You are able to devote hrs online attempting to find the authorized document format that fits the federal and state demands you want. US Legal Forms provides 1000s of authorized forms which are evaluated by professionals. You can actually obtain or printing the Oregon Agreement for Marketing and Brand Development Services from the service.
If you have a US Legal Forms profile, you are able to log in and click on the Obtain button. After that, you are able to comprehensive, revise, printing, or indication the Oregon Agreement for Marketing and Brand Development Services. Each and every authorized document format you purchase is your own property forever. To have an additional version of the obtained kind, check out the My Forms tab and click on the related button.
If you are using the US Legal Forms internet site the very first time, adhere to the simple directions listed below:
Obtain and printing 1000s of document layouts using the US Legal Forms website, that provides the biggest selection of authorized forms. Use professional and express-distinct layouts to deal with your small business or personal requires.
Every marketing contract should contain a detailed explanation and guidance on the following points: Parties. ... Services. ... Pricing, fees, and payment terms. ... Duration and termination. ... Confidentiality and non-disclosure. ... Relationship between parties. ... Ownership. ... Intellectual property rights.
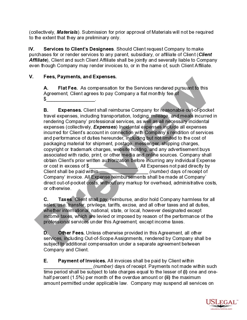
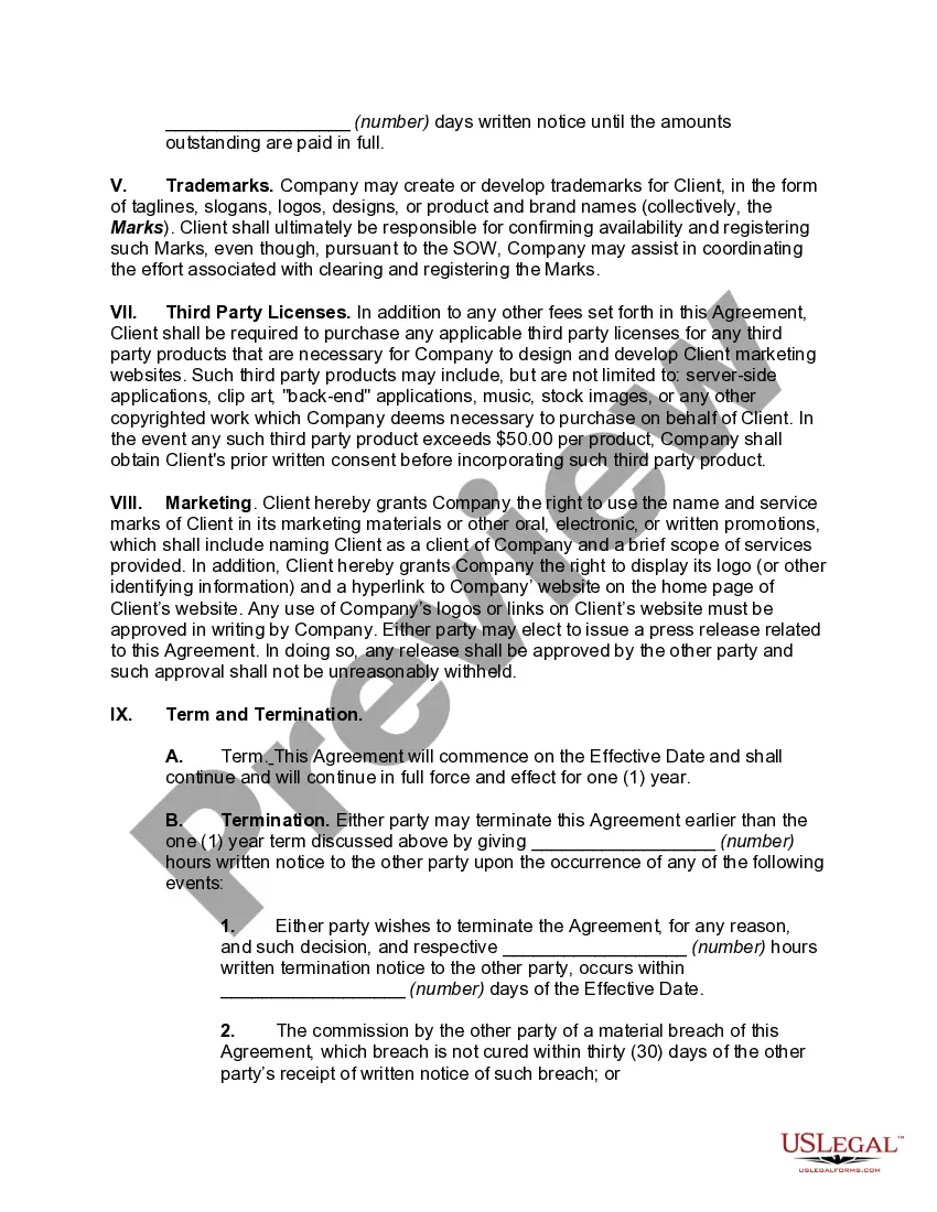
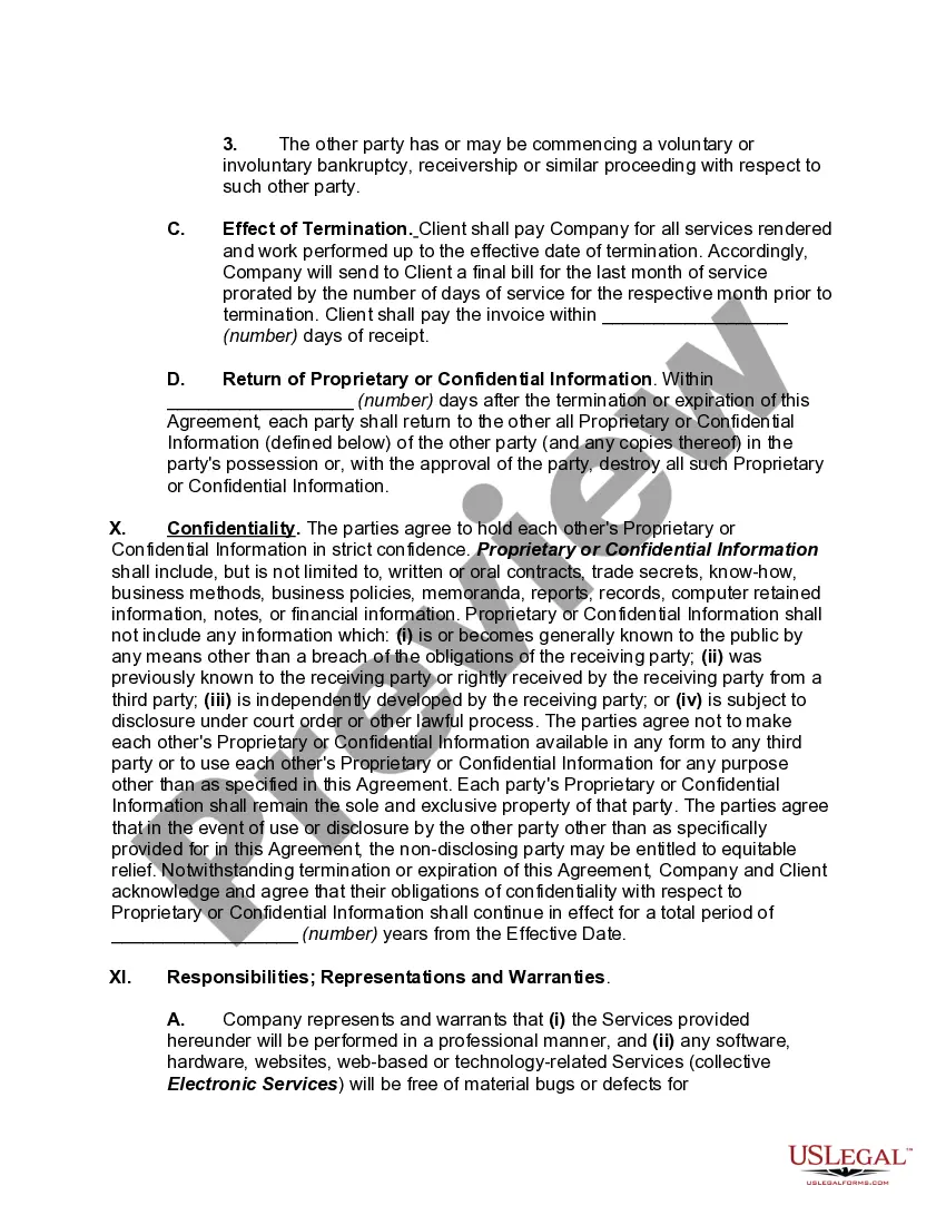
A market service agreement acts as a contract between two organizations in regards to the details related to facilitating the marketing aspects of one company by another. A market service agreement is used to determine what one party will complete for another party.
A Marketing Services Agreement (MSA) is a legally binding contract between two parties outlining the terms and conditions of a marketing services arrangement. Moreover, in this agreement, one party usually offers marketing assistance to the other individual in exchange for compensation.
A marketing agreement is a formalised document that delineates the terms and conditions under which parties agree to promote and market a product or service. It serves as a foundational blueprint, outlining roles, responsibilities, and deliverables to ensure alignment in marketing efforts.
A marketing agreement is a document, signed by all parties involved, that lists the scope of work to be undertaken, and any duties and expectations that the business has of the marketing agency.
Every marketing contract should contain a detailed explanation and guidance on the following points: Parties. ... Services. ... Pricing, fees, and payment terms. ... Duration and termination. ... Confidentiality and non-disclosure. ... Relationship between parties. ... Ownership. ... Intellectual property rights.
Those seven elements are: Identification (Defining all the parties involved) Offer (The agreement) Acceptance (Agreement mirrored by other parties) Mutual consent (Signatory consent of all parties) Consideration (The value exchanged for the offer) Capacity (Legal/mental competence of all parties)








