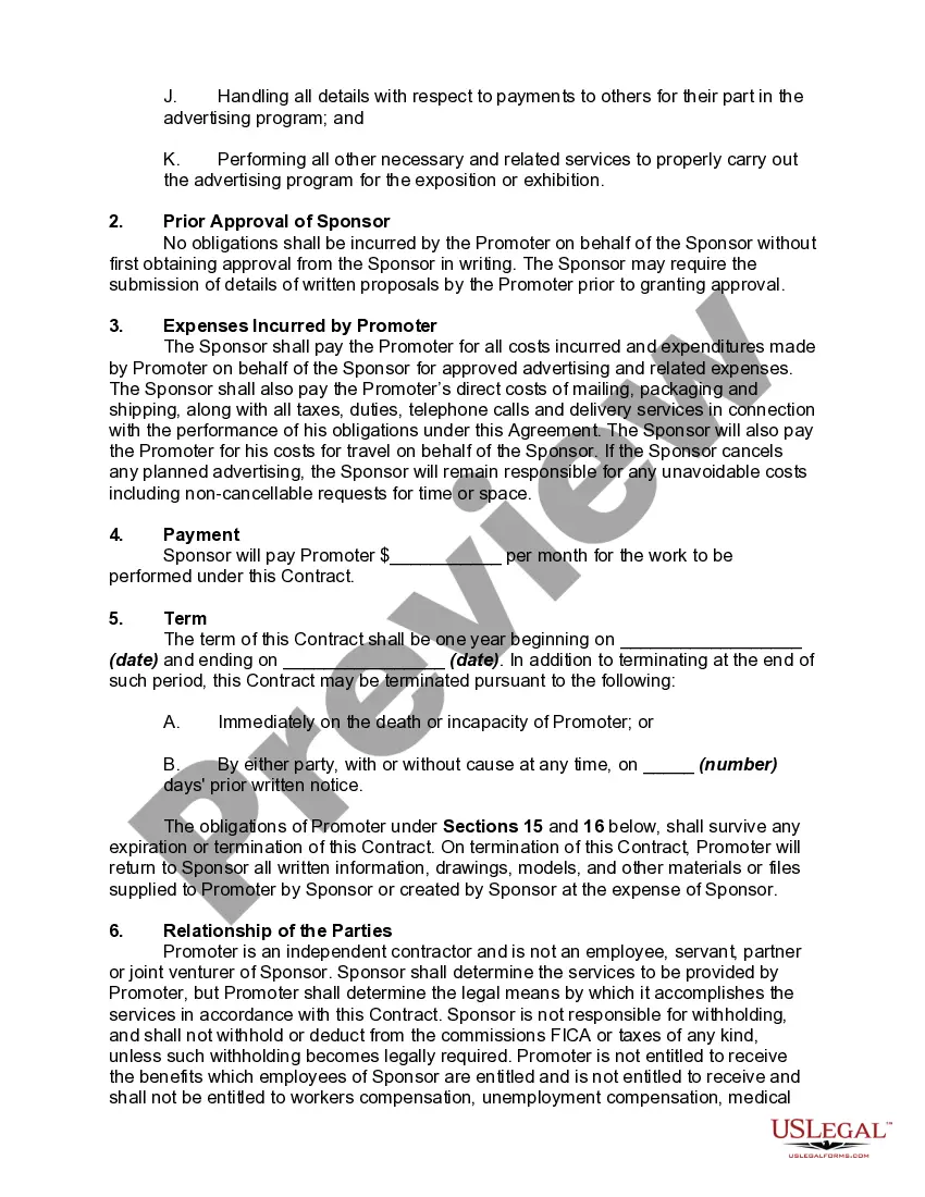
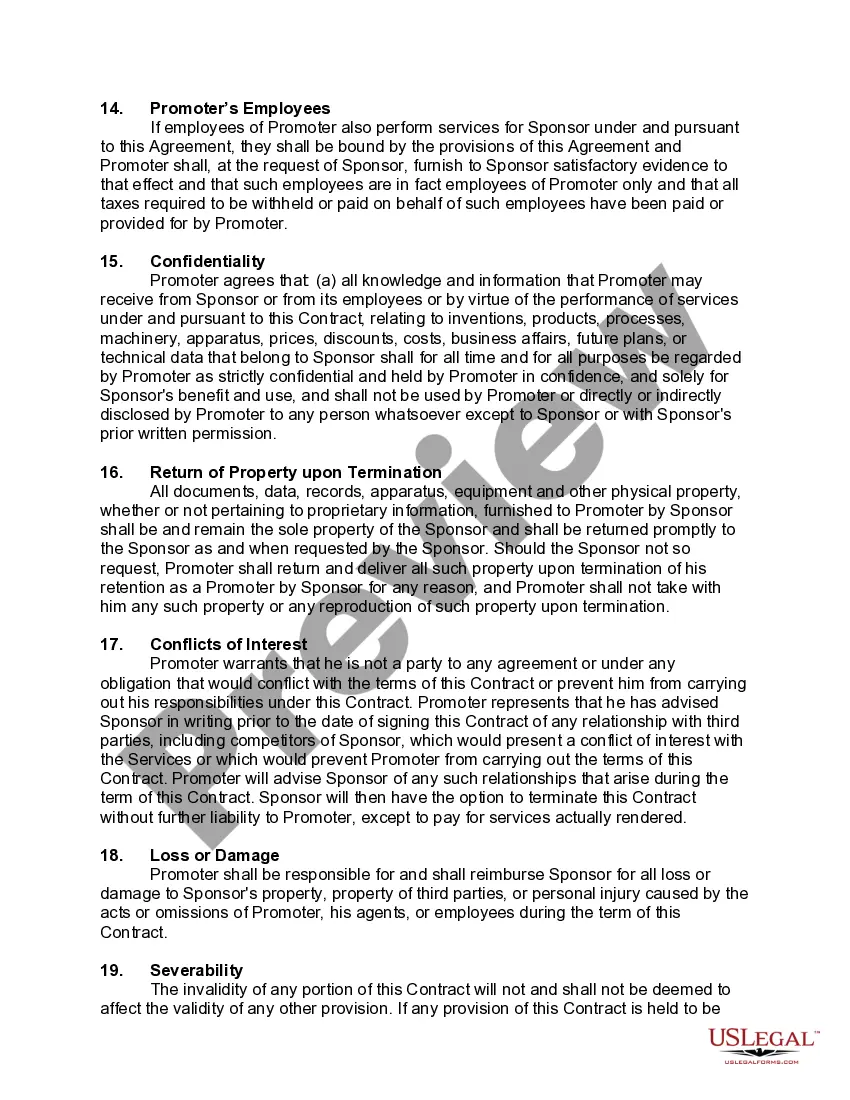
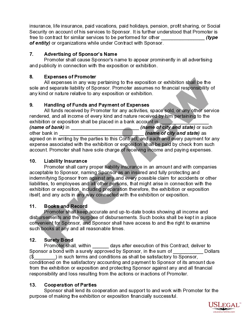
Nebraska Marketing and Promotion Agreement

State:
Multi-State
Control #:
US-02787BG
Format:
Word; 
Rich Text
Instant download

Description

An independent contractor is a person or business who performs services for another person pursuant to an agreement and who is not subject to the other's control, or right to control, the manner and means of performing the services. The exact nature of the independent contractor's relationship with the hiring party is important since an independent contractor pays his/her own Social Security, income taxes without payroll deduction, has no retirement or health plan rights, and often is not entitled to worker's compensation coverage.

There are a number of factors which to consider in making the decision whether people are employees or independent contractors. One of the most important considerations is the degree of control exercised by the company over the work of the workers. An employer has the right to control an employee. It is important to determine whether the company had the right to direct and control the workers not only as to the results desired, but also as to the details, manner and means by which the results were accomplished. If the company had the right to supervise and control such details of the work performed, and the manner and means by which the results were to be accomplished, an employer-employee relationship would be indicated. On the other hand, the absence of supervision and control by the company would support a finding that the workers were independent contractors and not employees.

Another factor to be considered is the connection and regularity of business between the independent contractor and the hiring party. Important factors to be considered are separate advertising, procurement of licensing, maintenance of a place of business, and supplying of tools and equipment by the independent contractor. If the service rendered is to be completed by a certain time, as opposed to an indefinite time period, a finding of an independent contractor status is more likely.
Free preview
  • Preview Marketing and Promotion Agreement
  • Preview Marketing and Promotion Agreement
  • Preview Marketing and Promotion Agreement
  • Preview Marketing and Promotion Agreement
  • Preview Marketing and Promotion Agreement
  • Preview Marketing and Promotion Agreement

How to fill out Marketing And Promotion Agreement?

Are you presently in a position where you require documents for both business or personal purposes nearly every day.

There is a multitude of legal document templates accessible online, but finding forms you can rely on is not easy.

US Legal Forms offers thousands of template forms, such as the Nebraska Marketing and Promotion Agreement, designed to comply with state and federal regulations.

Once you find the correct form, click on Purchase now.

Choose the pricing plan you want, fill in the required information to create your account, and pay for the order using your PayPal or credit card.

  1. If you are already familiar with the US Legal Forms website and have an account, simply Log In.
  2. Then, you can download the Nebraska Marketing and Promotion Agreement template.
  3. If you do not have an account and wish to begin using US Legal Forms, follow these steps.
  4. Select the form you need and ensure it is for your correct city/state.
  5. Utilize the Review button to examine the form.
  6. Read the information to confirm that you have selected the correct template.
  7. If the form is not what you are looking for, use the Search field to find the form that suits your needs.

Form popularity

FAQ

Yes, you can acquire an EIN number online through the IRS website. The process is efficient and allows you to receive your number immediately upon completion. This is particularly beneficial when preparing your Nebraska Marketing and Promotion Agreement, as having an EIN streamlines your business operations.

In Nebraska, sales tax filing frequency depends on your sales volume. Most businesses file monthly, while smaller operations might file quarterly or annually. Keeping track of these deadlines is vital for your Nebraska Marketing and Promotion Agreement, as timely filings help maintain good standing with state authorities.

No, a sales tax ID and an EIN serve different purposes. An EIN is used for federal tax identification, while a sales tax ID is specifically for collecting and remitting sales tax. Understanding these distinctions is essential when navigating agreements like the Nebraska Marketing and Promotion Agreement, as you might need both IDs for compliance.

To acquire a Nebraska EIN number, visit the IRS website and complete the online form. Ensure that you have all necessary information at hand, such as your business structure and ownership details. This step is crucial when drafting your Nebraska Marketing and Promotion Agreement, as it establishes your business's legitimacy.

In Nebraska, you can get an EIN number by completing the online application on the IRS website. The application process is straightforward and typically takes only a few minutes. Once your EIN is issued, you can incorporate it into your Nebraska Marketing and Promotion Agreement to effectively manage your business financials.

To obtain an EIN, you typically need your legal name, address, and Social Security number. If your business is structured as a corporation or partnership, you will also need details about your company formation documents. The Nebraska Marketing and Promotion Agreement does not require a specific document set for EIN acquisition, but having your organizational structure clear can ease the process.

The purpose of a marketing agreement is to clarify the roles and responsibilities of all parties involved in a marketing campaign. It helps set clear expectations regarding outcomes and resource allocation. Implementing a Nebraska Marketing and Promotion Agreement brings structure to your marketing efforts, leading to better results for everyone involved.

A promote agreement is a specific type of contract that describes the promotion of products or services between businesses. It outlines the incentives or bonuses that parties may receive based on sales performance. A Nebraska Marketing and Promotion Agreement can help clarify expectations and compensation under a promote agreement.

Promotional contracting refers to the legal process of creating contracts for promotional activities between parties. These contracts help define the scope of promotions, timelines, and financial arrangements. Consider a Nebraska Marketing and Promotion Agreement to formalize your promotional endeavors and protect your interests.

A marketing agreement is a formal document detailing the collaboration between parties for promotional efforts. This agreement can cover marketing strategies, budget allocations, and timelines for campaign execution. By using a Nebraska Marketing and Promotion Agreement, you can ensure that all marketing efforts are organized and legally binding.

Trusted and secure by over 3 million people of the world’s leading companies

Nebraska Marketing and Promotion Agreement