Nebraska International Licensing Agreement

State:
Multi-State
Control #:
US-02665BG
Format:
Word; 
Rich Text
Instant download

Description

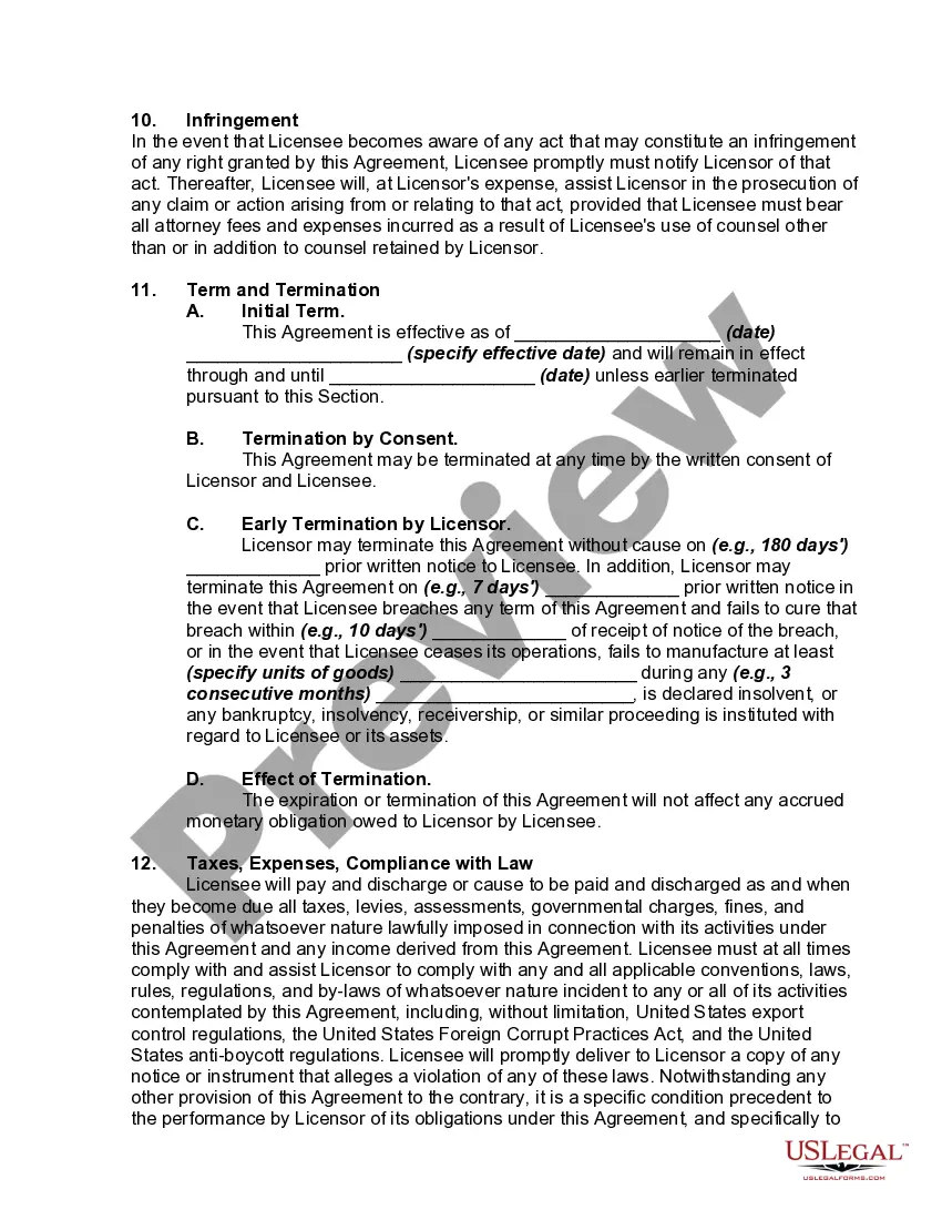
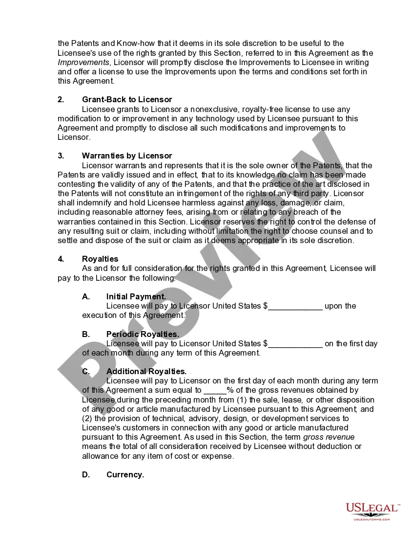
A licensing arrangement is created when one party, the licensor, which owns, or otherwise controls the right to specify the uses of a valuable legal right, grants to the other party, the licensee, the right or license to utilize the legal rights for the purposes specified in the contract between the parties. This form is an international licensing agreement that provides for the license of United States and foreign patents, and the related know-how, to a foreign party in order to permit the foreign party to manufacture and sell specified products in a defined foreign territory.

Free preview
  • Preview International Licensing Agreement
  • Preview International Licensing Agreement
  • Preview International Licensing Agreement
  • Preview International Licensing Agreement
  • Preview International Licensing Agreement
  • Preview International Licensing Agreement

How to fill out International Licensing Agreement?

US Legal Forms - one of the largest collections of legal documents in the United States - provides a selection of legal document templates that you can download or print.

By utilizing the website, you will acquire thousands of forms for commercial and personal use, organized by categories, states, or keywords.

You can access the latest versions of forms like the Nebraska International Licensing Agreement in moments.

Read the form description to ensure that you have chosen the accurate form.

If the form does not meet your requirements, utilize the Search field at the top of the page to find one that does.

  1. If you are a subscriber, sign in to obtain the Nebraska International Licensing Agreement from the US Legal Forms repository.
  2. The Download button will be visible on every form you browse.
  3. You can view all previously saved forms in the My documents section of your account.
  4. If you are using US Legal Forms for the first time, here are straightforward instructions to get you started.
  5. Confirm you have selected the correct form for your specific city/state.
  6. Click the Review button to examine the form's content.

Form popularity

FAQ

An IP license agreement is a formal arrangement that allows one entity to use another's intellectual property for specific purposes. Unlike outright ownership, this agreement specifies how the IP can be used, how long the agreement lasts, and any payments involved. For those exploring Nebraska International Licensing Agreements, it's essential to ensure that the terms align with local laws and provide adequate protection for both the licensor and licensee.

International licensing offers several advantages for businesses looking to expand. Firstly, it allows companies to enter new markets without the need for substantial investment in infrastructure. Additionally, a Nebraska International Licensing Agreement enables businesses to generate revenue from their intellectual property while leveraging the expertise and resources of local licensees, creating win-win situations for both parties involved.

An IP licensing agreement is a legal contract that grants one party the right to use another party's intellectual property, such as trademarks, copyrights, or patents. This agreement outlines the terms and conditions under which the licensee can use the IP, including duration and territory. In the context of a Nebraska International Licensing Agreement, it is crucial to address specific regulations and compliance standards within the state, ensuring that both parties understand their rights and responsibilities.

To register a foreign LLC in Nebraska, you need to submit the appropriate application through the Nebraska Secretary of State’s office. This process typically requires providing a copy of your LLC's formation documents and a Nebraska International Licensing Agreement for compliance. Ensure you also have a registered agent within Nebraska to facilitate communication with local authorities. Using services from uslegalforms can streamline this registration and make the process much easier.

The time it takes to obtain a Nebraska driver's license can vary based on several factors, including if you are a new driver or transferring from another state. Generally, if you meet all requirements, you can receive your license on the same day you apply. However, make sure your paperwork is in order, especially if it involves a Nebraska International Licensing Agreement for out-of-state documents. Working with uslegalforms can simplify your preparation for the application.

To get licensed to sell insurance in Nebraska, you must complete the required pre-license education and pass the state exam. Additionally, you may need to submit a Nebraska International Licensing Agreement if you hold licenses in other states. Be sure to check for any specific requirements regarding residency and application fees. Utilizing resources like uslegalforms can guide you through this licensing process effectively.

Yes, a non-resident can register a car in Nebraska. However, they must comply with the necessary regulations and requirements established by the state. This includes providing proof of ownership, addressing safety inspections, and, in some cases, demonstrating a Nebraska International Licensing Agreement to ensure compliance with local laws. It's essential to consult local authorities or resources to navigate this process smoothly.

Yes, in many counties in Nebraska, you can fill out a DBA application online. You would typically visit the county clerk's website to find the necessary forms and submit them electronically. Utilizing online filing options offers a convenient way to manage your business name registrations efficiently, which supports your ambitions in ventures like a Nebraska International Licensing Agreement.

Filing a DBA in Nebraska involves submitting the required forms to your local county clerk. Make sure you have the right name in mind and comply with Nebraska's naming conventions. Once approved, you can legally operate under your DBA, making it easier to enter agreements, including a Nebraska International Licensing Agreement.

Registering your business name in Nebraska generally involves filing your name with the Secretary of State, especially if you are establishing a corporation, limited liability company, or other formal structure. If you plan to use a DBA, you'll file that with your county clerk as mentioned earlier. Keeping your business name clear and compliant enables smoother operations when engaging in a Nebraska International Licensing Agreement.

Trusted and secure by over 3 million people of the world’s leading companies

Nebraska International Licensing Agreement