Nebraska Preincorporation Agreement between Incorporators and Promoters

State:
Multi-State
Control #:
US-01862BG
Format:
Word; 
Rich Text
Instant download

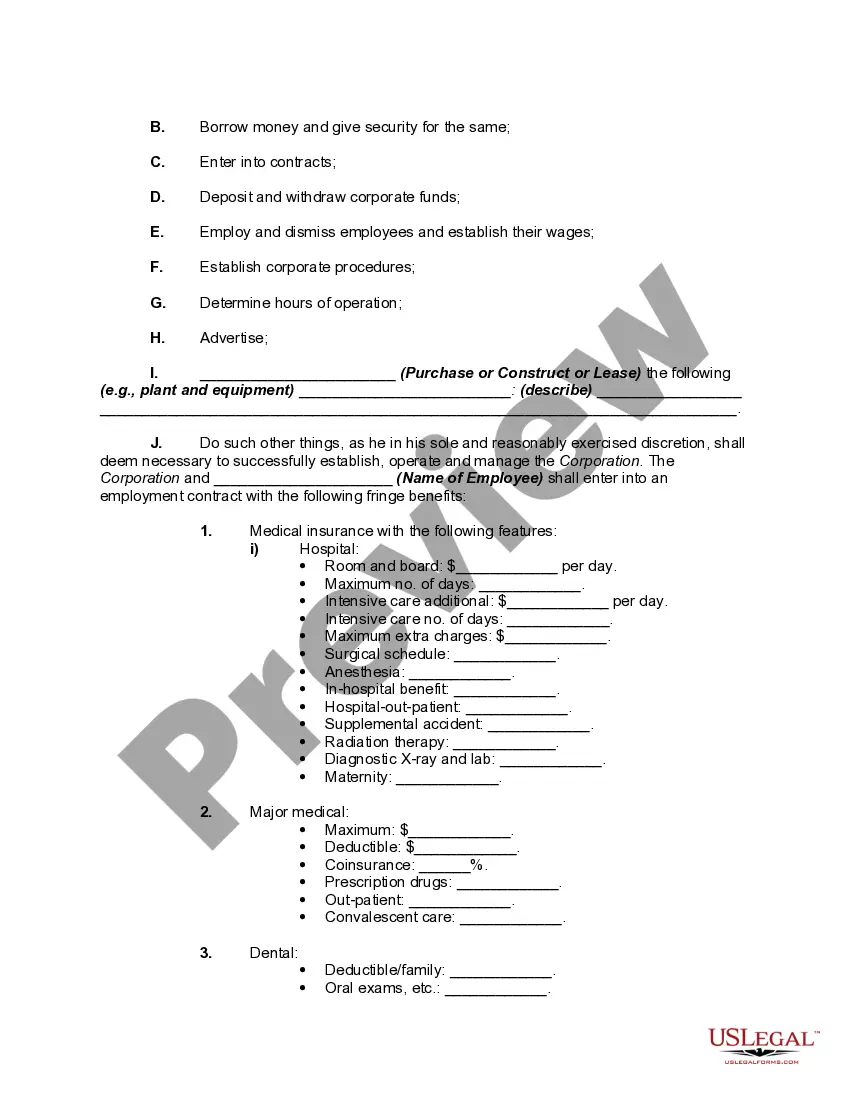
Description

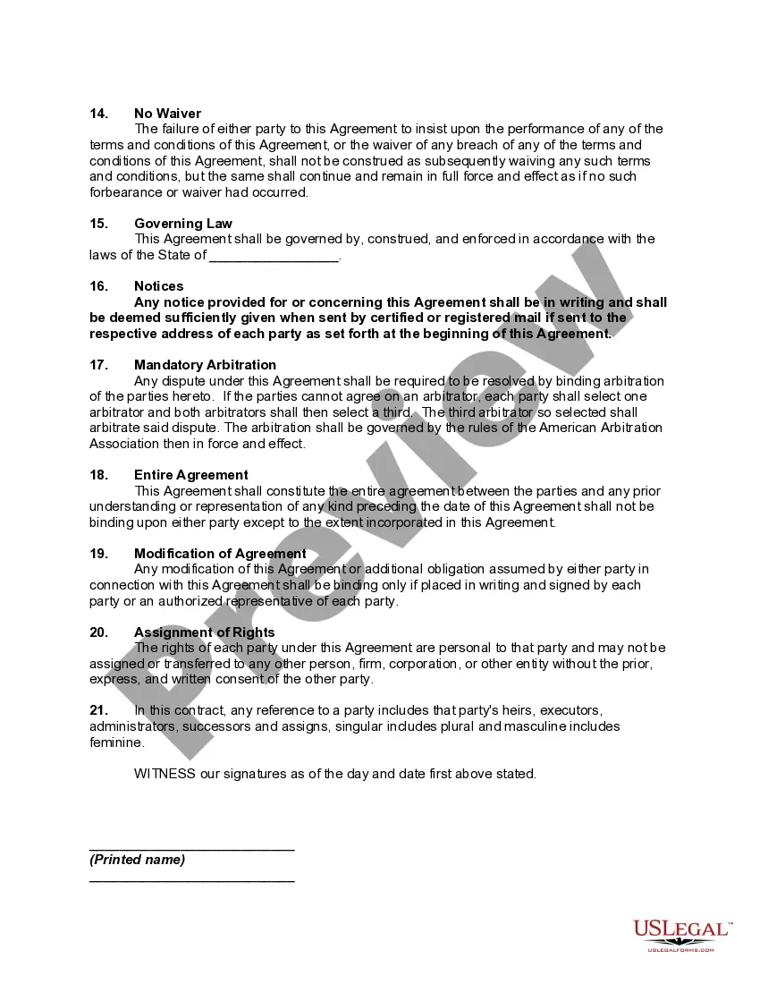
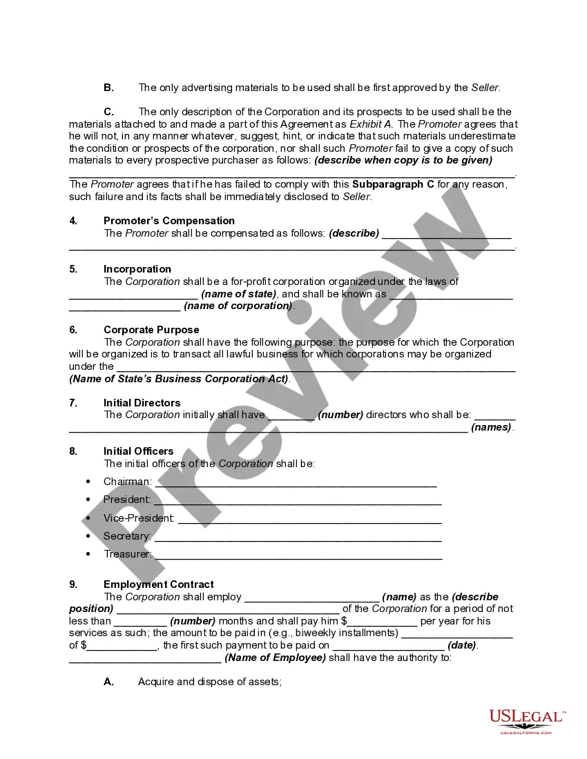
A promoter is a person who starts up a business, particularly a corporation, including the financing. The formation of a corporation starts with an idea. Preincorporation activities transform this idea into an actual corporation. The individual who carries on these preincorporation activities is called a promoter. Usually the promoter is the main shareholder or one of the management team and receives stock for his/her efforts in organization. Most states limit the amount of "promotional stock" since it is supported only by effort and not by assets or cash. If preincorporation contracts are executed by the promoter in his/her own name and there is no further action, the promoter is personally liable on them, and the corporation is not.


Under the Federal Securities Act of 1933, a pre-organization certificate or subscription is included in the definition of a security. Therefore, a contract to issue securities in the future is itself a contract for the sale of securities. In order to secure an exemption, all stock subscription agreements involving intrastate offerings should contain representations by the purchasers that they are bona fide residents of the state of which the issuer is a resident and that they are purchasing the securities for their own account and not with the view to reselling them to nonresidents. A stock transfer restriction running for a period of at least one year or for nine months after the last sale of the issue by the issuer is customarily included to insure that securities have not only been initially sold to residents, but have "come to rest" in the hands of residents.

Free preview
  • Preview Preincorporation Agreement between Incorporators and Promoters
  • Preview Preincorporation Agreement between Incorporators and Promoters
  • Preview Preincorporation Agreement between Incorporators and Promoters
  • Preview Preincorporation Agreement between Incorporators and Promoters
  • Preview Preincorporation Agreement between Incorporators and Promoters
  • Preview Preincorporation Agreement between Incorporators and Promoters
  • Preview Preincorporation Agreement between Incorporators and Promoters
  • Preview Preincorporation Agreement between Incorporators and Promoters

How to fill out Preincorporation Agreement Between Incorporators And Promoters?

It is feasible to spend several hours online attempting to locate the authentic document template that meets the federal and state requirements you need.

US Legal Forms offers thousands of authentic forms that can be reviewed by professionals.

You can effortlessly download or create the Nebraska Preincorporation Agreement between Incorporators and Promoters from my services.

If available, utilize the Preview option to review the document template as well.

  1. If you already possess a US Legal Forms account, you can Log In and click the Acquire option.
  2. Following that, you can complete, edit, create, or sign the Nebraska Preincorporation Agreement between Incorporators and Promoters.
  3. Each legitimate document template you acquire is yours permanently.
  4. To retrieve another copy of a purchased form, visit the My documents tab and click the corresponding option.
  5. If you are visiting the US Legal Forms site for the first time, follow the simple instructions provided below.
  6. First, ensure that you have selected the correct document template for your chosen state/city.
  7. Examine the form description to confirm you have picked the right form.

Form popularity

FAQ

The liabilities of a promoter include personal responsibility for any contracts signed before the corporation is formed. If the corporation does not exist legally, the promoter cannot shield personal assets from claims related to those agreements. It is wise for all promoters to be aware of these risks when entering into a Nebraska Preincorporation Agreement between Incorporators and Promoters.

This statement is false. A promoter is generally personally liable for pre-incorporation contracts made on behalf of a corporation that has yet to be established. Understanding this liability is essential, especially when considering a Nebraska Preincorporation Agreement between Incorporators and Promoters, as it impacts the financial risk involved.

Yes, in most cases, a promoter is liable under a Nebraska Preincorporation Agreement between Incorporators and Promoters. Promoters often make contracts or agreements for the corporation before it is formed, and they assume personal liability for these obligations. This means that if the corporation does not fulfill the contract, the promoter may be held financially responsible.

In the context of the Nebraska Preincorporation Agreement between Incorporators and Promoters, both incorporators and promoters may be personally liable for preliminary contracts entered into on behalf of the future organization. This liability usually arises because the corporation does not exist yet and cannot legally enter contracts. Therefore, it is crucial for individuals involved to understand their responsibilities before engaging in any agreements.

A letter of good standing and a certificate of good standing serve similar purposes, but there may be distinctions. A letter is often a more informal document, while a certificate is a formal verification from the state. Both indicate that your business is compliant with state regulations. To ensure all foundational documents, including agreements like the Nebraska Preincorporation Agreement between Incorporators and Promoters, are in order can help clarify any confusion.

To obtain a Certificate of Good Standing across the USA, you typically need to request it from the Secretary of State in the state where your business is registered. Requirements may vary by state, so it’s essential to check their specific guidelines. Completed filings and compliance with state laws will usually facilitate a smoother application process. A thorough Nebraska Preincorporation Agreement between Incorporators and Promoters can help maintain your good standing from the outset.

Whether you need a Certificate of Good Standing in Nebraska depends on your business activities. If you plan to take out loans, open bank accounts, or enter into contracts, this document may be essential. It confirms your compliance with state regulations, enhancing your business's transparency. Consider a Nebraska Preincorporation Agreement between Incorporators and Promoters to set clear expectations from the start.

Yes, a Certificate of Good Standing is a legitimate document issued by the state. It verifies that your LLC or corporation is properly registered and compliant with state regulations, including tax obligations. Having this certificate can lend credibility to your business, particularly when entering contracts or seeking financing. Consider drafting a Nebraska Preincorporation Agreement between Incorporators and Promoters to establish foundational trust among stakeholders.

Transferring LLC ownership in Nebraska involves several steps. You need to consult your operating agreement to review the process specified for transferring ownership. Generally, you should document the transfer in writing, and you may need to file an amendment with the Nebraska Secretary of State. Using a Nebraska Preincorporation Agreement between Incorporators and Promoters can help ensure that all parties are clear about their rights and responsibilities.

Yes, a promoter can be held liable for their torts while acting on behalf of a corporation that is not yet formed. This liability arises under tort law if the promoter engages in wrongful acts during the application of the Nebraska Preincorporation Agreement between Incorporators and Promoters. Understanding this risk is critical for promoters as it can impact their personal finances. Consulting with legal experts can help clarify these responsibilities and limitations.

Trusted and secure by over 3 million people of the world’s leading companies

Nebraska Preincorporation Agreement between Incorporators and Promoters