North Carolina Inter Vivos Grantor Charitable Lead Annuity Trust

State:
Multi-State
Control #:
US-03286BG
Format:
Word; 
Rich Text
Instant download

Description

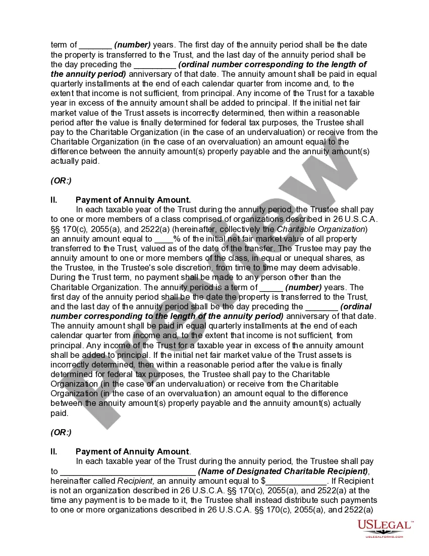
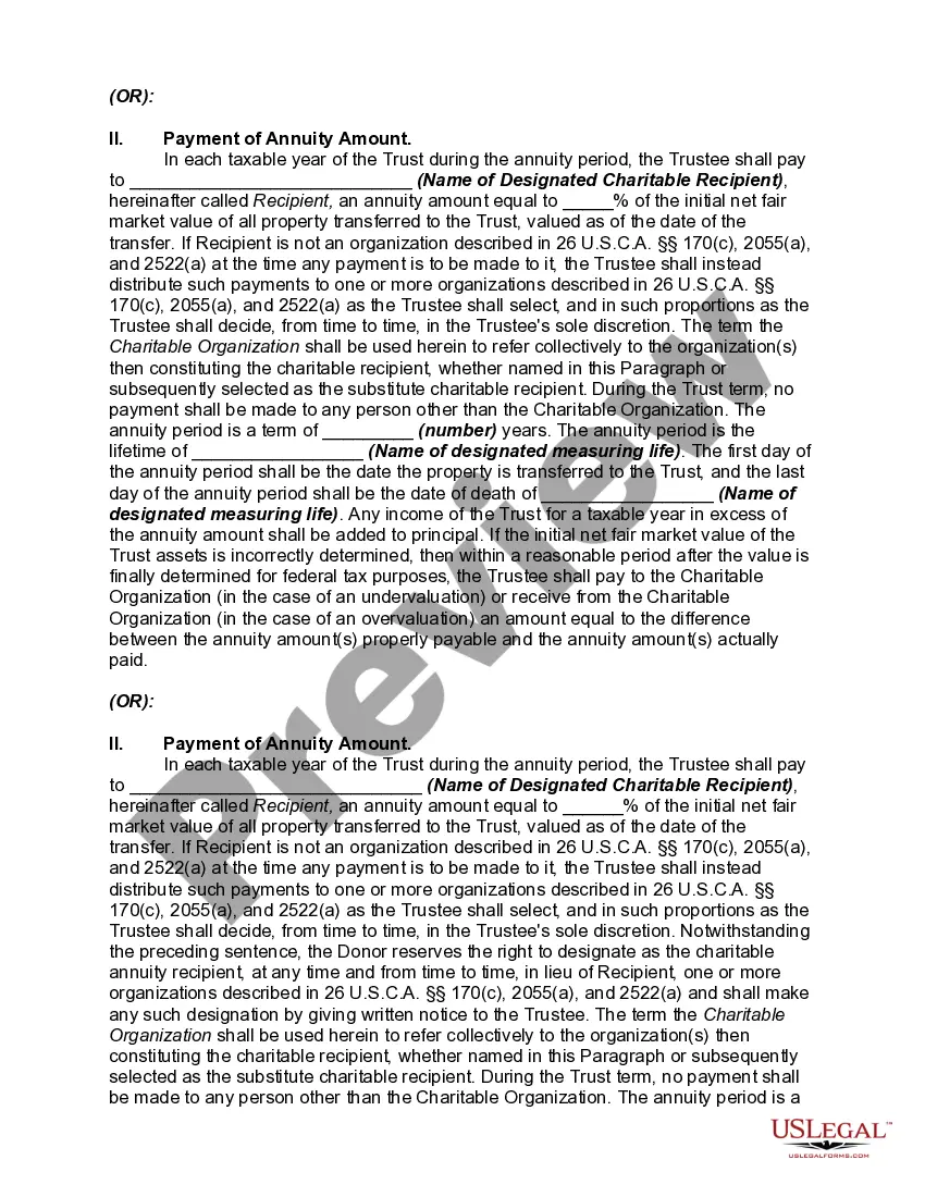
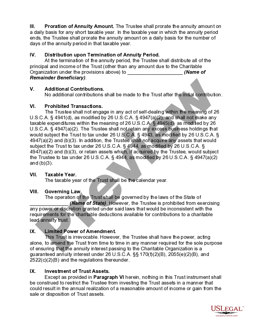
A Grantor Charitable Lead Annuity Trust (CLAT) is an irrevocable split-interest trust that provides for a specified amount to be paid to one or more charitable beneficiaries during the term of the trust. The principal remaining in the trust at the end of the term is paid over to, or held in a continuing trust for, a non-charitable beneficiary or beneficiaries identified in the trust. If the terms of a CLAT created during the donor's life satisfy the applicable statutory and regulatory requirements, a gift of the charitable lead annuity interest will qualify for the gift tax charitable deduction under § 2522(c)(2)(B) and/or the estate tax charitable deduction under § 2055(e)(2)(B). In certain cases, the gift of the annuity interest may also qualify for the income tax charitable deduction under § 170(a). The value of the remainder interest is a taxable gift by the donor at the time of the donor's contribution to the trust.


This form is a generic example that may be referred to when preparing such a form for your particular state. It is for illustrative purposes only. Local laws should be consulted to determine any specific requirements for such a form in a particular jurisdiction.

Free preview
  • Preview Inter Vivos Grantor Charitable Lead Annuity Trust
  • Preview Inter Vivos Grantor Charitable Lead Annuity Trust
  • Preview Inter Vivos Grantor Charitable Lead Annuity Trust
  • Preview Inter Vivos Grantor Charitable Lead Annuity Trust
  • Preview Inter Vivos Grantor Charitable Lead Annuity Trust
  • Preview Inter Vivos Grantor Charitable Lead Annuity Trust

Get your form ready online

Our built-in tools help you complete, sign, share, and store your documents in one place.

Built-in online Word editor

Make edits, fill in missing information, and update formatting in US Legal Forms—just like you would in MS Word.

Export easily

Download a copy, print it, send it by email, or mail it via USPS—whatever works best for your next step.

E-sign your document

Sign and collect signatures with our SignNow integration. Send to multiple recipients, set reminders, and more. Go Premium to unlock E-Sign.

Notarize online 24/7

If this form requires notarization, complete it online through a secure video call—no need to meet a notary in person or wait for an appointment.

Store your document securely

We protect your documents and personal data by following strict security and privacy standards.

Form selector

Make edits, fill in missing information, and update formatting in US Legal Forms—just like you would in MS Word.

Form selector

Download a copy, print it, send it by email, or mail it via USPS—whatever works best for your next step.

Form selector

Sign and collect signatures with our SignNow integration. Send to multiple recipients, set reminders, and more. Go Premium to unlock E-Sign.

Form selector

If this form requires notarization, complete it online through a secure video call—no need to meet a notary in person or wait for an appointment.

Form selector

We protect your documents and personal data by following strict security and privacy standards.

Looking for another form?

This field is required
Ohio
Select state

How to fill out Inter Vivos Grantor Charitable Lead Annuity Trust?

Selecting the ideal legal document template can be challenging. Obviously, there are numerous templates accessible online, but how do you locate the legal form you require? Rely on the US Legal Forms website.

The service offers a vast array of templates, such as the North Carolina Inter Vivos Grantor Charitable Lead Annuity Trust, which you can utilize for both business and personal requirements. All forms are verified by experts and meet federal and state standards.

If you are currently registered, Log In to your account and click on the Acquire button to locate the North Carolina Inter Vivos Grantor Charitable Lead Annuity Trust. Use your account to access the legal forms you have previously obtained. Visit the My documents section of your account to obtain another copy of the document you require.

Complete, modify, print, and sign the acquired North Carolina Inter Vivos Grantor Charitable Lead Annuity Trust. US Legal Forms is the largest repository of legal forms where you can find various document templates. Use the service to download properly crafted documents that meet state regulations.

  1. If you are a new user of US Legal Forms, here are simple steps for you to follow.
  2. First, ensure you have chosen the correct form for your locality. You can review the form using the Review option and examine the form description to confirm it suits your needs.
  3. If the form does not meet your requirements, utilize the Search field to find the appropriate form.
  4. Once you are certain that the form is suitable, click the Buy now button to acquire the form.
  5. Choose the pricing plan you desire and enter the required information. Create your account and finalize your order using your PayPal account or credit card.
  6. Select the file format and download the legal document template to your device.

Form popularity

FAQ

You can write your own trust in North Carolina, including different types, such as a North Carolina Inter Vivos Grantor Charitable Lead Annuity Trust. However, it is essential to ensure that your trust complies with local laws to avoid complications. Using resources from US Legal Forms can provide templates and guidance, making the process smoother and more reliable.

Yes, a grantor trust can make charitable contributions, which can lead to valuable tax deductions for the grantor. In a North Carolina Inter Vivos Grantor Charitable Lead Annuity Trust, these contributions benefit organizations while offering financial advantages to the grantor. This mechanism enables you to leave a lasting impact through philanthropy.

Absolutely, you can create your own living trust in North Carolina, including a North Carolina Inter Vivos Grantor Charitable Lead Annuity Trust. However, it's advisable to follow legal guidelines to ensure it's valid and meets your goals. Platforms like US Legal Forms can assist you in drafting a trust that I aligns with your visions for estate management and charitable giving.

Yes, a charitable lead trust must file an annual tax return to report its income and distributions. The North Carolina Inter Vivos Grantor Charitable Lead Annuity Trust allows you to manage tax obligations effectively while making charitable contributions. Engaging with a tax professional can further clarify any specific filing requirements for your situation.

In North Carolina, a trust does not necessarily need to be notarized to be valid, but it is highly recommended to have a notarized signature. This can help authenticate the trust document and provide extra security against disputes. Using a trusted service like US Legal Forms can simplify the process of creating and notarizing your North Carolina Inter Vivos Grantor Charitable Lead Annuity Trust.

A grantor trust is a trust where the creator retains control over the assets and typically reports the income on their personal tax return. In a North Carolina Inter Vivos Grantor Charitable Lead Annuity Trust, the grantor is in a position to take advantage of tax deductions related to the charitable component. Understanding the nuances of grantor trusts can lead to better estate planning and tax efficiency.

A charitable trust is designed specifically to benefit charitable organizations or causes. It allows the grantor to direct a portion of their assets, usually through a North Carolina Inter Vivos Grantor Charitable Lead Annuity Trust, to a charity while receiving tax benefits. By establishing such a trust, you balance your philanthropic goals with potential financial benefits during your lifetime.

A North Carolina Inter Vivos Grantor Charitable Lead Annuity Trust (CLAT) provides fixed payments to a charity for a specified term, while a Charitable Remainder Unitrust (CRUT) allows for variable payments based on investment returns. Essentially, a CLAT ensures a steady income for charitable causes, which can be beneficial for long-term planning. Knowing these differences can help you decide which charitable strategy fits your long-term goals better.

While a North Carolina Inter Vivos Grantor Charitable Lead Annuity Trust offers benefits like avoiding probate, there are some disadvantages to consider. Setting up the trust requires initial costs, including legal fees and potential taxes on the property transferred. Additionally, you may lose some control over the assets once they are placed in trust. Evaluating these factors can help you decide if this trust aligns with your financial goals.

To create your North Carolina Inter Vivos Grantor Charitable Lead Annuity Trust, start by gathering your financial information and assets. Then, draft an operating agreement that details your wishes and the trust's structure. It's advisable to consult a legal expert for compliance with state regulations. The US Legal Forms platform can help you access the resources you need, making the process more straightforward.

Trusted and secure by over 3 million people of the world’s leading companies

North Carolina Inter Vivos Grantor Charitable Lead Annuity Trust