Compensation For Vehicle Recall

State:
Illinois
Control #:
IL-01680BG
Format:
Word; 
Rich Text
Instant download

Description

The Compensation for Vehicle Recall form serves as a vital document for individuals seeking remuneration related to vehicle recalls. This form allows users to detail the nature of the claim, including specific damages incurred due to the recall. Key features include sections for identifying the plaintiff and defendants, a clear outline of the incident, and spaces for specifying the amount of compensation sought. Users are guided to provide comprehensive information related to their vehicle, including make, model, and the damages sustained. Filling out this form generally requires users to describe the negligence or carelessness of the defendants, thereby establishing liability. Attorneys, partners, owners, associates, paralegals, and legal assistants will find this form useful in representing clients who have faced financial losses due to vehicle recalls. The form is designed for straightforward completion, ensuring clarity and ease of understanding for all parties involved, which is essential in legal processes. Users are advised to keep copies for their records after submission and to ensure all fields are accurately filled to avoid delays in the legal proceedings.
Free preview
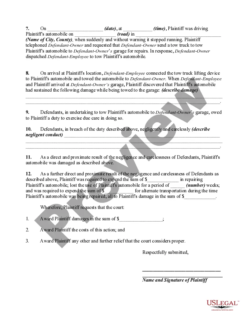
  • Preview Complaint for Damages to Vehicle due to Negligent Truck Towing
  • Preview Complaint for Damages to Vehicle due to Negligent Truck Towing
  • Preview Complaint for Damages to Vehicle due to Negligent Truck Towing

How to fill out Illinois Complaint For Damages To Vehicle Due To Negligent Truck Towing?

Dealing with legal paperwork and processes can be a lengthy addition to the day.

Reimbursement For Automobile Recall and documents like it usually necessitate that you look for them and figure out how to fill them out correctly.

Thus, whether you are addressing financial, legal, or personal issues, having a comprehensive and user-friendly online repository of documents readily available will be very beneficial.

US Legal Forms is the top online source of legal templates, featuring over 85,000 state-specific documents and various tools to help you complete your paperwork efficiently.

Simply Log In to your account, find Reimbursement For Automobile Recall, and download it immediately in the My documents section. You can also access previously downloaded documents.

  1. Browse the collection of relevant documents available to you with just a click.
  2. US Legal Forms offers state- and county-specific documents available anytime for download.
  3. Protect your document management processes with a quality service that allows you to create any form within minutes without extra or concealed charges.

Form popularity

FAQ

In some extremely rare cases, an automaker may buy back or replace your entire vehicle. However, this usually happens only if there is a defect that cannot be repaired. In any case, you are entitled to a free rental car if the repairs are expected to take long.

When automakers discover that something in one of their cars doesn't always function correctly ? especially if it causes safety concerns ? they issue a recall. A recall lets people who own the car know to take it to an authorized dealer or mechanic to have it fixed, and the automaker pays for it.

Complaints can be filed through NHTSA.gov or by calling NHTSA's Vehicle Safety Hotline at 888-327-4236. NHTSA makes its complaints searchable by keyword on NHTSA's Recall page.

With product recalls, customers may be able to receive a full refund from the manufacturer or retailer. Sometimes, they could be given a replacement or free repair or even sue for damages, for example, if the defective product has caused injuries or death.

Typically, the instructions will indicate that you need to do one of the following: Return the product to the store where you bought it for a refund. Dispose of the product properly so that other people or animals cannot eat it. (This is particularly important if you opened the product.)

Trusted and secure by over 3 million people of the world’s leading companies

Compensation For Vehicle Recall