Sample Hardship Letter For Deed In Lieu Of Foreclosure

State:
Alaska
Control #:
AK-03190BG
Format:
Word; 
Rich Text
Instant download

Description

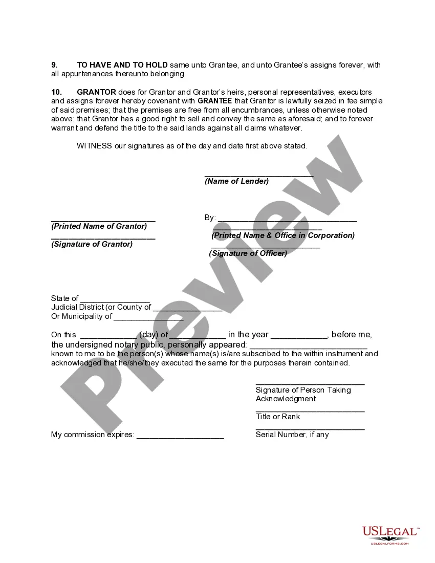
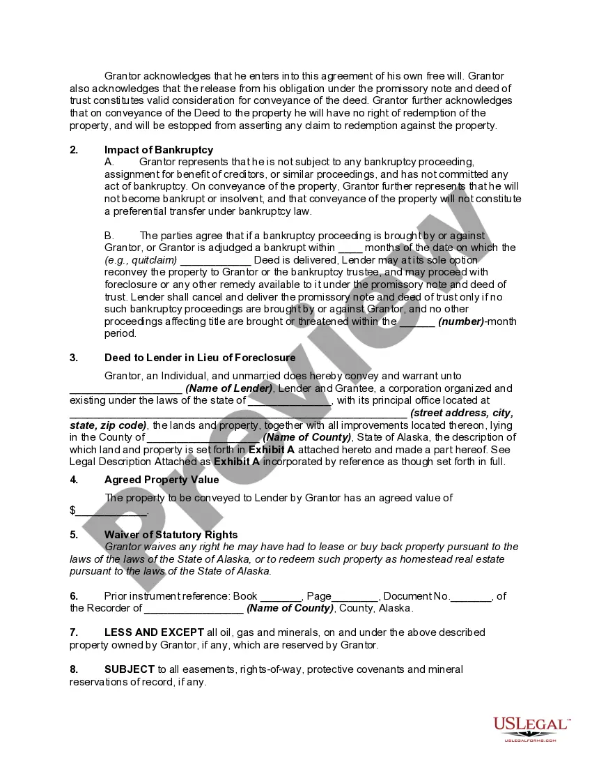
The Sample Hardship Letter for Deed in Lieu of Foreclosure serves as a formal request from a homeowner to their lender, seeking to transfer property ownership in exchange for relief from mortgage obligations. This document is particularly useful for individuals facing financial hardship who wish to avoid foreclosure. Key features include an acknowledgment of the homeowner's understanding of the agreement, the stipulation of property value, and the waiver of statutory rights related to redemption. Users must ensure that they fill in specific details such as names, addresses, and financial figures accurately. The letter is designed to convey the mutual consent of both parties to the transaction without proceeding to foreclosure, thus offering a potential upper hand in negotiations. The intended audience—inclusive of attorneys, partners, owners, associates, paralegals, and legal assistants—should utilize this form to facilitate effective communication with lenders and guide distressed homeowners through the process. By using clear and supportive language, the form aims to simplify complex legal concepts surrounding property rights and financial obligations, making it accessible to individuals with varying levels of legal experience.
Free preview
  • Preview Conveyance of Deed to Lender in Lieu of Foreclosure
  • Preview Conveyance of Deed to Lender in Lieu of Foreclosure
  • Preview Conveyance of Deed to Lender in Lieu of Foreclosure
  • Preview Conveyance of Deed to Lender in Lieu of Foreclosure
  • Preview Conveyance of Deed to Lender in Lieu of Foreclosure

How to fill out Alaska Conveyance Of Deed To Lender In Lieu Of Foreclosure?

Maneuvering through the red tape of standard paperwork and templates can be challenging, particularly if one is not doing this as a profession.

Even selecting the appropriate template to obtain a Sample Hardship Letter For Deed In Lieu Of Foreclosure can be laborious, as it must be accurate and precise to the last detail.

Nonetheless, you will invest considerably less time locating a suitable template from a dependable source.

Acquire the correct form in a few straightforward steps: Enter the document name in the search field. Choose the right Sample Hardship Letter For Deed In Lieu Of Foreclosure from the result list. Review the sample description or open its preview. If the template aligns with your specifications, click Buy Now. Continue to select your subscription option. Utilize your email and create a secure password to register an account at US Legal Forms. Choose a credit card or PayPal for the transaction. Save the template file on your device in the format you prefer. US Legal Forms can conserve your time and effort in determining if the document you discovered online meets your requirements. Establish an account and gain unlimited access to all the templates you need.

  1. US Legal Forms is a service that streamlines the task of finding the correct documents online.
  2. US Legal Forms is a sole destination you need to access the latest document samples, explore their use, and download these samples for completion.
  3. It serves as a repository with over 85K forms relevant in numerous sectors.
  4. When searching for a Sample Hardship Letter For Deed In Lieu Of Foreclosure, you won't have to doubt its validity since all forms are authenticated.
  5. Creating an account at US Legal Forms guarantees that you have all the essential samples at your fingertips.
  6. Organize them in your personal history or add them to the My documents collection.
  7. You can access your saved forms from any device by selecting Log In on the library site.
  8. If you do not currently have an account, you are always able to perform a fresh search for the required template.

Form popularity

FAQ

A common example of a hardship situation is losing a job unexpectedly, which impacts your ability to meet mortgage payments. Other scenarios can include significant medical expenses, divorce, or reduced income. It is essential to articulate how these factors have affected your financial stability. Using a sample hardship letter for deed in lieu of foreclosure can help illustrate your situation compellingly and professionally.

Proving hardship requires clear and accurate representation of your financial struggles. Start by gathering all relevant financial documents, such as income statements and expenditures. You can also include personal narratives that explain your circumstances. A sample hardship letter for deed in lieu of foreclosure will guide you on how to lay out your facts effectively to support your claim.

A good hardship letter is concise yet comprehensive, detailing your financial difficulties while maintaining a respectful tone. Start with a statement of hardship, explain the reasons behind it, and conclude with a clear request for the action you wish to take. Utilize a well-structured format that can serve as a model for your own sample hardship letter for deed in lieu of foreclosure, helping others navigate similar situations.

When writing a hardship letter to the court, be sure to introduce yourself and clearly state the purpose of your letter. Provide a concise account of your financial difficulties and how they impact your legal situation. Clarity is key; be respectful and stick to the facts, ensuring that your tone conveys seriousness about your circumstances. A well-crafted sample hardship letter for deed in lieu of foreclosure can be valuable in this context.

An example of a hardship letter for a mortgage includes a clear introduction of the issue, detailed explanation of your financial hardships, and a request for assistance. Be sure to express gratitude for the lender's consideration, while clearly referencing your intent to pursue a deed in lieu of foreclosure. This structure will guide you in creating your own sample hardship letter for deed in lieu of foreclosure.

In a hardship letter, avoid excessive detail that may obscure your main points. Do not blame others for your situation, and steer clear of any negative language that could portray you unfavorably. It is also wise to avoid discussing unrelated issues, as this can distract from your core message. Keep your focus on your need and how a sample hardship letter for deed in lieu of foreclosure can address it.

Writing a convincing hardship letter requires honesty and clarity. Begin by outlining your financial difficulties, and explaining why you are unable to fulfill your mortgage obligations. Include any relevant documentation that supports your claims, such as medical bills or job loss statements. This context can greatly enhance the impact of your sample hardship letter for deed in lieu of foreclosure.

To write a convincing letter, start by clearly stating your situation. Use straightforward language, and focus on the facts that support your request. Consider including a personal story that illustrates your challenges, as this can create an emotional connection with your reader. Always remember to mention your intent and link it to a sample hardship letter for deed in lieu of foreclosure.

A proof of hardship letter is a document that verifies the financial difficulties someone is experiencing. This type of letter can support requests for relief or leniency from creditors, and often needs to accompany applications for deeds in lieu of foreclosure. Utilizing a sample hardship letter for deed in lieu of foreclosure can guide you in crafting an effective proof of hardship letter. It is essential to be honest and clear in your explanations to achieve the desired outcome.

In your hardship letter for immigration, clearly explain the challenges you or your family face due to your current circumstances. Describe how your situation impacts your ability to stay in the country. Use a sample hardship letter for deed in lieu of foreclosure as a reference to structure your writing. Make sure to highlight any special considerations that may strengthen your case.

Trusted and secure by over 3 million people of the world’s leading companies

Sample Hardship Letter For Deed In Lieu Of Foreclosure