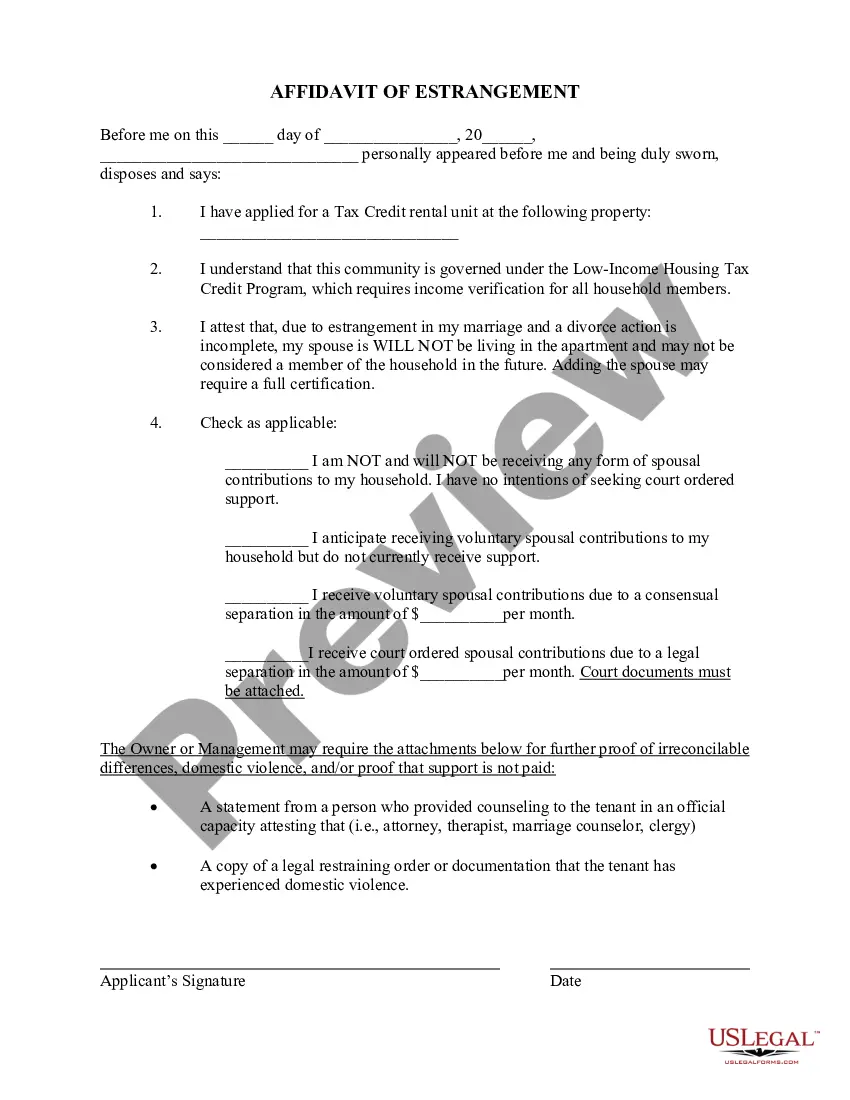
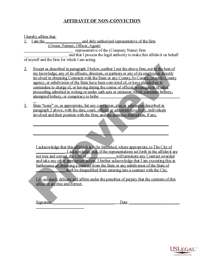
An affidavit must be in writing and be sworn to or affirmed before some legally authorized officer. Statutes of some jurisdictions prescribe formal requirements for the affidavits. An affidavit is statement of facts which is sworn to before an officer who has authority to administer an oath (e.g. a notary public). The person making the signed statement (affiant) takes an oath that the contents are, to the best of their knowledge, true.






