Mesa Arizona Agreement to Extend Security Interest

State:
Multi-State
City:
Mesa
Control #:
US-0790BG
Format:
Word; 
Rich Text
Instant download

Description

A secured transaction is created when a buyer or borrower (debtor) grants a seller or lender (creditor or secured party) a security interest in personal property (collateral). A security interest allows a creditor to repossess and sell the collateral if a debtor fails to pay a secured debt.

A secured transaction involves a sale on credit or lending money where a creditor is unwilling to accept the promise of a debtor to pay an obligation without some sort of collateral. The creditor requires the debtor to secure the obligation with collateral so that if the debtor does not pay as promised, the creditor can take the collateral, sell it, and apply the proceeds against the unpaid obligation of the debtor.

A security interest is an interest in personal property or fixtures that secures payment or performance of an obligation. Personal property is basically anything that is not real property. A fixture is personal property that has become so attached or adapted to real estate that it has lost its character as personal property and is deemed to be part of the real estate. An example would be a central air conditioning unit within a commercial building.
Free preview
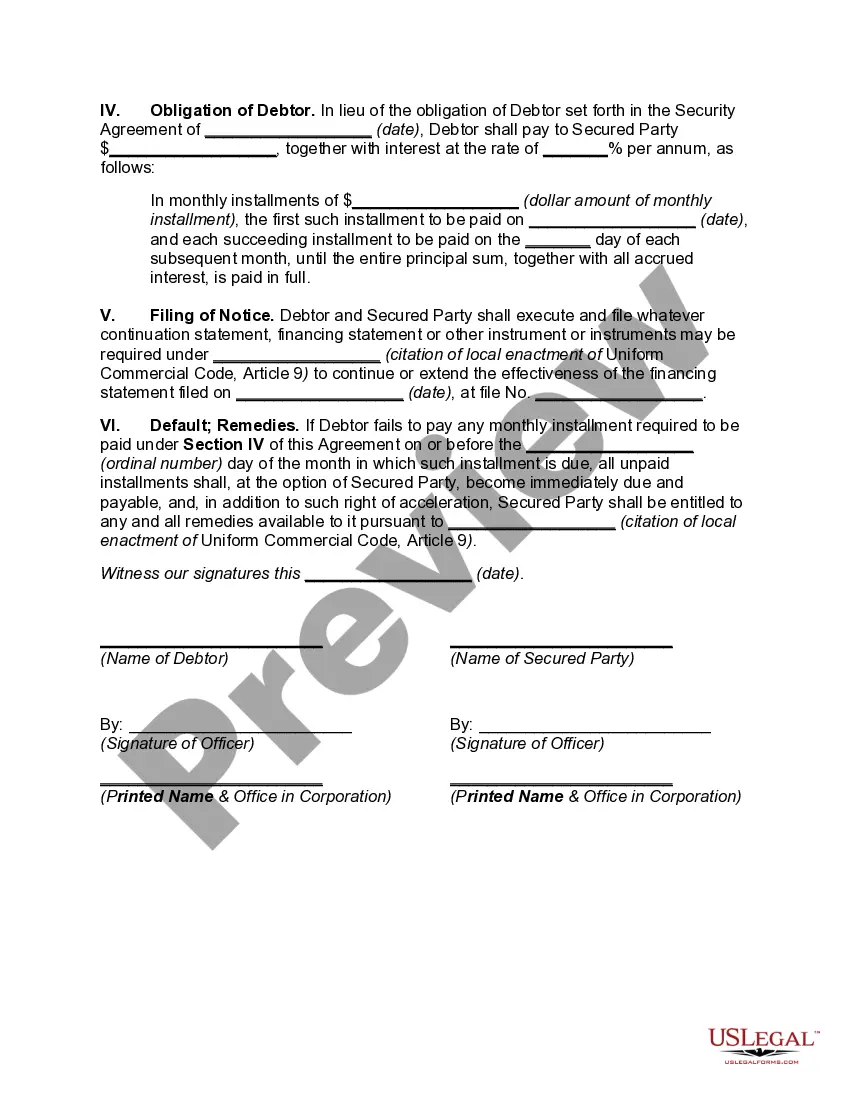
  • Preview Agreement to Extend Security Interest
  • Preview Agreement to Extend Security Interest

Form popularity

FAQ

Mesa (/?me?s?/ MAY-s?) is a city in Maricopa County, Arizona, United States. It is the third-most populous city in Arizona, after Phoenix and Tucson, the 36th-most populous city in the U.S., and the most populous city that is not a county seat.

Mesas are formed by erosion, when water washes smaller and softer types of rocks away from the top of a hill. The strong, durable rock that remains on top of a mesa is called caprock. A mesa is usually wider than it is tall. Mesas are usually found in dry regions where rock layers are horizontal.

Best Suburbs Near Phoenix, Arizona Chandler. Population: 257,165. Median Home Value: $285,000. Paradise Valley. Population: 14,502. ... Scottsdale. Population: 255,310. ... Gilbert. Population: 248,279. ... Mesa. Population: 518,012. ... Fountain Hills. Population: 24,987. ... Peoria. Population: 172,259. ... Goodyear. Population: 82,835. ...

The city of Mesa Arizona is located about 20 miles east of Phoenix Arizona. Mesa Arizona is one of the larger suburbs of Phoenix.

Mesa, (Spanish: ?table?), flat-topped tableland with one or more steep sides, common in the Colorado Plateau regions of the United States; a butte is similar but smaller.

Mesas are isolated, broad flat-topped mountains with at least one steep side. Mesas are abundant in the southwestern states of Colorado, New Mexico, Utah, and Arizona. Buttes are smaller flat topped mountains or hills with steep slopes on all sides.

Mesa, city, Maricopa county, south-central Arizona, U.S. The name is Spanish for ?tabletop? or ?tableland.? A southeastern suburb of Phoenix, the site was settled and founded in 1878 by Mormons who used ancient Hohokam canals for irrigation.

The core part of the Phoenix Metropolitan Area is the Phoenix?Mesa, Arizona Urban Area, which is far smaller than the Metropolitan Statistical Area.

Interesting Questions

Trusted and secure by over 3 million people of the world’s leading companies

Mesa Arizona Agreement to Extend Security Interest