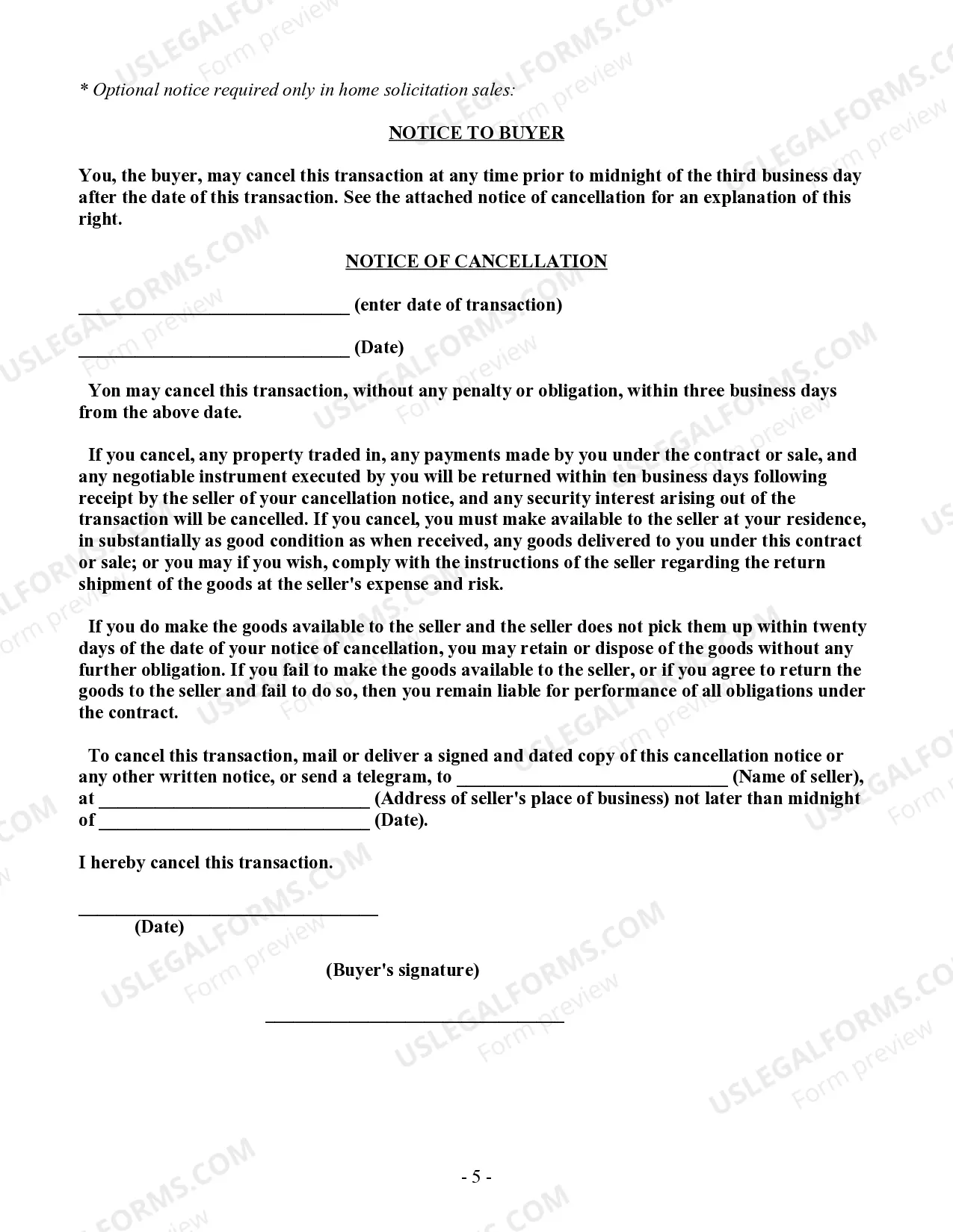
The drainage contract for contractor is a legal document used between drainage contractors and property owners. This contract outlines the terms and conditions under which drainage services will be provided, specifying payment arrangements, project details, and responsibilities regarding permits, soil conditions, insurance, and more. Unlike general service agreements, this specialized contract includes provisions tailored to drainage projects in Ohio, ensuring compliance with state laws.
This form should be used when a property owner hires a drainage contractor to perform excavation, grading, or any other drainage improvement project. It is essential whenever necessary permits are required, or when the project scope may change after work has commenced. This contract is particularly useful in formalizing expectations and responsibilities to avoid disputes during the project.
This form usually doesn’t need to be notarized. However, local laws or specific transactions may require it. Our online notarization service, powered by Notarize, lets you complete it remotely through a secure video session, available 24/7.
Our built-in tools help you complete, sign, share, and store your documents in one place.
Make edits, fill in missing information, and update formatting in US Legal Forms—just like you would in MS Word.
Download a copy, print it, send it by email, or mail it via USPS—whatever works best for your next step.
Sign and collect signatures with our SignNow integration. Send to multiple recipients, set reminders, and more. Go Premium to unlock E-Sign.
If this form requires notarization, complete it online through a secure video call—no need to meet a notary in person or wait for an appointment.
We protect your documents and personal data by following strict security and privacy standards.

Make edits, fill in missing information, and update formatting in US Legal Forms—just like you would in MS Word.

Download a copy, print it, send it by email, or mail it via USPS—whatever works best for your next step.

Sign and collect signatures with our SignNow integration. Send to multiple recipients, set reminders, and more. Go Premium to unlock E-Sign.

If this form requires notarization, complete it online through a secure video call—no need to meet a notary in person or wait for an appointment.

We protect your documents and personal data by following strict security and privacy standards.