Are you presently in a situation where you require documents for potential business or individual purposes nearly every working day.
There are numerous legal document templates accessible online, but finding reliable ones can be challenging.
US Legal Forms offers a wide array of template forms, including the Utah License Agreement to Use Product, designed to comply with federal and state regulations.
Once you find the appropriate form, click Purchase now.
Choose your preferred pricing plan, fill in the required information to create your account, and process the payment using PayPal or a credit card. Select a convenient file format and download your copy. Access all the document templates you’ve purchased in the My documents section. You can obtain an additional copy of the Utah License Agreement to Use Product at any time if necessary. Just select the desired form to download or print the document template. Utilize US Legal Forms, the most extensive collection of legal forms, to save time and prevent mistakes. The service provides professionally drafted legal document templates that can be used for various purposes. Create your account on US Legal Forms and start making your life a bit easier.
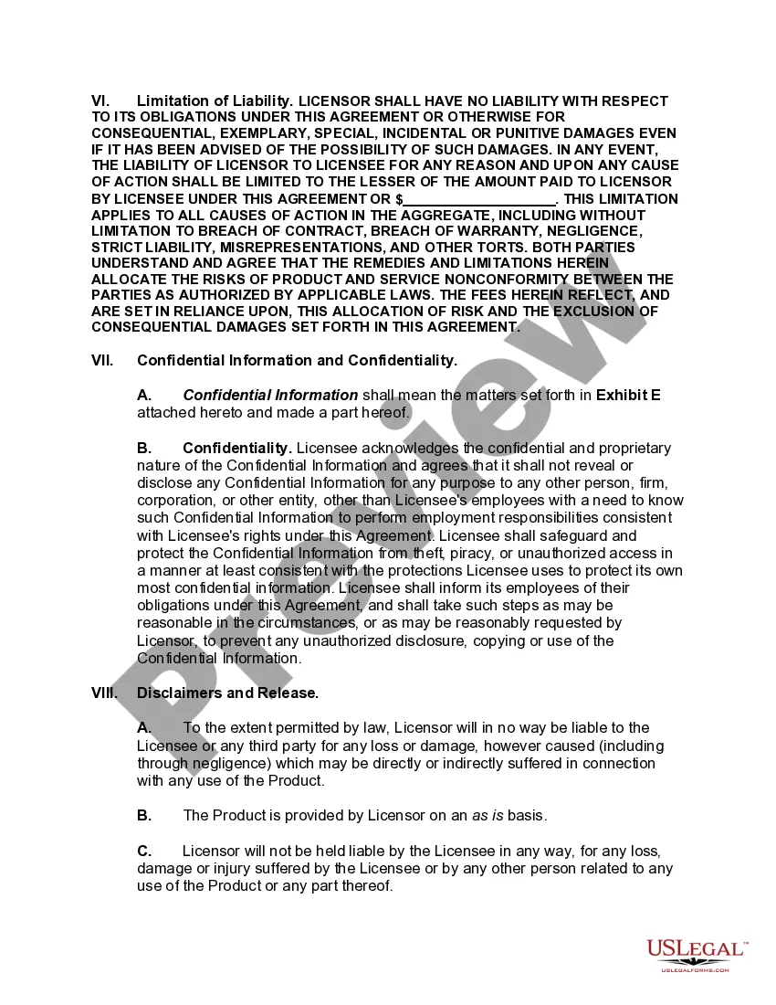
Types of licensing agreement The unique feature of this type of agreement is that even the licensor is excluded to use or exploit the licensed property during the term of the agreement. Copyright, trademark and patent licenses are the best examples of an exclusive license agreement.
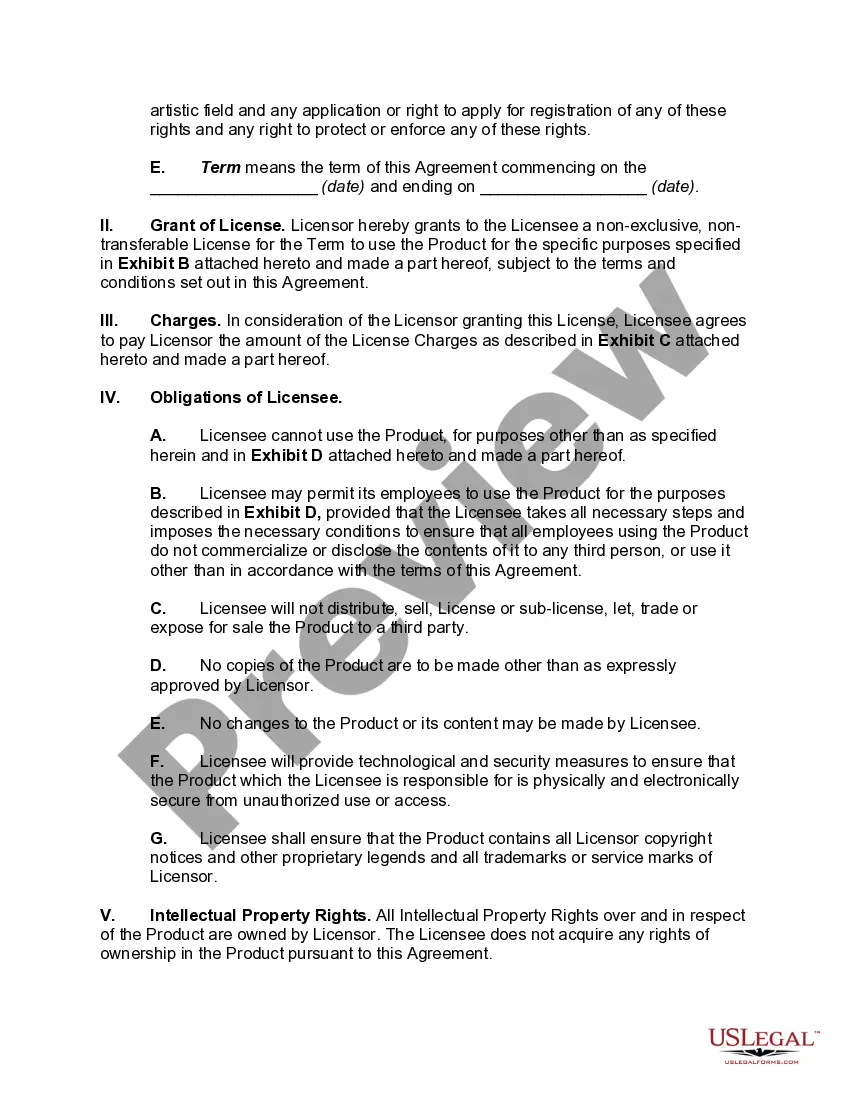
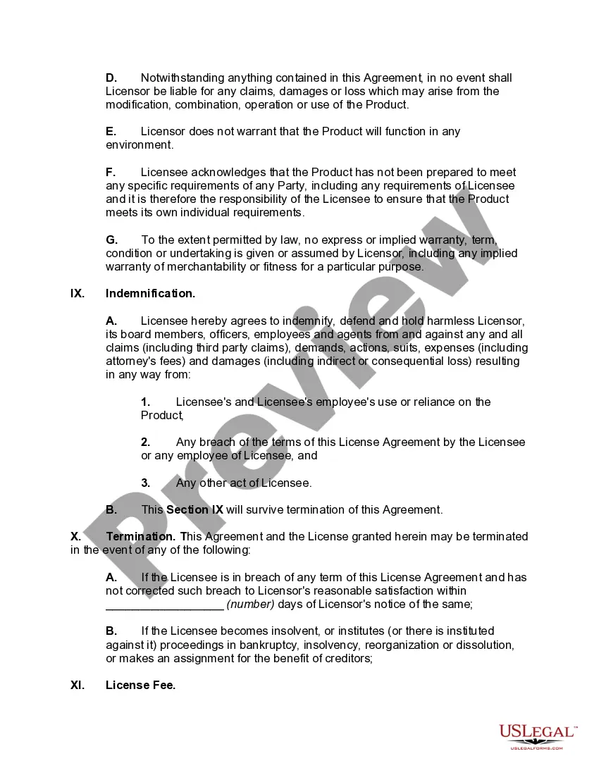
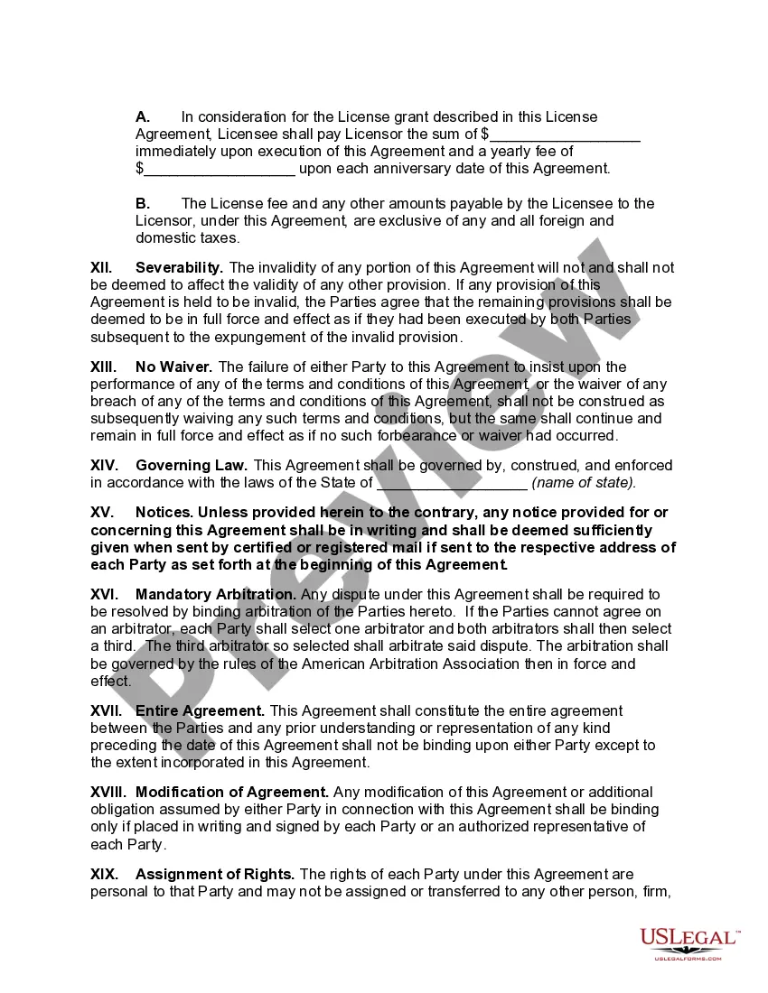
A license agreement is a business contract between two parties. The licensor (the seller of the license) owns the asset being licensed and the licensee (the buyer) pays for the right to use the license. The licensee pays the owner in exchange for the right to sell the product or use the technology.
Elements of a standard licensing agreementName of Parties It includes the name and the place of residence of the parties. In case of a company, it also includes the act under which the company is registered. Tenure It specifies the term for which the license is granted by the licensor to the licensee.
Licensing agreements are found in many different industries. An example of a licensing agreement is a contract between the copyright holders of software and another company, allowing the latter to use the computer software for their daily business operations.
Practitioners and licensing executives often refer to three basic types of voluntary licenses: non-exclusive, sole, and exclusive. A non-exclusive licence allows the licensor to retain the right to use the licensed property and the right to grant additional licenses to third parties.
Licensing involves obtaining permission from a company (licensor) to manufacture and sell one or more of its products within a defined market area. The company that obtains these rights (the licensee) usually agrees to pay a royalty fee to the original owner.
A licensing agreement is a legal contract between two parties, known as the licensor and the licensee. In a typical licensing agreement, the licensor grants the licensee the right to produce and sell goods, apply a brand name or trademark, or use patented technology owned by the licensor.





