Albuquerque New Mexico Discovery Interrogatories for Divorce Proceeding for either Plaintiff or Defendant

State:
New Mexico
City:
Albuquerque
Control #:
NM-021B-D
Format:
Word; 
Rich Text
Instant download

Description

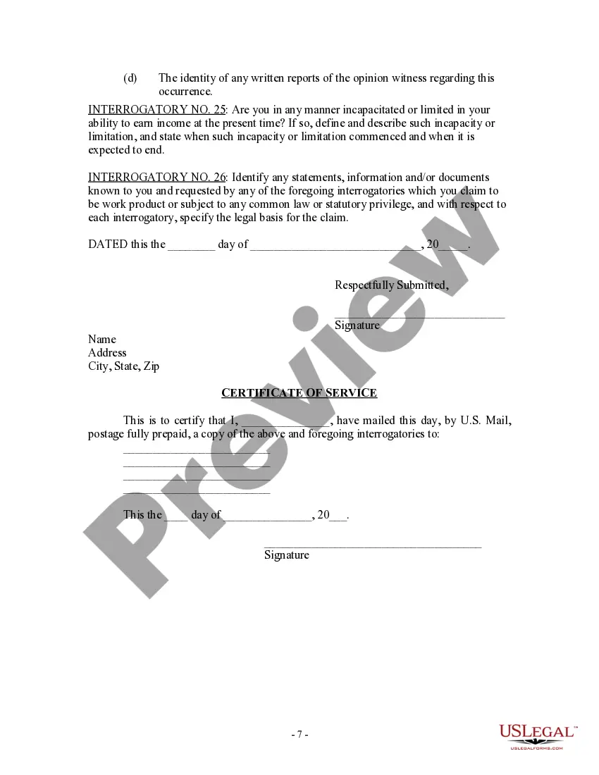
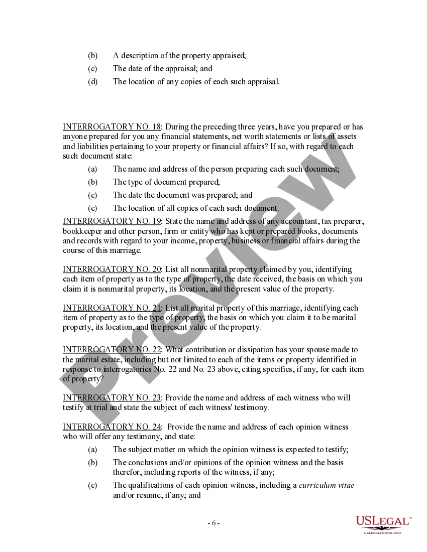
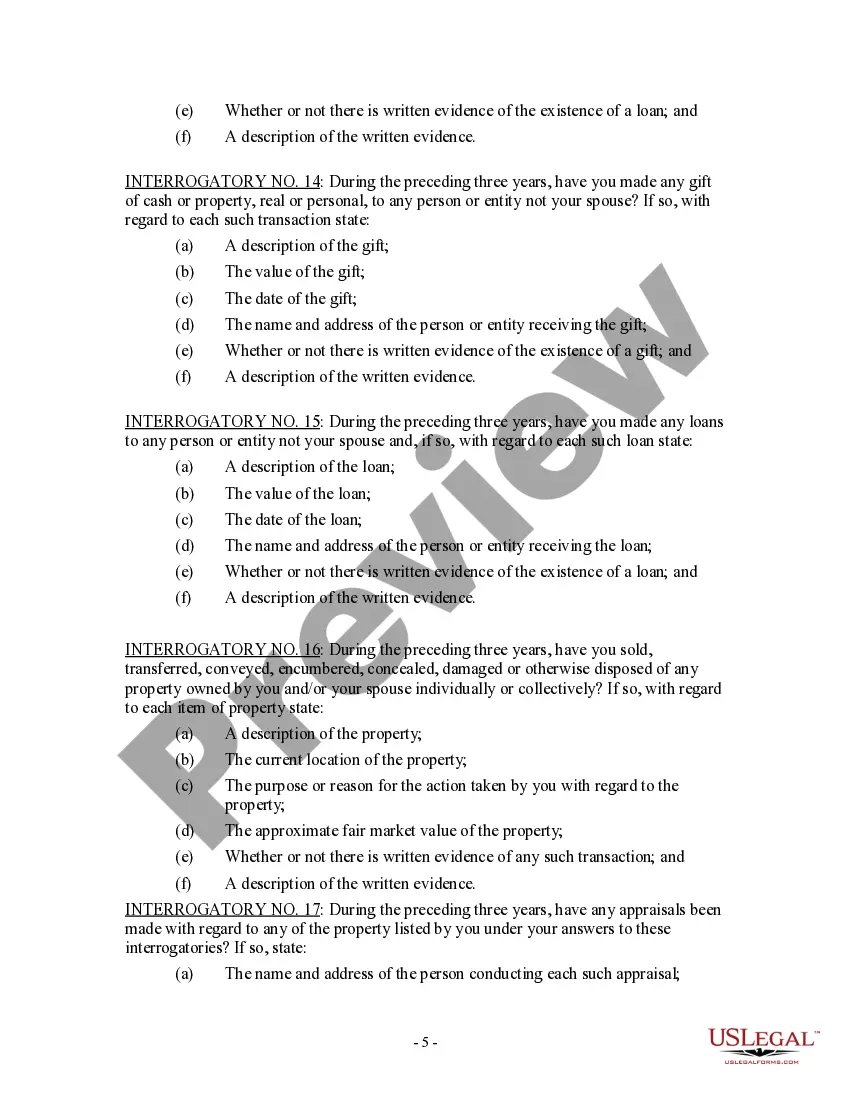
This is a sample form of interrogatories for the Plaintiff in a Divorce action to ask the Defendant. It also includes a request for production of documents. You should only use this form as a guide and delete questions not relevant to your case, as well as add questions you or your client want to ask the Defendant based upon the facts of your case. This form includes the Notice of Service of Interrogatories for filing with the court.
Free preview
  • Preview Discovery Interrogatories for Divorce Proceeding for either Plaintiff or Defendant
  • Preview Discovery Interrogatories for Divorce Proceeding for either Plaintiff or Defendant
  • Preview Discovery Interrogatories for Divorce Proceeding for either Plaintiff or Defendant
  • Preview Discovery Interrogatories for Divorce Proceeding for either Plaintiff or Defendant
  • Preview Discovery Interrogatories for Divorce Proceeding for either Plaintiff or Defendant
  • Preview Discovery Interrogatories for Divorce Proceeding for either Plaintiff or Defendant
  • Preview Discovery Interrogatories for Divorce Proceeding for either Plaintiff or Defendant

How to fill out New Mexico Discovery Interrogatories For Divorce Proceeding For Either Plaintiff Or Defendant?

Finding authenticated templates tailored to your local laws can be challenging unless you utilize the US Legal Forms collection.

It’s an online repository of over 85,000 legal documents catering to both personal and professional requirements as well as various real-world scenarios.

All the files are accurately organized by usage type and jurisdictional domains, making it simple and quick to find the Albuquerque New Mexico Discovery Interrogatories for Divorce Proceedings for either the Plaintiff or Defendant.

Securing paperwork in an organized manner and adhering to legal standards is crucial. Take advantage of the US Legal Forms library to always have significant document templates readily available for any requirements!

  1. Review the Preview mode and the form description.
  2. Ensure you've selected the appropriate one that aligns with your needs and completely complies with your local jurisdiction.
  3. Search for an alternative template if necessary.
  4. If you find any discrepancies, utilize the Search tab above to locate the correct document. If it meets your needs, proceed to the next step.
  5. Purchase the document.

Form popularity

FAQ

Without leave of court or written stipulation, any party may serve upon any other party written interrogatories, not exceeding fifty (50) in number including all discrete subparts, to be answered by the party served or, if the party served is a public or private corporation or a partnership or association or

Answers to interrogatories can be much more complete than answers to deposition questions. Interrogatories are generally less expensive than depositions because they don't require court reporter fees, transcript costs, or attorney time in traveling to and from the deposition.

Discovery is the legal process that lets each side of a lawsuit ask the other side for information that is related to the case. During discovery, both parties must show the other side evidence they plan to use during trial.

During discovery, the parties request and exchange information and documents. Interrogatories and depositions form the bulk of the discovery process. Unlike many legal documents, interrogatories do not need to be filed with the court. They're sent back and forth from one party to another.

Interrogatories are to be raised at a pre-trial stage and must have a close connection with the matter in question, whereas cross examinations have a wider scope of questions that can be asked.

Interrogatories are written questions that you have to respond to in writing, under oath. A California personal injury attorney can guide you through the process of responding to interrogatories. Interrogatories happen during the discovery stage of a lawsuit, before trial.

The objective of interrogatories is to: (i) determine the nature of the case when it is not clear from the suit filed; (ii) to make own case stronger by securing admission from the other party; (iii) to destroy the case of the opponent8; (iv) maintain his case and destroy the case of the adversary; and (v) to seek

In a civil action, an interrogatory is a list of questions one party sends to another as part of the discovery process. The recipient must answer the questions under oath and according to the case's schedule.

Parties are limited to serving 25 interrogatories, including subparts, unless the court orders otherwise or the parties agree to alter the limit. The number of interrogatories that may be served is cumulative, and may not exceed a total of 25 to each party throughout the action.

Interesting Questions

Trusted and secure by over 3 million people of the world’s leading companies

Albuquerque New Mexico Discovery Interrogatories for Divorce Proceeding for either Plaintiff or Defendant