Oregon Cohabitation Agreement With Child

State:
Oregon
Control #:
OR-513R
Format:
Word; 
Rich Text
Instant download

Description

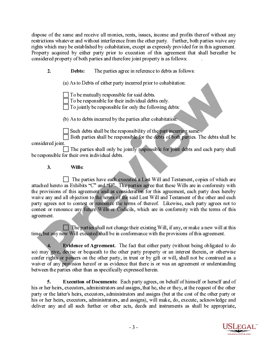
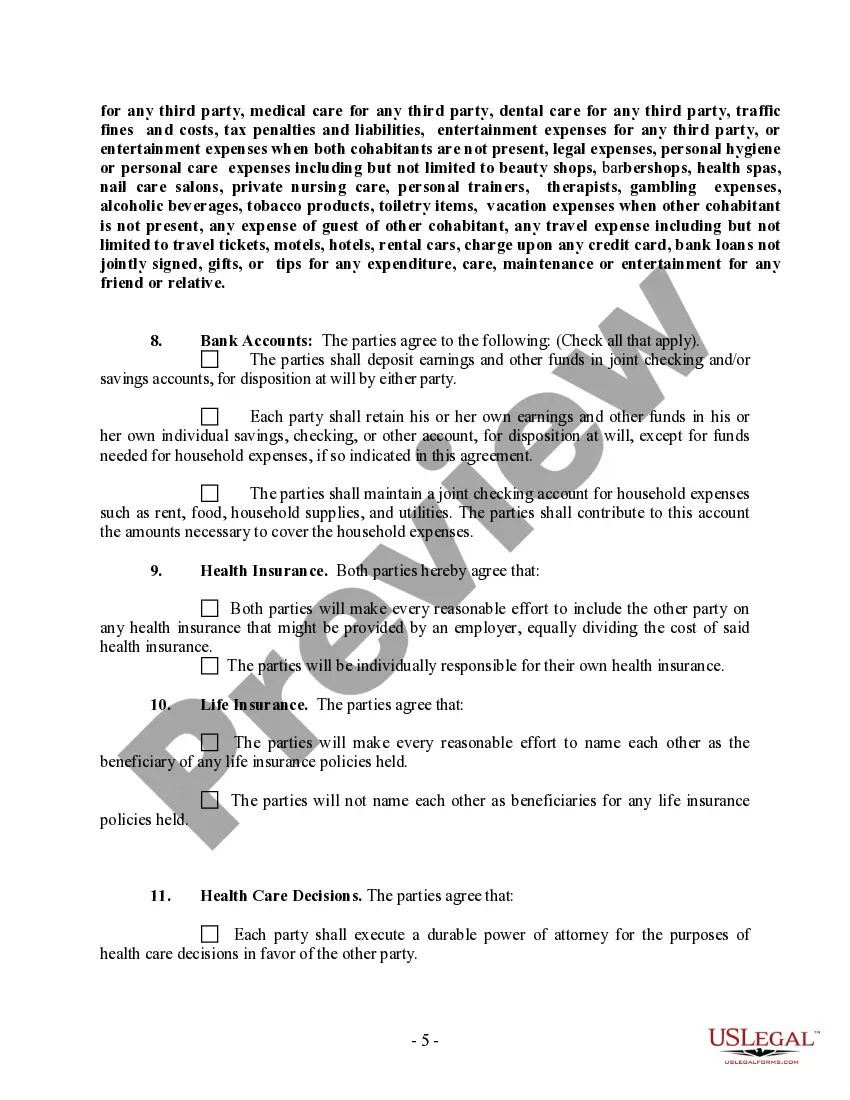
The Oregon cohabitation agreement with child is a legal document designed for partners who are cohabitating and wish to outline their rights and responsibilities, especially regarding any children they may have together. This agreement includes provisions for property division, debt responsibility, and health care decisions, ensuring that both parties are clear on their respective rights and obligations. Key features include the financial disclosure of each party's assets and liabilities, guidelines for the management of joint expenses, and specific instructions for making health care decisions. The form can be completed digitally through Microsoft Word, where users can fill out gray-shaded fields after unlocking the document. It serves as an essential tool for individuals looking to establish legal clarity in their cohabitation arrangement and can be especially useful for attorneys, partners, paralegals, and legal assistants who may need to navigate or facilitate property and child-related matters in the event of relationship changes. By using this agreement, partners can protect their individual interests while also addressing the needs of their children in a structured manner.
Free preview
  • Preview Non-Marital Cohabitation Living Together Agreement
  • Preview Non-Marital Cohabitation Living Together Agreement
  • Preview Non-Marital Cohabitation Living Together Agreement
  • Preview Non-Marital Cohabitation Living Together Agreement
  • Preview Non-Marital Cohabitation Living Together Agreement
  • Preview Non-Marital Cohabitation Living Together Agreement
  • Preview Non-Marital Cohabitation Living Together Agreement
  • Preview Non-Marital Cohabitation Living Together Agreement
  • Preview Non-Marital Cohabitation Living Together Agreement
  • Preview Non-Marital Cohabitation Living Together Agreement
  • Preview Non-Marital Cohabitation Living Together Agreement

How to fill out Oregon Non-Marital Cohabitation Living Together Agreement?

Precisely crafted official documents serve as one of the essential assurances to prevent complications and legal disputes, although obtaining them without legal counsel may require some time.

Whether you need to swiftly locate an updated Oregon Cohabitation Agreement With Child or any other forms related to employment, family, or business situations, US Legal Forms is always available to assist.

The process is even more straightforward for current users of the US Legal Forms library. If your subscription is active, you merely need to Log In to your account and click the Download button adjacent to the selected document. Additionally, you can access the Oregon Cohabitation Agreement With Child at any future time, as all documents ever obtained on the platform are accessible within the My documents tab of your profile. Save time and money on creating official documents. Experience US Legal Forms today!

  1. Ensure that the document aligns with your situation and location by reviewing the description and preview.
  2. Search for an additional example (if necessary) using the Search bar located in the page header.
  3. Select Buy Now once you find the appropriate template.
  4. Choose your pricing plan, Log In to your account, or create a new one.
  5. Pick your preferred payment method to acquire the subscription plan (using a credit card or PayPal).
  6. Choose PDF or DOCX file format for your Oregon Cohabitation Agreement With Child.
  7. Click Download, then print the document to complete it or upload it to an online editor.
Decorative icon for this block

Cohabitation Agreement

Avoid future problems now. Indicate your state, answer a few simple questions, and receive a Cohabitation Agreement form that suits your situation.

Form popularity

FAQ

So yes, you can write your own cohabitation agreement. Although it is possible to write your own cohabitation contract you should be aware of certain important pre-contract conditions that must be met to make your agreement legally enforceable.

A Cohabitation Agreement provides security for both partners by addressing how assets, property, and responsibilities regarding children and support payments will be dealt with should the relationship between the cohabitants end, either by separation or death of a partner.

How To Write a Cohabitation AgreementNames.The address the parties are currently living in or intend to live in.Date of writing the agreement.Governing state.

In most states that recognize it, there are four common requirements to establish a common law marriage: You must live together, have the capacity to marry (you are not married to someone else), intend to be married and hold yourself out to friends and family as being a married couple.

At What Age Can a Child Decide Which Parent To Live With? In general, a child cannot legally decide which parent to live with unless they are emancipated or reach the age of majority. However, let us assume that parties in a divorce are dealing with a custody and parenting time dispute related to a 16-year old child.

Trusted and secure by over 3 million people of the world’s leading companies

Oregon Cohabitation Agreement With Child