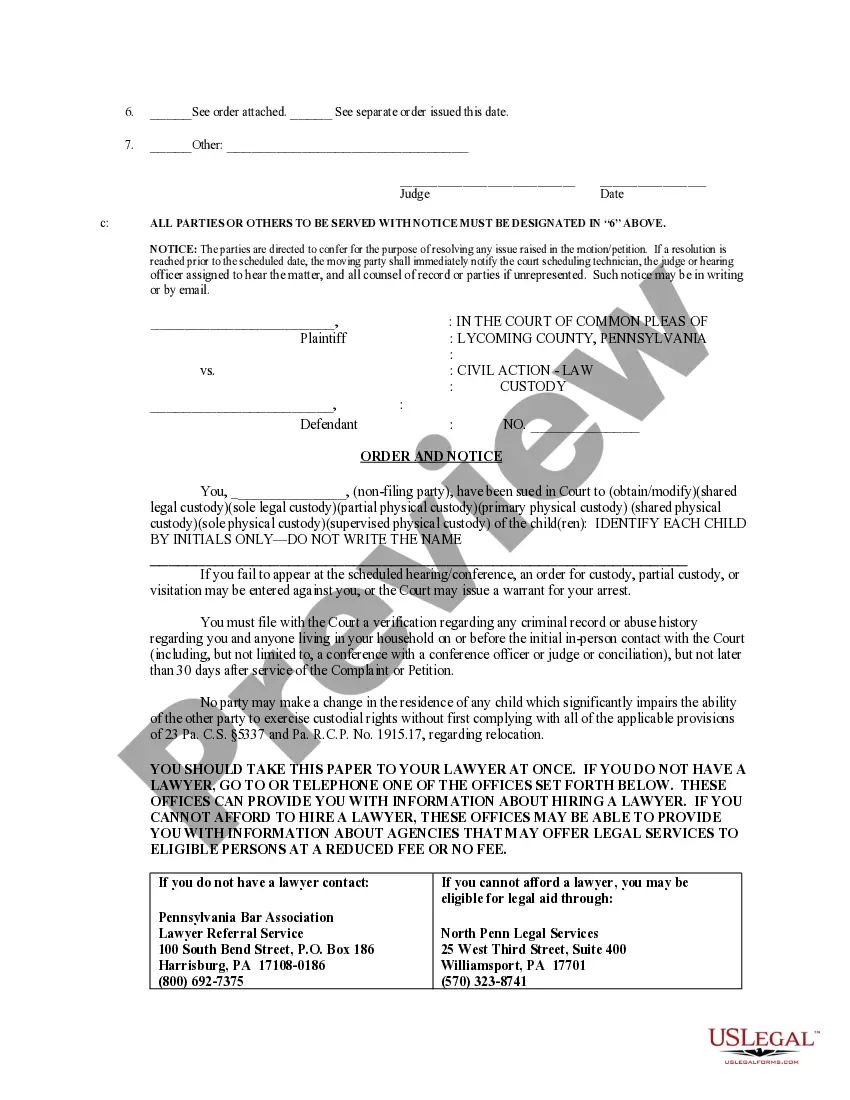
Pennsylvania Motion Cover Sheet with Order is a form that must be completed when filing a motion in Pennsylvania state court. It provides the court with basic information about the motion, such as the names of the parties and the relief sought. The Motion Cover Sheet with Order must also include the name of the judge to whom the motion is assigned. There are two types of Pennsylvania Motion Cover Sheet with Order: a Civil Motion Cover Sheet with Order, used in civil matters, and a Criminal Motion Cover Sheet with Order, used in criminal cases. Both forms provide the same basic information about the motion, though the criminal form also requests information about the criminal activity for which a defendant is charged.




