South Carolina FALSE ENTRY IN BANK'S BOOKS

State:
South Carolina
Control #:
SC-FEDDC-JURY-18-1005-CR
Format:
Word
Instant download
This website is not affiliated with any governmental entity
Public form

Description

Official Pattern Jury Instructions for Criminal Cases in Federal District Court of South Carolina. All converted to Word format. Please see the official site for addional information. http://www.scd.uscourts.gov/pji/

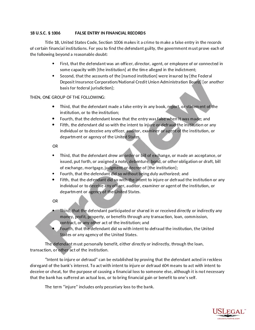
South Carolina FALSE ENTRY IN BANK'S BOOKS is an accounting term used to describe an intentional misstatement of a financial statement or transaction in the bank's books. It can take many forms, including fictitious entries, understating or overstating of assets or liabilities, misclassifying of transactions, or failing to properly record a transaction. Common types of South Carolina FALSE ENTRY IN BANK'S BOOKS include fictitious entries, double-posting entries, misclassifying of transactions, and misstating of assets or liabilities.

How to fill out South Carolina FALSE ENTRY IN BANK'S BOOKS?

Preparing official paperwork can be a real burden if you don’t have ready-to-use fillable templates. With the US Legal Forms online library of formal documentation, you can be certain in the blanks you find, as all of them correspond with federal and state laws and are checked by our experts. So if you need to complete South Carolina FALSE ENTRY IN BANK'S BOOKS, our service is the perfect place to download it.

Obtaining your South Carolina FALSE ENTRY IN BANK'S BOOKS from our service is as simple as ABC. Previously registered users with a valid subscription need only log in and click the Download button after they find the proper template. Later, if they need to, users can use the same blank from the My Forms tab of their profile. However, even if you are unfamiliar with our service, signing up with a valid subscription will take only a few moments. Here’s a quick guideline for you:

  1. Document compliance check. You should carefully examine the content of the form you want and make sure whether it satisfies your needs and complies with your state law requirements. Previewing your document and looking through its general description will help you do just that.
  2. Alternative search (optional). Should there be any inconsistencies, browse the library through the Search tab above until you find a suitable blank, and click Buy Now when you see the one you want.
  3. Account registration and form purchase. Create an account with US Legal Forms. After account verification, log in and choose your preferred subscription plan. Make a payment to proceed (PayPal and credit card options are available).
  4. Template download and further usage. Choose the file format for your South Carolina FALSE ENTRY IN BANK'S BOOKS and click Download to save it on your device. Print it to fill out your papers manually, or use a multi-featured online editor to prepare an electronic copy faster and more effectively.

Haven’t you tried US Legal Forms yet? Subscribe to our service now to obtain any official document quickly and easily any time you need to, and keep your paperwork in order!

Form popularity

FAQ

Terms Used In South Carolina Code 34-3-110 Corporation: A legal entity owned by the holders of shares of stock that have been issued, and that can own, receive, and transfer property, and carry on business in its own name. Mortgage: The written agreement pledging property to a creditor as collateral for a loan.

Penalty for Fraudulent Checks in South Carolina Fraudulent check charges carry jail time for the accused. If you have been charged with this crime you need to speak with Myrtle Beach criminal defense lawyer to discuss your case.

Writing a bad check is a crime if the check writer knew that there were insufficient funds to cover the check and intended to defraud you. It is also a crime to forge a check or write a check.

Section 16-17-735 - Persons impersonating officials or law enforcement officers; persons falsely asserting authority of law; offenses; punishment. (2) denies or impedes another in the exercise or enjoyment of any right, privilege, power, or immunity.

Prosecution Procedures When the Worthless Check Program receives a bad check complaint and restitution is not made in ance with the legal requirements, a criminal charge will be filed.

A bad check is a check the bank will not honor. There are three kinds of bad checks. Non-Sufficient Funds (NSF) checks: A check is NSF if there is not enough money in the account to pay it or the account is closed. Stop Payment checks: The person who wrote the check told the bank to stop payment.

To criminally prosecute a bad check, South Carolina law states a check must be deposited within 10 days of receipt, the check cannot be postdated, that there was no agreement to hold the check, and a warrant must be obtained within 180 days from the date the check was received.

If you present false financial information about yourself or your company, you'll likely face misdemeanor charges, resulting in up to 6 months in jail and fines up to $1000 if convicted. A conviction for false financial statements can lead to fines, restitution, probation, and jail time.

Trusted and secure by over 3 million people of the world’s leading companies

South Carolina FALSE ENTRY IN BANK'S BOOKS