Alaska Earnest Money Agreement Form

State:
Alaska
Control #:
AK-00472
Format:
Word; 
Rich Text
Instant download

This form is part of a form package!

Get all related documents in one bundle, so you don’t have to search separately.

Description

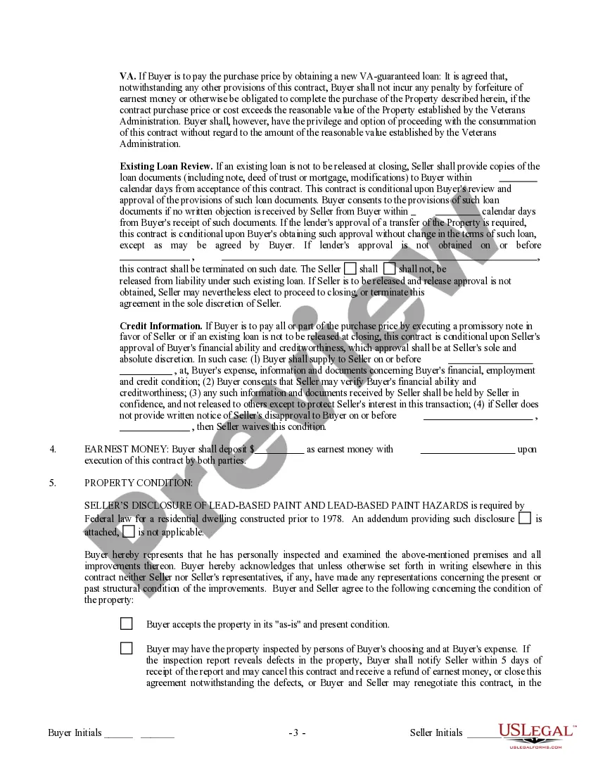
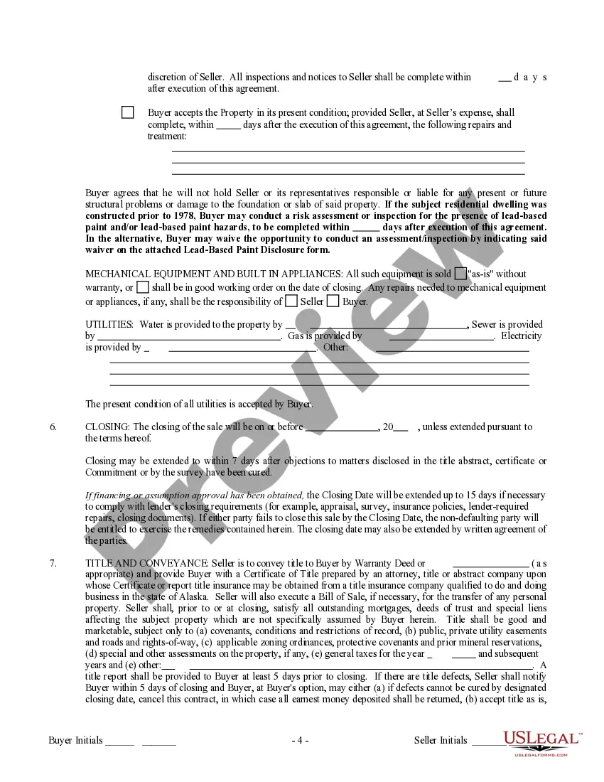
The Alaska earnest money agreement form is a vital document used in real estate transactions to outline the terms under which earnest money is pledged during the sale of a property. This form specifies the details of the sale, including the purchase price, financing arrangements, and the conditions regarding the property's condition and inspections. It serves to protect the interests of both buyers and sellers by detailing the obligations of each party and the consequences of default. Key features include sections on sales price, financing terms, property condition, title transfer, and closing procedures, all of which must be completed accurately for legal compliance. Users such as attorneys, partners, owners, associates, paralegals, and legal assistants will benefit from this form by ensuring that critical aspects of the transaction are documented and legally binding. When filling out the form, careful attention must be paid to the details regarding earnest money deposits and any conditions affecting the property's financing or condition. The form also includes provisions for resolving disputes and addressing defaults, making it a comprehensive tool for facilitating real estate sales in Alaska.
Free preview
  • Preview Contract for Sale and Purchase of Real Estate with No Broker for Residential Home Sale Agreement
  • Preview Contract for Sale and Purchase of Real Estate with No Broker for Residential Home Sale Agreement
  • Preview Contract for Sale and Purchase of Real Estate with No Broker for Residential Home Sale Agreement
  • Preview Contract for Sale and Purchase of Real Estate with No Broker for Residential Home Sale Agreement
  • Preview Contract for Sale and Purchase of Real Estate with No Broker for Residential Home Sale Agreement
  • Preview Contract for Sale and Purchase of Real Estate with No Broker for Residential Home Sale Agreement
  • Preview Contract for Sale and Purchase of Real Estate with No Broker for Residential Home Sale Agreement
  • Preview Contract for Sale and Purchase of Real Estate with No Broker for Residential Home Sale Agreement
  • Preview Contract for Sale and Purchase of Real Estate with No Broker for Residential Home Sale Agreement
  • Preview Contract for Sale and Purchase of Real Estate with No Broker for Residential Home Sale Agreement
  • Preview Contract for Sale and Purchase of Real Estate with No Broker for Residential Home Sale Agreement

How to fill out Alaska Contract For Sale And Purchase Of Real Estate With No Broker For Residential Home Sale Agreement?

Individuals typically link legal documentation with complexities that only an expert can handle.

In a particular sense, this is accurate, as crafting the Alaska Earnest Money Agreement Form necessitates a significant grasp of the subject matter, including state and local legislation.

Nonetheless, with US Legal Forms, everything has become more user-friendly: ready-made legal templates for any personal or business circumstance tailored to state laws are compiled in a single online repository and are now accessible to everyone.

Select the format for your document and click Download. Print your file or upload it to an online editor for quicker completion. All templates in our collection are reusable: once purchased, they remain stored in your profile. You can access them whenever needed via the My documents tab. Explore all advantages of using the US Legal Forms platform. Subscribe now!

  1. US Legal Forms offers over 85,000 current documents categorized by state and purpose, making it easy to find the Alaska Earnest Money Agreement Form or any other specific example in just a few minutes.
  2. Registered users with an active subscription need to Log In to their account and click Download to receive the form.
  3. New users of the platform must first register for an account and subscribe before they can download any documentation.
  4. Here are the step-by-step instructions to obtain the Alaska Earnest Money Agreement Form.
  5. Carefully review the page content to ensure it aligns with your requirements.
  6. Examine the form description or validate it through the Preview option.
  7. If the previous sample is unsatisfactory, look for another using the Search field at the top.
  8. Once you find the appropriate Alaska Earnest Money Agreement Form, click Buy Now.
  9. Choose a subscription plan that meets your needs and financial situation.
  10. Proceed to register for an account or Log In to access the payment page.
  11. Complete your subscription payment through PayPal or with your credit card.

Form popularity

FAQ

How to make journal entry for Earnest Money depositGo to the Banking menu and click Transfer Funds.In the Transfer Funds window, select the account from which you want to transfer the funds.Select the account to which you want to transfer the funds.Enter the amount that you want to transfer.Save the transaction.

The earnest money deposit will be listed as a credit to the buyer, while any other funds owed will be listed as debits. The closing agent will add up all of the debits and credits for the buyer to get a final amount of funds required at closing.

So, what is earnest deposit anyway? In simple terms, this is a deposit to demonstrate your committed interest to purchase or rent a property. It's an upfront financial commitment that shows you're serious with your decision. An earnest deposit literally means: "I really am serious here's some money to prove it!".

Earnest money, or good faith deposit, is a sum of money you put down to demonstrate your seriousness about buying a home. In most cases, earnest money acts as a deposit on the property you're looking to buy. You deliver the amount when signing the purchase agreement or the sales contract.

Any purchase agreement should include at least the following information:The identity of the buyer and seller.A description of the property being purchased.The purchase price.The terms as to how and when payment is to be made.The terms as to how, when, and where the goods will be delivered to the purchaser.More items...?

Trusted and secure by over 3 million people of the world’s leading companies

Alaska Earnest Money Agreement Form