US Legal Forms - among the biggest libraries of legitimate varieties in the United States - gives a variety of legitimate papers themes you are able to obtain or produce. While using internet site, you can get thousands of varieties for company and individual purposes, sorted by types, states, or key phrases.You will discover the latest versions of varieties like the Pennsylvania Termination Agreement between Employer and Executive at End of Term of Employment Agreement with Restrictive Covenants and General Release in seconds.
If you currently have a subscription, log in and obtain Pennsylvania Termination Agreement between Employer and Executive at End of Term of Employment Agreement with Restrictive Covenants and General Release in the US Legal Forms catalogue. The Download switch will appear on every develop you perspective. You get access to all earlier acquired varieties in the My Forms tab of the accounts.
In order to use US Legal Forms the first time, listed below are basic guidelines to get you started out:
Each and every template you added to your money does not have an expiry particular date and is yours permanently. So, in order to obtain or produce yet another backup, just visit the My Forms area and click around the develop you need.
Gain access to the Pennsylvania Termination Agreement between Employer and Executive at End of Term of Employment Agreement with Restrictive Covenants and General Release with US Legal Forms, by far the most comprehensive catalogue of legitimate papers themes. Use thousands of skilled and condition-specific themes that meet up with your business or individual requirements and requirements.
At-will Employment in Pennsylvania In Pennsylvania, employment is at-will, which means employers have the right to terminate an employee without reason and without giving him or her prior notice. At-will employment also describes the ability employers have to change the terms of employment at any given time.
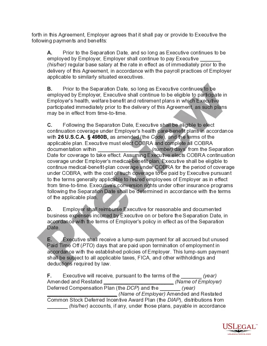
The term ?Termination for Cause? shall mean termination because of Executive's personal dishonesty, incompetence, willful misconduct, any breach of fiduciary duty involving personal profit, intentional failure to perform stated duties, willful violation of any law, rule, or regulation (other than traffic violations or ...
A contract of employment (or employment contract) is an agreement or term of hire that is extended from an employer to an employee to set the terms and conditions of their employment. While usually a written document, these agreements can also be verbal.
An executive employment agreement is a legal contract between an employer and an executive that outlines the terms of their working relationship. These agreements include information about salary, benefits, stock options or awards, vacation time allotment and more.
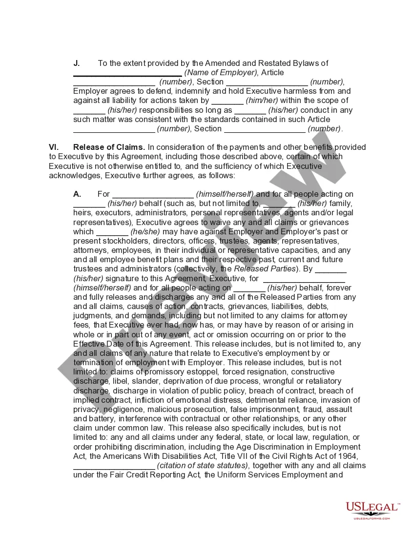
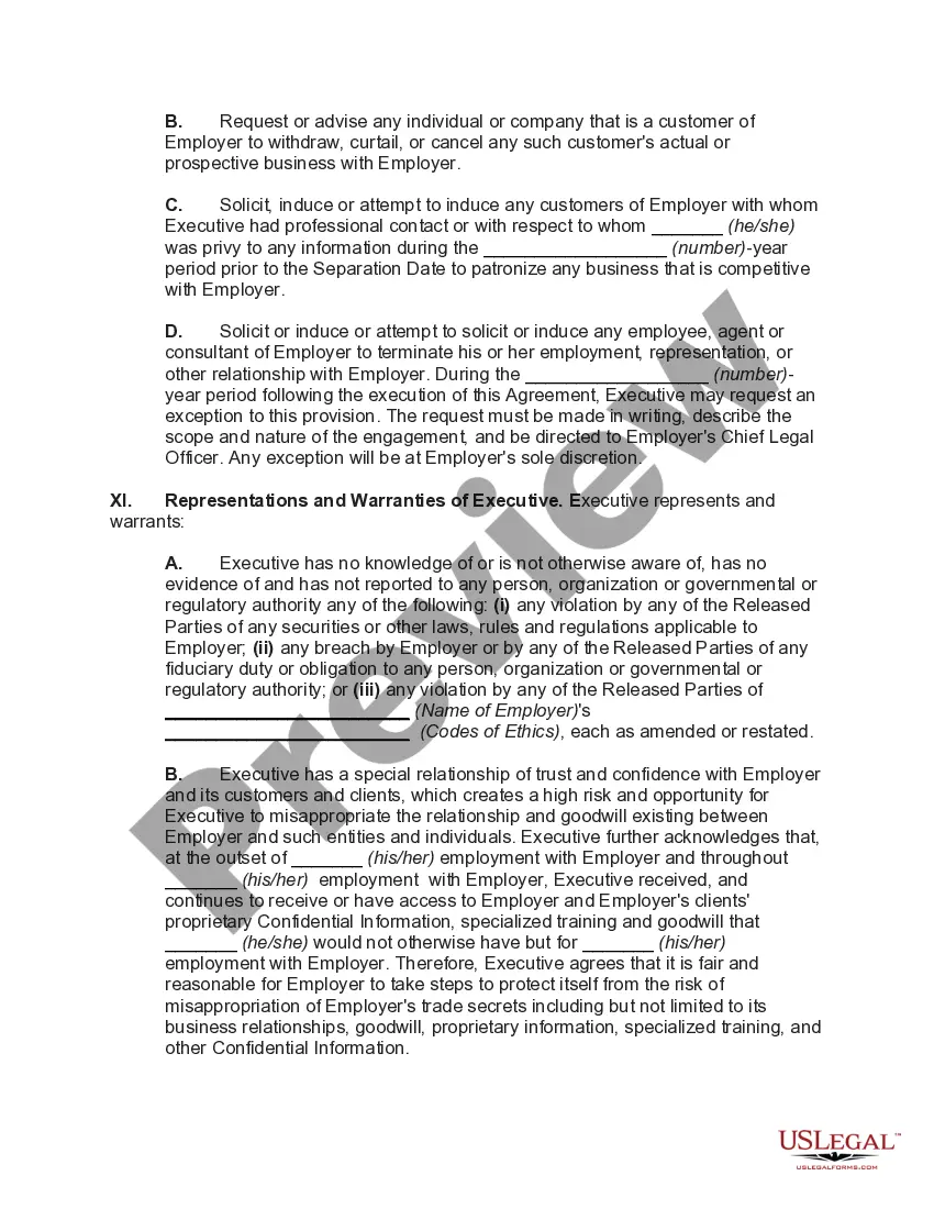
The other types of restrictive covenants found in employment contracts are non-disparagement, non-interference and non-solicitation.
The term ?Termination for Cause? shall mean termination because of Executive's personal dishonesty, incompetence, willful misconduct, any breach of fiduciary duty involving personal profit, intentional failure to perform stated duties, willful violation of any law, rule, or regulation (other than traffic violations or ...
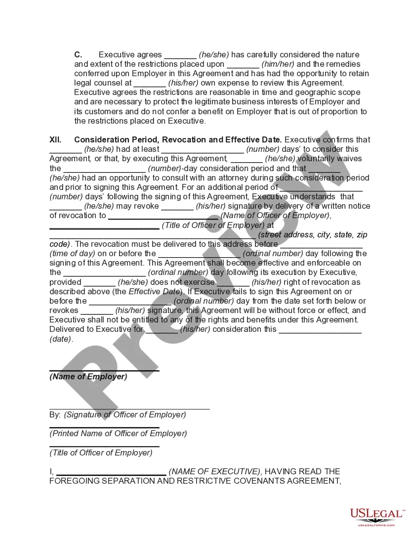
Key Considerations for Executives Negotiating Employment Agreements Make sure the compensation is clear. ... Understand how the relationship can be ended. ... Severance is beneficial for both sides; know what triggers it. ... Be aware of non-competes. ... Be careful when relying on other promises.
Understanding the differences between offer letters and employment contracts is vital for employers and employees alike. Offer letters serve as the initial job offer, providing essential details about the employment terms, while employment contracts establish a more comprehensive and legally binding agreement.









