents and various tools to help you complete your paperwork swiftly.

Is this your first experience with US Legal Forms? Register and create an account in just a few minutes to access the form library and Adding Beneficiaries To An Irrevocable Trust. Follow the steps outlined below to finalize your document.

  1. Browse the available collection of suitable documents with a single click.
  2. US Legal Forms offers you state- and county-specific forms available anytime for download.
  3. Safeguard your document management activities with a premium service that allows you to prepare any document in minutes without incurring additional or hidden costs.
  4. Simply Log In to your account, locate Adding Beneficiaries To An Irrevocable Trust, and download it instantly under the My documents section.
  5. You can also access previously downloaded documents.

Form popularity

FAQ

Indiana doesn't have a general business license at the state level, so there are no fees there. However, your business may need a state-level occupational license or municipal-level license or permit to operate.

How much is an Indiana Business License? Indiana doesn't have a general business license at the state level, so there are no fees there. However, your business may need a state-level occupational license or municipal-level license or permit to operate.

Not all Indiana companies require licenses. However many companies have the option to get a license and some need to. There isn't a universal Indiana company license, rather there are several hundred various certifications, permits, licenses, etc., that give permission to engage in certain businesses.

Resident Business Entity Producer License Renewal License Renewal Guidelines/Requirements. Renew Online through Sircon.com. Renew Online through NIPR.com. Renew via Uniform NAIC Paper Renewal Application (mail to IDOI along with check or money order made payable to IDOI) Print a License.

This mobile site allows the user to perform a ?Full Name? or ?Partial Name? search of any business entity within the State of Indiana on your smart phone. Go to to access the service.

Your Indiana LLC Business Entity Report is due every 2 years, before the last day of your LLC's anniversary month. Your LLC's anniversary month is the month it was approved by the state.

To renew your Indiana driver's license after it has expired, you will need to provide: Your name. Date of birth. Address. Social Security number. Your old license.

What is an independent contractor ing to Canadian law? Independent contractors are workers who provide paid services to another party.

Trusted and secure by over 3 million people of the world’s leading companies

Adding Beneficiaries To An Irrevocable Trust