Are you presently in a placement in which you need to have files for possibly organization or specific uses nearly every day? There are a lot of authorized file web templates available on the Internet, but discovering types you can rely isn`t easy. US Legal Forms delivers a huge number of kind web templates, just like the North Carolina Operating Agreement for Member Managed Limited Liability Company - Long Form, that are published to meet state and federal demands.
If you are already informed about US Legal Forms site and get a merchant account, basically log in. Next, you are able to down load the North Carolina Operating Agreement for Member Managed Limited Liability Company - Long Form template.
Unless you have an account and wish to start using US Legal Forms, follow these steps:
Get each of the file web templates you might have purchased in the My Forms food selection. You can aquire a further version of North Carolina Operating Agreement for Member Managed Limited Liability Company - Long Form at any time, if required. Just click the required kind to down load or printing the file template.
Use US Legal Forms, the most extensive collection of authorized kinds, to save time as well as prevent errors. The services delivers professionally manufactured authorized file web templates which you can use for an array of uses. Make a merchant account on US Legal Forms and commence generating your daily life a little easier.
A partnership agreement and an operating agreement are very similar in what they define: ownership and investment stakes, division of profits and losses, and so on. However, a partnership agreement is used in partnerships, while operating agreements are used in LLCs.
Common pitfalls of a poorly drafted Operating Agreement include failing to: (i) specify what authority managers or members have; (ii) carve out key decisions that require a higher approval threshold (e.g., dissolution, sale of all or substantially all of the assets of the LLC, etc.); (iii) address how deadlocks in the ...
In Texas, an operating agreement isn't required to form a limited liability company (LLC). However, business attorneys, accountants and advisors agree that no LLC should form without one. An LLC operating agreement is a legally binding document that defines critical aspects of the LLC.
What should a multi-member operating agreement include? Affirms that the LLC has been formed by state laws and will conduct lawful business. Notes where key business information (such as member info and registered agent) can be found. Lists the events that can end the business (and how members can continue the LLC)
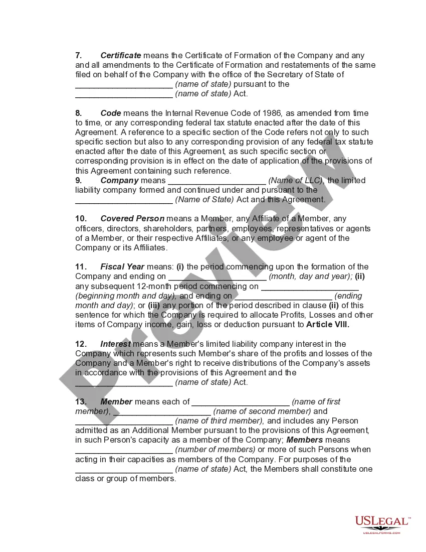
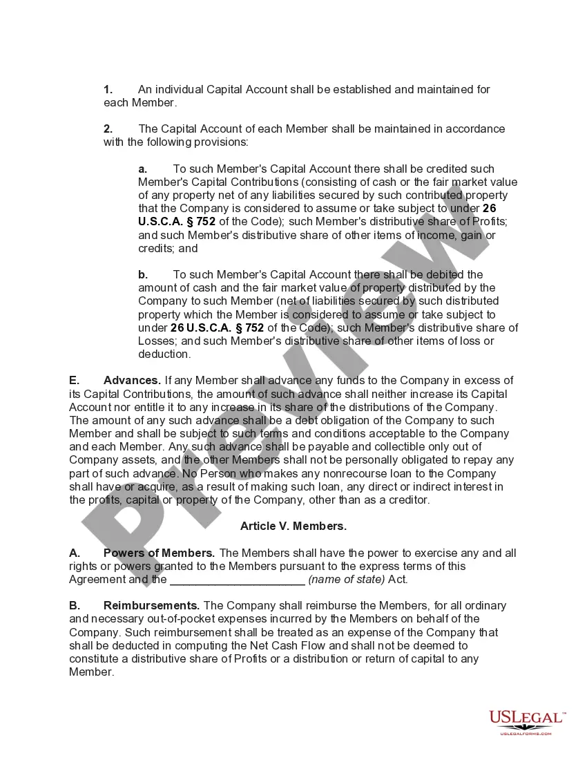
The LLC operating agreement, also known as an LLC agreement, establishes the rules and structure for the LLC and can help address any issues that arise during business operations. Most states have default provisions that address many of these difficulties, but the operating agreement can override these presumptions.
North Carolina General Statutes Chapter 57D, § 57D-2-30: Though an Operating Agreement is not required to form an LLC in North Carolina, it is highly recommended to have one. This provides an opportunity to establish the internal guidelines, roles, and rules of the LLC.
An LLC operating agreement is a document that customizes the terms of a limited liability company ing to the specific needs of its members. It also outlines the financial and functional decision-making in a structured manner. It is similar to articles of incorporation that govern the operations of a corporation.
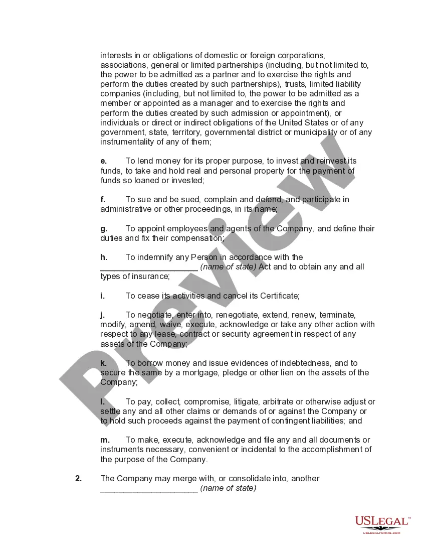
An operating agreement is a key document used by LLCs because it outlines the business' financial and functional decisions including rules, regulations and provisions. The purpose of the document is to govern the internal operations of the business in a way that suits the specific needs of the business owners.










