Tucson Arizona Declaration of Easement for Common Private Drive Among Several Landowners and Agreement as to its Maintenance

State:
Multi-State
City:
Tucson
Control #:
US-00994BG
Format:
Word; 
Rich Text
Instant download

Description

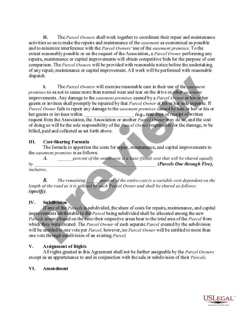
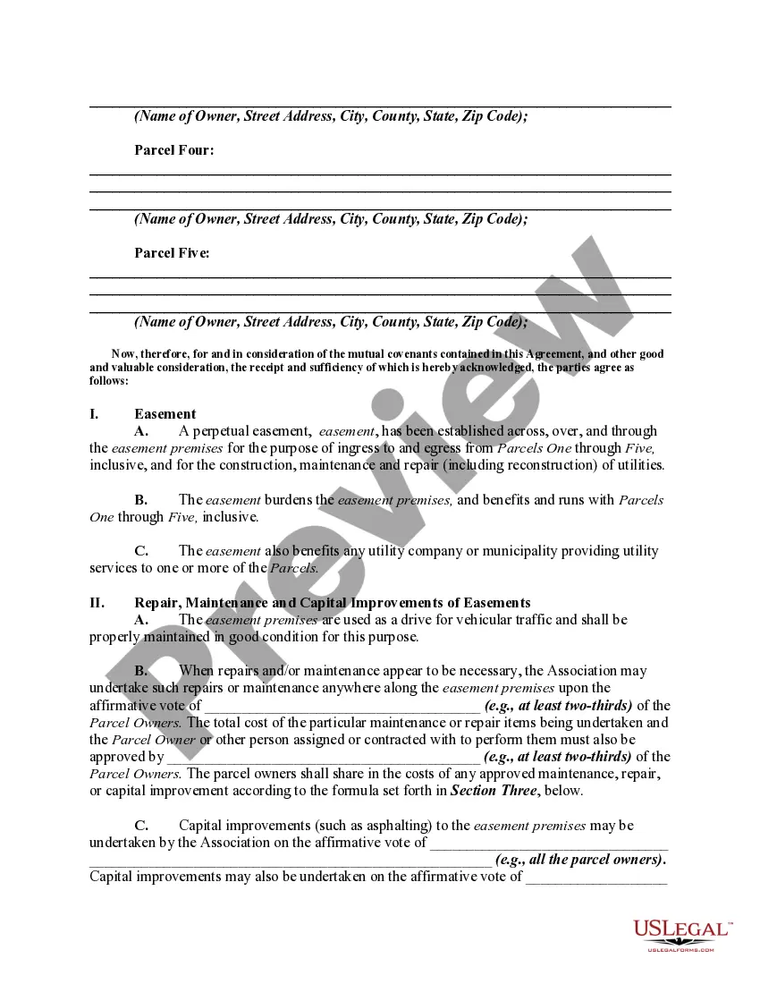
This form anticipates that the owners and parties to the Declaration have joint easement rights over, across, and through the easement premises for utility connections and adequate access to their individual parcels. A private drive is located within the easement premises. In this document the parcel owners agree to share in the cost of maintaining the private drive according to a formula set forth in the agreement. This form is a generic example that may be referred to when preparing such a form for your particular state.

Free preview
  • Preview Declaration of Easement for Common Private Drive Among Several Landowners and Agreement as to its Maintenance
  • Preview Declaration of Easement for Common Private Drive Among Several Landowners and Agreement as to its Maintenance
  • Preview Declaration of Easement for Common Private Drive Among Several Landowners and Agreement as to its Maintenance
  • Preview Declaration of Easement for Common Private Drive Among Several Landowners and Agreement as to its Maintenance
  • Preview Declaration of Easement for Common Private Drive Among Several Landowners and Agreement as to its Maintenance

Form popularity

FAQ

Drafting an easement agreement involves outlining the specific rights and responsibilities associated with the use of a shared driveway. Start by identifying the landowners involved and describing the area covered by the easement. Incorporating a Tucson Arizona Declaration of Easement for Common Private Drive Among Several Landowners and Agreement as to its Maintenance details each party’s obligations, including any maintenance responsibilities. You may find using online resources like US Legal Forms helpful to streamline this process.

An easement grants a person the right to use a private road or driveway, typically established through a legal agreement. If you and other landowners have agreed to share access to a common private drive, this forms the basis for a Tucson Arizona Declaration of Easement for Common Private Drive Among Several Landowners and Agreement as to its Maintenance. It is important that this shared use is clearly documented to avoid future disputes. Such clarity ensures all parties understand their rights and responsibilities.

As the second-largest city in Arizona, Tucson is well-known for its desert landscapes, including the iconic Saguaro cactus, as well as its vibrant Mexican-American culture and delicious cuisine.

The city's central core is a vibrant area with the University of Arizona, Fourth Avenue and a lively downtown. Stray in any direction from the interior to find endless outdoor space. Tucson is known for its culture and incredible dining, which can be found no matter where you are. Tucsonans support Tucsonans.

Tucson Monthly and Daily Normals and Records MonthTemperature Normals (deg F) HighAverage February 69.2° 56.2° March 75.8° 61.9° April 82.9° 68.1°11 more rows Tucson Monthly and Daily Normals and Records weather.gov ? twc ? TucsonMonthlyNormal... weather.gov ? twc ? TucsonMonthlyNormal...

Summary of cost of living in Tucson, AZ, United States: A family of four estimated monthly costs are 3,891.0$ without rent. A single person estimated monthly costs are 1,139.9$ without rent. Tucson is 31.0% less expensive than New York (without rent). Cost of Living in Tucson, Arizona. May 2024. Prices in Tucson numbeo.com ? cost-of-living ? Tucson numbeo.com ? cost-of-living ? Tucson

Tucson is known for... Saguaros: These stately giants are an icon of the American West, and a symbol of Tucson, which is home to Saguaro National Park. ... Mexican Food: Tucson claims to be the Mexican food capital of the United States. ... Cowboys: ... Resorts: ... The University of Arizona: Best things you need to do in Tucson, AZ - local expert travel guide usatoday.com ? destinations ? arizona ? tuc... usatoday.com ? destinations ? arizona ? tuc...

Tucson is the home of the Saguaro National Park, Arizona-Sonora Desert Museum and Coronado National Forest. All these areas provide an excellent interpretation of desert life. The Desert Museum features living examples of typical plants and animals.

Tucson AZ, Zip Code: 85701. Tucson Arizona Zip Code Map - AZ FLAT FEE azflatfee.com ? tucson-arizona-zip-code-map azflatfee.com ? tucson-arizona-zip-code-map

Tucson, Arizona is a vibrant and bustling city known for its warm weather, stunning natural beauty, and rich cultural heritage. With a thriving arts scene, diverse food options, and an abundance of outdoor recreation opportunities, there are many reasons to love this desert city.

Interesting Questions

Trusted and secure by over 3 million people of the world’s leading companies

Tucson Arizona Declaration of Easement for Common Private Drive Among Several Landowners and Agreement as to its Maintenance