Definition Of Offering Memorandum

State:
Multi-State
Control #:
US-04061BG
Format:
Word; 
Rich Text
Instant download

Description

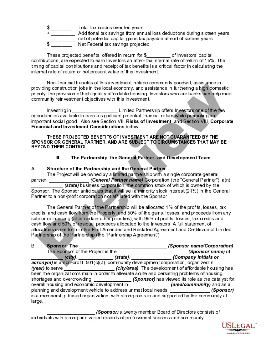
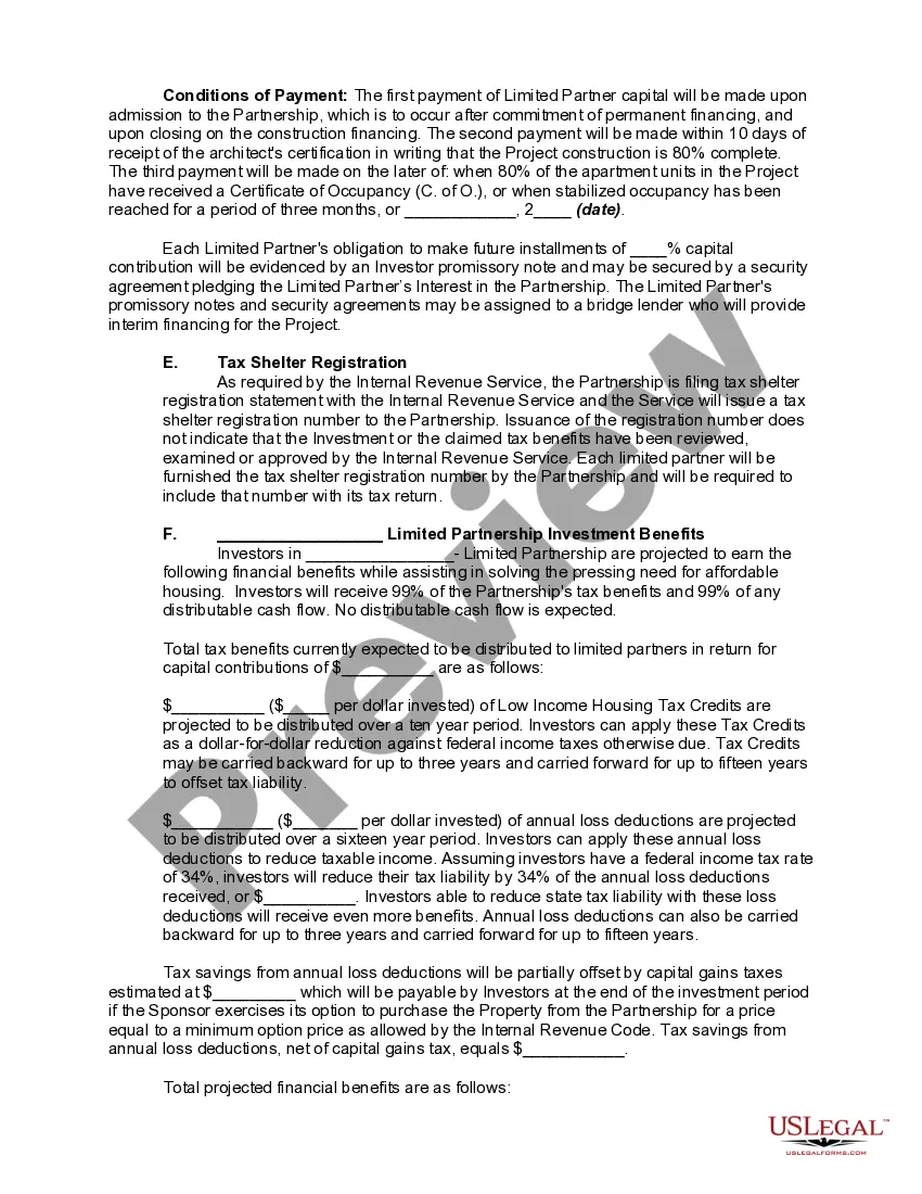
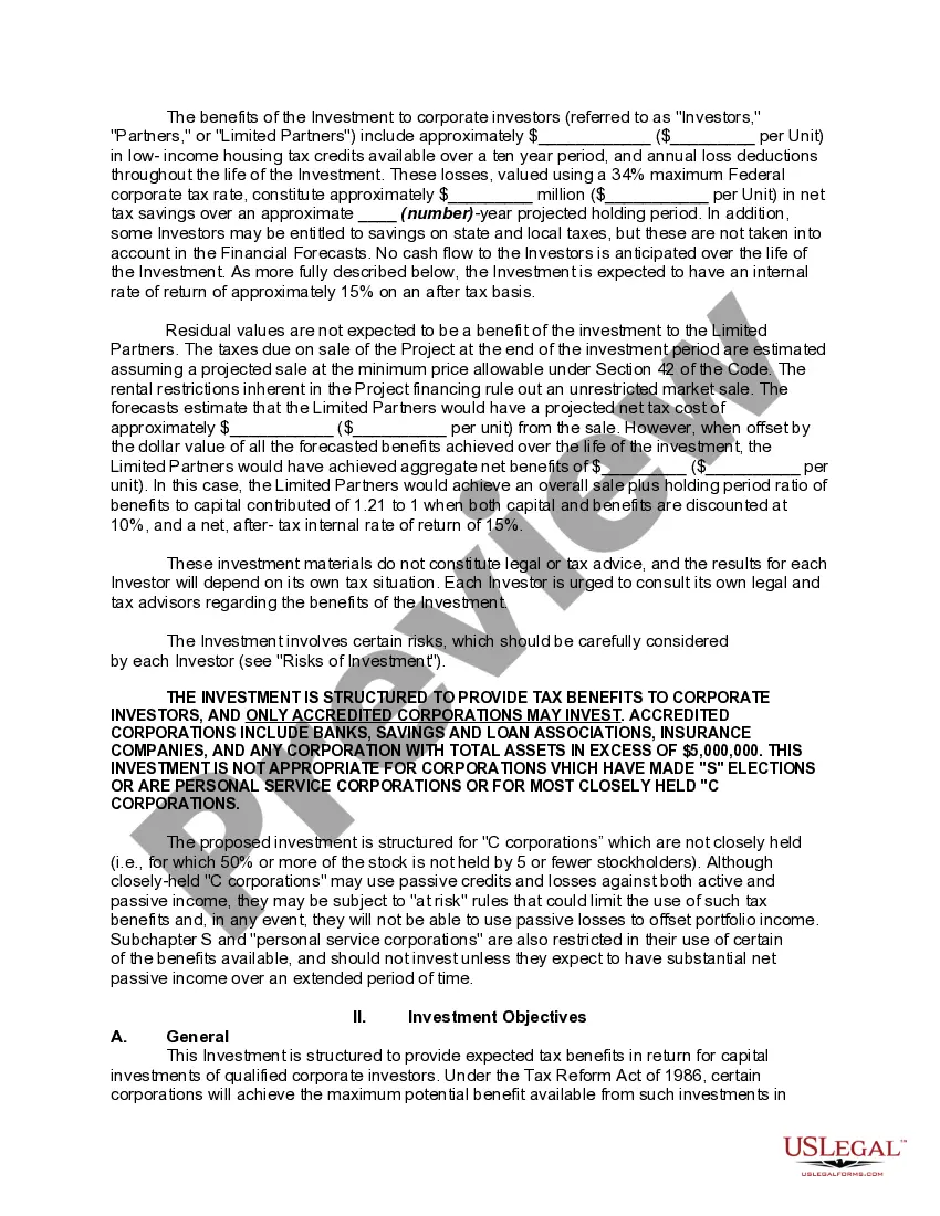
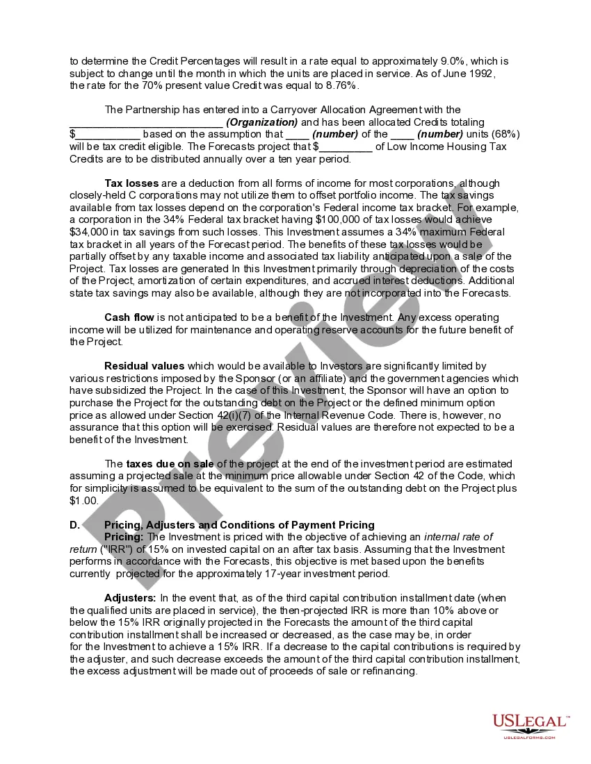
The Offering Memorandum serves as a vital document for a Limited Partnership, detailing the investment opportunity and related financial information. It provides a comprehensive definition of an offering memorandum, outlining key features such as the limited partnership structure, investment benefits, and partnership agreements. Users must carefully fill out the form by providing specific numerical information regarding the investment amount, unit count, and financial forecasts. Editing the memorandum requires clear adherence to legal and regulatory guidelines, ensuring compliance with the Securities Act of 1933 and other relevant laws. This document is intended for a target audience that includes attorneys, partners, owners, associates, paralegals, and legal assistants, offering them structured insights into investment suitability, risks, and tax implications. By consulting this memorandum, these professionals can assess the merits and risks of the investment, gather necessary legal advice, and engage in informed discussions with potential investors.
Free preview
  • Preview Offering Memorandum - Limited Partnership
  • Preview Offering Memorandum - Limited Partnership
  • Preview Offering Memorandum - Limited Partnership
  • Preview Offering Memorandum - Limited Partnership
  • Preview Offering Memorandum - Limited Partnership
  • Preview Offering Memorandum - Limited Partnership
  • Preview Offering Memorandum - Limited Partnership
  • Preview Offering Memorandum - Limited Partnership
  • Preview Offering Memorandum - Limited Partnership
  • Preview Offering Memorandum - Limited Partnership
  • Preview Offering Memorandum - Limited Partnership

How to fill out Offering Memorandum - Limited Partnership?

Handling legal documents and operations might be a time-consuming addition to your day. Definition Of Offering Memorandum and forms like it typically need you to search for them and understand the best way to complete them effectively. Consequently, regardless if you are taking care of economic, legal, or personal matters, using a comprehensive and hassle-free online catalogue of forms on hand will significantly help.

US Legal Forms is the best online platform of legal templates, offering more than 85,000 state-specific forms and a number of tools to help you complete your documents quickly. Check out the catalogue of relevant papers accessible to you with just a single click.

US Legal Forms gives you state- and county-specific forms offered at any time for downloading. Shield your document administration procedures using a top-notch services that allows you to put together any form within a few minutes without any extra or hidden charges. Just log in in your profile, find Definition Of Offering Memorandum and acquire it straight away in the My Forms tab. You can also access previously downloaded forms.

Is it your first time using US Legal Forms? Sign up and set up up a free account in a few minutes and you’ll gain access to the form catalogue and Definition Of Offering Memorandum. Then, follow the steps listed below to complete your form:

  1. Make sure you have found the correct form by using the Preview feature and looking at the form information.
  2. Select Buy Now as soon as all set, and choose the monthly subscription plan that suits you.
  3. Choose Download then complete, sign, and print the form.

US Legal Forms has twenty five years of expertise assisting users deal with their legal documents. Obtain the form you want right now and enhance any process without breaking a sweat.

Form popularity

FAQ

In investment finance, an offering memorandum is a kind of a detailed business plan that highlights information required by an investor to understand the business. It provides details on the terms of engagement, potential risks associated with the business, and a detailed description of the operations of the business.

If you have hired a commercial real estate marketing agency, they will do the heavy lifting in creating your offering memorandum. After doing a thorough review of your company and your offering they will then create the document.

An offering memorandum is a legal document that states the objectives, risks, and terms of an investment involved with a private placement. This document includes items such as a company's financial statements, management biographies, a detailed description of the business operations, and more.

Information in the OM document should include: Building description including property and location overview, demographics, operation and management. Summary of the property's past, present, and potential future return based on different assumptions.

?Detailed specifics for a good Offering Memorandum Confidential disclaimer. ?As a legal document, the offering memorandum should contain a confidentiality disclaimer stating the credibility and transparency of the real estate deal. Executive summary. ... Financial information. ... Location information. ... A call-to-action.

Trusted and secure by over 3 million people of the world’s leading companies

Definition Of Offering Memorandum