Deed Partnership Format

State:
California
Control #:
CA-042-78
Format:
Word; 
Rich Text
Instant download

Description

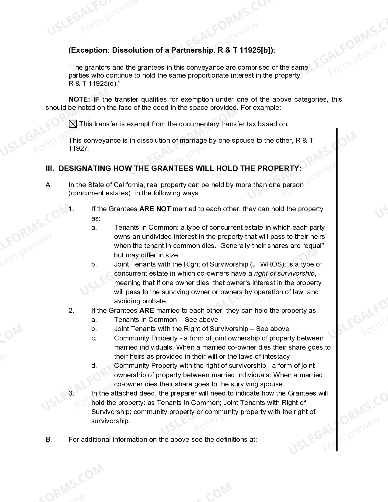
The Deed partnership format is a legal document used to convey property from a Family Limited Partnership to an individual. This form is particularly useful for legal professionals, as it simplifies the process of transferring property ownership while ensuring compliance with state laws. Users can complete the form digitally using provided fields, or by printing it for manual entry. The document includes specific sections detailing exemptions from transfer tax, which can be critical for attorneys and paralegals when advising clients. The form allows for various types of property ownership designations, such as tenants in common or joint tenants with right of survivorship, making it versatile for different partnership arrangements. Additionally, the document contains clear instructions for checking eligibility for tax exemptions. This comprehensive tool not only streamlines property transfers but also aids in maintaining accurate legal records. For partners and legal assistants, understanding this form is essential for facilitating transactions and ensuring all legal obligations are met.
Free preview
  • Preview Grant Deed from Family Limited Partnership to an Individual.
  • Preview Grant Deed from Family Limited Partnership to an Individual.
  • Preview Grant Deed from Family Limited Partnership to an Individual.
  • Preview Grant Deed from Family Limited Partnership to an Individual.
  • Preview Grant Deed from Family Limited Partnership to an Individual.
  • Preview Grant Deed from Family Limited Partnership to an Individual.
  • Preview Grant Deed from Family Limited Partnership to an Individual.
  • Preview Grant Deed from Family Limited Partnership to an Individual.
  • Preview Grant Deed from Family Limited Partnership to an Individual.

How to fill out California Grant Deed From Family Limited Partnership To An Individual.?

Finding a go-to place to access the most recent and relevant legal templates is half the struggle of dealing with bureaucracy. Discovering the right legal papers demands precision and attention to detail, which is the reason it is important to take samples of Deed Partnership Format only from reputable sources, like US Legal Forms. An improper template will waste your time and hold off the situation you are in. With US Legal Forms, you have little to be concerned about. You may access and check all the information concerning the document’s use and relevance for the circumstances and in your state or region.

Consider the following steps to finish your Deed Partnership Format:

  1. Utilize the catalog navigation or search field to find your sample.
  2. View the form’s description to ascertain if it matches the requirements of your state and region.
  3. View the form preview, if there is one, to ensure the template is the one you are looking for.
  4. Get back to the search and locate the appropriate template if the Deed Partnership Format does not match your needs.
  5. When you are positive regarding the form’s relevance, download it.
  6. If you are a registered user, click Log in to authenticate and gain access to your selected forms in My Forms.
  7. If you do not have an account yet, click Buy now to get the form.
  8. Pick the pricing plan that fits your requirements.
  9. Go on to the registration to complete your purchase.
  10. Complete your purchase by choosing a transaction method (bank card or PayPal).
  11. Pick the file format for downloading Deed Partnership Format.
  12. Once you have the form on your gadget, you may change it with the editor or print it and complete it manually.

Remove the headache that accompanies your legal paperwork. Discover the extensive US Legal Forms collection where you can find legal templates, examine their relevance to your circumstances, and download them on the spot.

Form popularity

FAQ

A written partnership agreement should show the following to avoid confusion and disagreements: The name of your business. The contributions of each partner and the percentage of ownership. Division of profits and losses between the partners. Each partner's authority or binding power.

Ing to Investopedia, the document should include the following: Name of your partnership. ... Contributions to the partnership and percentage of ownership. ... Division of profits, losses and draws. ... Partners' authority. ... Withdrawal or death of a partner.

They are partnership contracts, several participants, carrying on of a business, mutual agency, and profit-sharing terms. A proper business partnership agreement is incomplete without any of these.

What should be in a partnership agreement? Name of your partnership. ... Contributions to the partnership and percentage of ownership. ... Division of profits, losses and draws. ... Partners' authority. ... Withdrawal or death of a partner.

Types of Partnership Deeds General Partnership. A general partnership involves two or more persons carrying out a business purpose or any of them carrying it out for all of the parties. ... Limited Partnership. ... Limited Liability Partnership.

Trusted and secure by over 3 million people of the world’s leading companies

Deed Partnership Format