South Dakota Master Services Agreement for Digital Advertising Services

State:
Multi-State
Control #:
US-1340810BG
Format:
Word; 
Rich Text
Instant download

Description

A master service agreement, sometimes known as a framework agreement, is a contract reached between parties, in which the parties agree to most of the terms that will govern future transactions or future agreements.
Free preview
  • Preview Master Services Agreement for Digital Advertising Services
  • Preview Master Services Agreement for Digital Advertising Services
  • Preview Master Services Agreement for Digital Advertising Services
  • Preview Master Services Agreement for Digital Advertising Services
  • Preview Master Services Agreement for Digital Advertising Services
  • Preview Master Services Agreement for Digital Advertising Services
  • Preview Master Services Agreement for Digital Advertising Services
  • Preview Master Services Agreement for Digital Advertising Services

How to fill out Master Services Agreement For Digital Advertising Services?

US Legal Forms - among the premier collections of legal documents in the United States - provides a vast selection of legal form templates that you can download or print.

By utilizing the website, you can access thousands of forms for commercial and personal purposes, organized by categories, states, or keywords. You can find the latest versions of forms such as the South Dakota Master Services Agreement for Digital Advertising Services in just moments.

If you currently possess a subscription, Log In and retrieve the South Dakota Master Services Agreement for Digital Advertising Services from the US Legal Forms library. The Acquire button will appear on each template you view. You can access all previously saved forms in the My documents tab of your account.

Process the transaction. Use your credit card or PayPal account to finalize the transaction.

Select the format and download the form to your device. Make adjustments. Complete, modify, and print and sign the saved South Dakota Master Services Agreement for Digital Advertising Services. Every template you added to your account has no expiration date and is yours indefinitely. Therefore, if you wish to download or print another version, simply go to the My documents section and click on the form you need.

Access the South Dakota Master Services Agreement for Digital Advertising Services with US Legal Forms, the most extensive collection of legal document templates. Utilize thousands of professional and state-specific templates that suit your business or personal needs and requirements.

  1. Ensure you have chosen the correct form for your area/state.
  2. Select the Review button to inspect the form's details.
  3. Examine the form description to confirm that you have selected the proper form.
  4. If the form does not meet your needs, utilize the Search field at the top of the screen to find one that does.
  5. If you are satisfied with the form, confirm your choice by clicking the Get now button.
  6. Then, choose your preferred pricing plan and provide your credentials to register for the account.

Form popularity

FAQ

A Marketing Service Agreement (MSA) is designed to provide branding and differentiators for a particular service provider. It helps cement what the business does, and how, in the minds of real estate agents and buyers.

A master service agreement, or MSA, is a contract reached between parties, in which the parties agree to most of the terms that will govern future transactions or future agreements.

A digital service agreement is a written agreement between a provider of digital services and a customer that purchases those services. The digital service agreement sets the terms of the contract between the provider and the customer.

What Should a Digital Marketing Agreement Include?Project Overview, Statement of Work, and Scope of the Project.The Specific Clauses You Need for Your Agreement.Freelance Contract Terms About Your Client Relationship.Milestone Payments.Late fees.A Digital Marketing Agreement Protects You When Something Goes Wrong.More items...?

It spells out:Confidentiality: The parties both agree they won't share any secrets of the company with outside parties.Delivery requirements: The businesses decide who will deliver what and when.Dispute resolution: Should issues come up, the MSA outlines how the parties will resolve their conflict.More items...

It spells out: Confidentiality: The parties both agree they won't share any secrets of the company with outside parties. Delivery requirements: The businesses decide who will deliver what and when. Dispute resolution: Should issues come up, the MSA outlines how the parties will resolve their conflict.

A master service agreement, sometimes known as a framework agreement, is a contract reached between parties, in which the parties agree to most of the terms that will govern future transactions or future agreements.

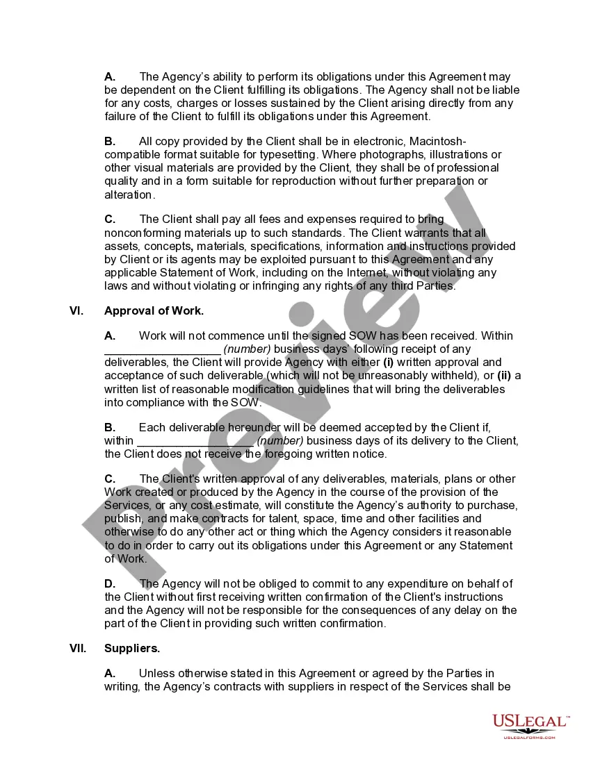
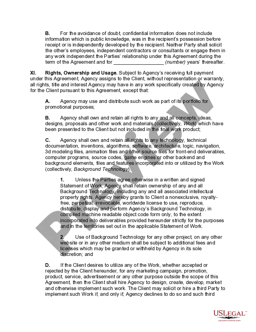
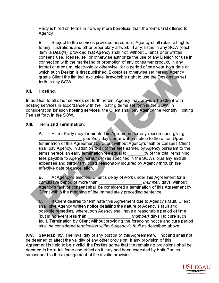
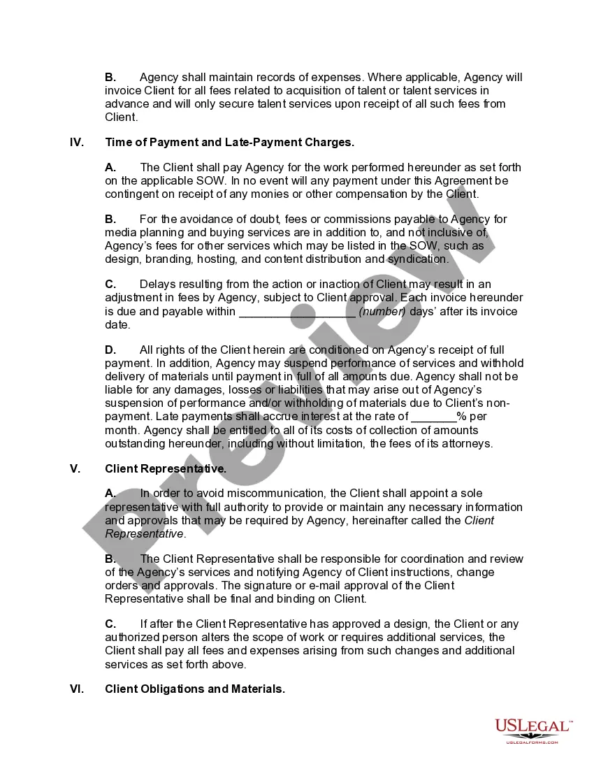
Typically, the Master Service Agreement specifies generic terms such as payment terms, product warranties, intellectual property ownership, dispute resolution, and liabilities.

Sometimes, a contract covers a one-time action between parties, but what happens when the relationships or circumstances are ongoing? When signing parties know they will continue to work together in the future, a Master Services Agreement (MSA) can simplify those future agreements and speed up the negotiation process.

A master service agreement is the formal agreement made between suppliers and buyers. It outlines essential terms of service like deliverables, warranties, indemnification, payment terms, termination clauses, intellectual property rights, confidential information, and even dispute resolutions.

Trusted and secure by over 3 million people of the world’s leading companies

South Dakota Master Services Agreement for Digital Advertising Services