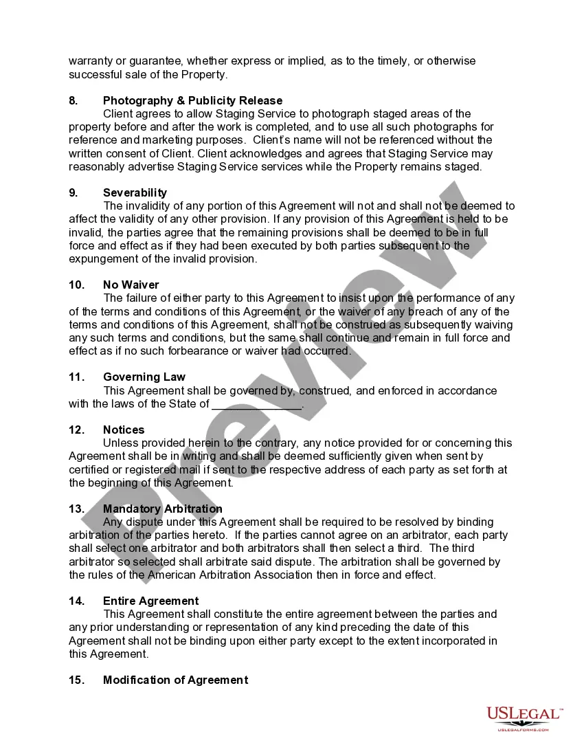
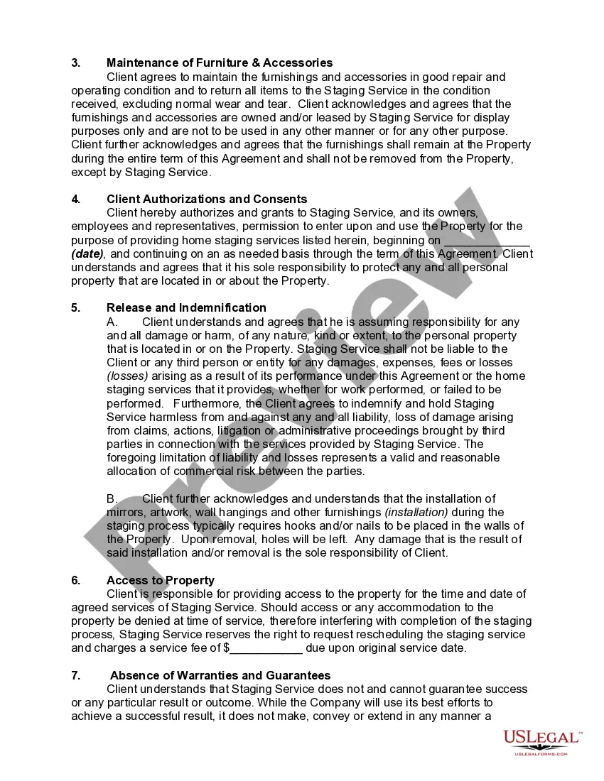
Pennsylvania Agreement for Partial Home Staging Service - Rental of Decor and Accessories

State:
Multi-State
Control #:
US-02744BG
Format:
Word; 
Rich Text
Instant download

Description

Staging of homes is a growing trend in real estate. It is especially important in slow markets with high inventory and many competing homes
Free preview
  • Preview Agreement for Partial Home Staging Service - Rental of Decor and Accessories
  • Preview Agreement for Partial Home Staging Service - Rental of Decor and Accessories
  • Preview Agreement for Partial Home Staging Service - Rental of Decor and Accessories
  • Preview Agreement for Partial Home Staging Service - Rental of Decor and Accessories

How to fill out Agreement For Partial Home Staging Service - Rental Of Decor And Accessories?

US Legal Forms - one of the largest collections of legally approved documents in the United States - offers a diverse selection of legal document templates that you can download or create.

By using the website, you can access numerous forms for business and personal purposes, organized by categories, states, or keywords. You can find the latest versions of documents such as the Pennsylvania Agreement for Partial Home Staging Service - Rental of Decor and Accessories in just a few moments.

If you already have an account, Log In to download the Pennsylvania Agreement for Partial Home Staging Service - Rental of Decor and Accessories from the US Legal Forms library. The Download button will appear on every form you view. You can access all previously downloaded forms in the My documents section of your account.

Complete the transaction. Use a credit card or PayPal account to finalize the payment.

Select the format and download the form onto your device. Make adjustments. Fill out, modify, and print and sign the downloaded Pennsylvania Agreement for Partial Home Staging Service - Rental of Decor and Accessories. Each document you add to your account does not expire and is yours for a long time. Therefore, if you want to download or print another copy, simply visit the My documents section and click on the form you need. Gain access to the Pennsylvania Agreement for Partial Home Staging Service - Rental of Decor and Accessories with US Legal Forms, the most comprehensive repository of legal document templates. Utilize a wealth of professional and state-specific templates that meet your business or personal needs.

  1. Ensure that you have selected the correct form for your area/county.
  2. Click the Review button to examine the form's content.
  3. Check the form information to verify that you have picked the appropriate form.
  4. If the form does not meet your needs, use the Search box at the top of the screen to find a suitable option.
  5. When you are satisfied with the form, confirm your choice by clicking the Purchase now button.
  6. Then, choose the pricing plan you prefer and provide your details to sign up for an account.

Form popularity

FAQ

House staging often takes anywhere from a few hours to a couple of days, based on the home's size and the improvements needed. Utilizing the Pennsylvania Agreement for Partial Home Staging Service - Rental of Decor and Accessories can streamline this process by providing you with the necessary resources and guidance. Quick staging can enhance your home’s attractiveness and increase the chances of a faster sale.

Staging contracts typically last for 30 to 90 days, depending on the staging company and your specific needs. The Pennsylvania Agreement for Partial Home Staging Service - Rental of Decor and Accessories can provide you with a clear outline of your staging duration. Ensuring you have a well-planned timeline allows you to effectively market your home for sale.

The 3 foot 5 foot rule suggests that a buyer's attention is drawn to different details from varying distances within a home. Up close, like at 3 feet, buyers notice furniture arrangement and decor, while at 5 feet, they observe overall spatial organization and flow. Incorporating the Pennsylvania Agreement for Partial Home Staging Service - Rental of Decor and Accessories can help you master these visual perspectives, making your home inviting from all angles.

Home staging typically includes arranging furniture, decorating with art and accessories, and making minor repairs or updates. The Pennsylvania Agreement for Partial Home Staging Service - Rental of Decor and Accessories allows you to choose what elements you want to add to your home staging process. This focus on presentation can significantly impact buyers' impressions and lead to quicker offers.

Home staging costs are generally covered by the home seller, but sometimes real estate agents may front these costs to help sell the property faster. The Pennsylvania Agreement for Partial Home Staging Service - Rental of Decor and Accessories provides valuable resources for sellers looking to maximize their investment. Ultimately, it’s about making a wise financial decision for a successful sale.

A staging agreement is a contract that outlines the terms for preparing a home for sale to enhance its appeal to buyers. This agreement often includes details about the Pennsylvania Agreement for Partial Home Staging Service - Rental of Decor and Accessories. It ensures both parties understand their responsibilities, timelines, and compensation, creating a smooth transaction.

Most real estate contracts typically last for 30 to 90 days, though the duration can vary based on specific agreements. The Pennsylvania Agreement for Partial Home Staging Service - Rental of Decor and Accessories can greatly assist in the selling process during this time frame. Having well-staged homes can help you meet your contract deadlines by attracting more potential buyers quickly.

Trusted and secure by over 3 million people of the world’s leading companies

Pennsylvania Agreement for Partial Home Staging Service - Rental of Decor and Accessories