South Carolina Auction of Real Property Agreement
South Carolina Purchase and Sale Agreement
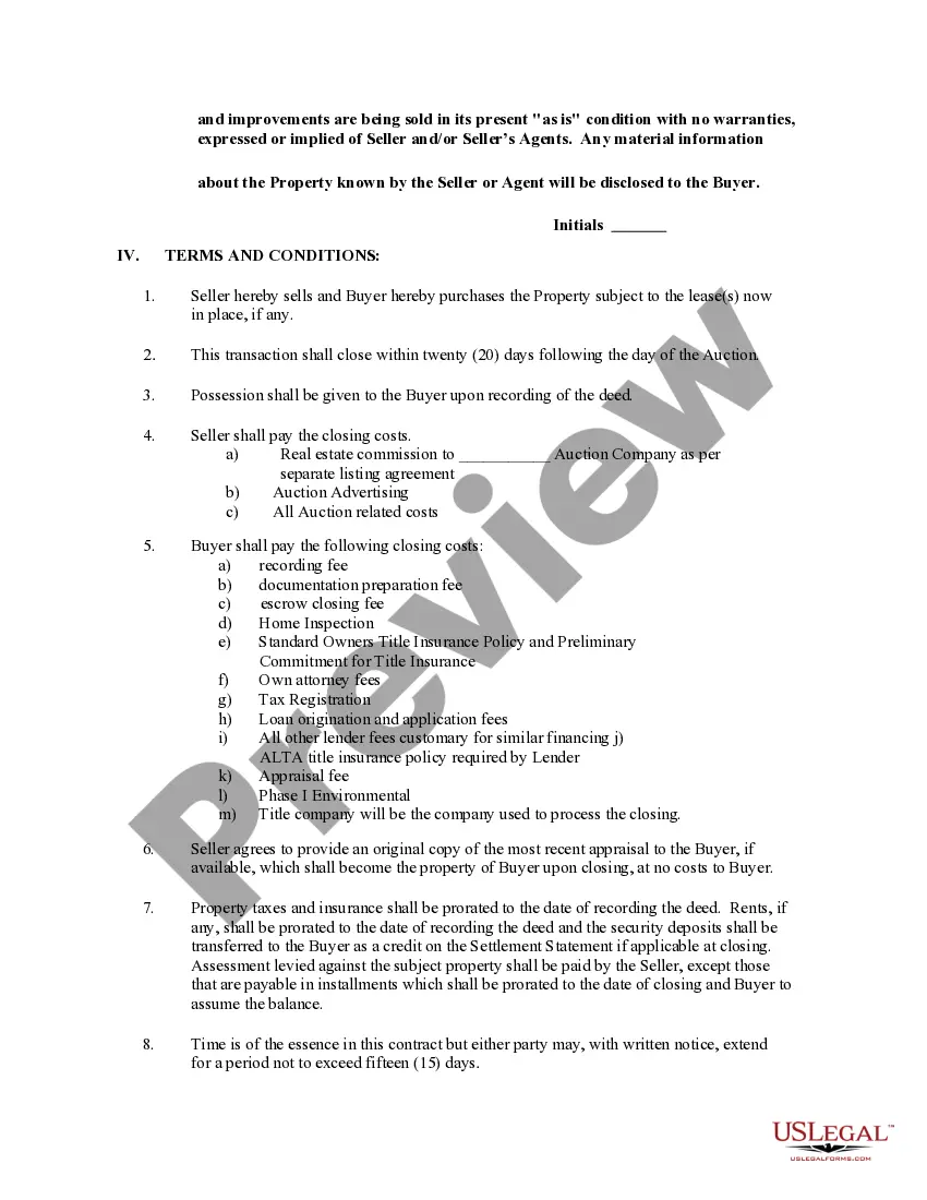
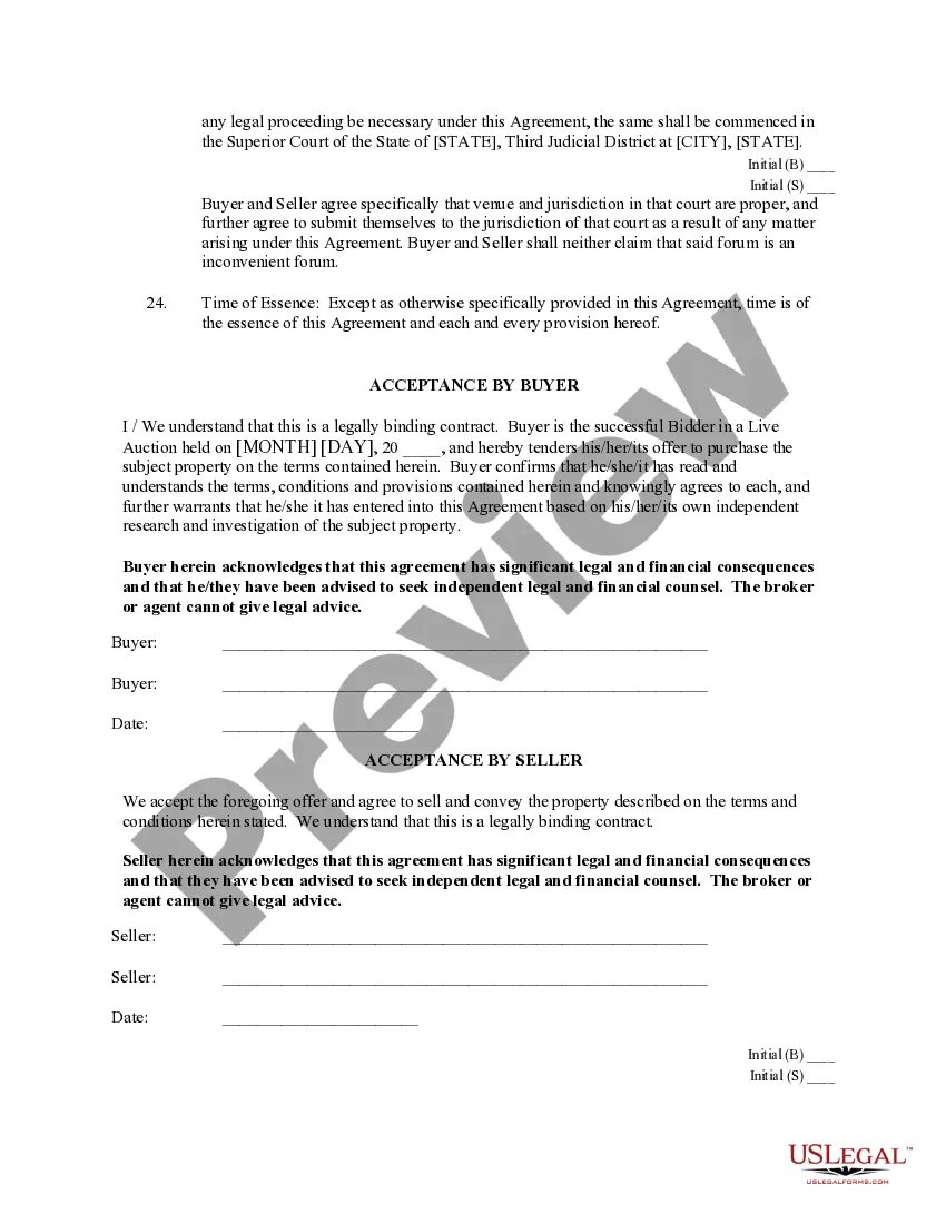
South Carolina Auction Purchase Contract
South Carolina Purchase and Sale Agreement
South Carolina Purchase and Sale Agreement
Artist Management Agreement
Travel Consent Forms - Child or Children Traveling Abroad without both Parents - Foreign Travel or Country
Affidavit by Attorney for Defendant in Support of Motion for Reduction of Sentence for Defendant's Assistance with another Prosecution - Modify
Complaint for Violation of Civil Rights and for Wrongful Discharge and Failure To Rehire - 1st, 14th Amendments, US Constitution - Jury Trial Demand
Response to Request for List of Subcontractors and Suppliers - Individual
Assignment of Copyright to Multiple Works
Money Laundering - Elements of the Offense (18 U.S.C. Sec.1956(a)(1)) (revised 2017)
Assignment of Contract for Deed by Seller
Contract for the Lease and Mandatory Purchase of Real Estate - Specific performance clause
Generator Installation And Repair Services Contract - Self-Employed
Illinois Video License Agreement
Indiana Video License Agreement
Iowa Video License Agreement
Kansas Video License Agreement
Kentucky Video License Agreement






