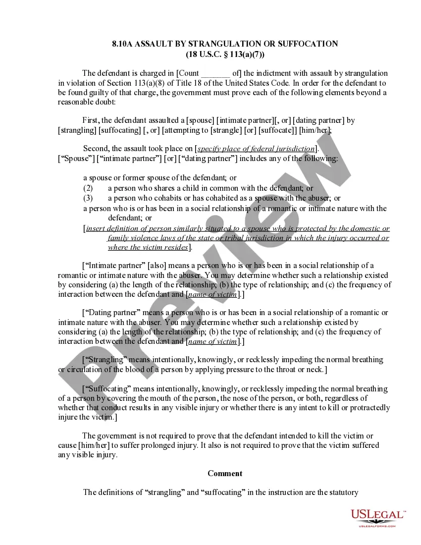
Michigan Affidavit of Heirship, Next of Kin or Descent - Heirship Affidavit Made By Someone Well-Acquainted with Decedent - Decedent having Spouse and Children at Death

State:
Multi-State
Control #:
US-02043BG
Format:
Word; 
Rich Text
Instant download

Description

An heirship affidavit is used to state the heirs of a deceased person. It is commonly used to establish ownership of personal and real property. It may be recorded in official land records, if necessary. Example of use: Person A dies without a will, leaves a son and no estate is opened. When the son sells the land, the son obtains an heirship affidavit to record with the deed. The person executing the affidavit should normally not be an heir of the deceased, or other person interested in the estate. The affidavit of heirship must also be signed by a notary public.

How to fill out Affidavit Of Heirship, Next Of Kin Or Descent - Heirship Affidavit Made By Someone Well-Acquainted With Decedent - Decedent Having Spouse And Children At Death?

US Legal Forms - one of the largest collections of legal documents in the United States - offers a variety of legal form templates that you can download or print.

By utilizing the website, you can access thousands of forms for business and personal use, categorized by type, state, or keywords.

You can quickly find the latest versions of forms such as the Michigan Affidavit of Heirship, Next of Kin or Descent - Heirship Affidavit Created By Someone Familiar With the Deceased - Deceased with Spouse and Children at Time of Death.

Review the form details to confirm that you have selected the correct document.

If the form does not meet your needs, use the Search field at the top of the screen to find one that does.

  1. If you possess a subscription, Log In to download the Michigan Affidavit of Heirship, Next of Kin or Descent - Heirship Affidavit Created By Someone Familiar With the Deceased - Deceased with Spouse and Children at Time of Death from the US Legal Forms library.
  2. The Download button will appear on every form you view.
  3. You can access all previously downloaded forms in the My documents section of your account.
  4. If you want to use US Legal Forms for the first time, here are simple instructions to help you get started.
  5. Ensure you have chosen the correct form for your city/state.
  6. Click the Preview button to examine the content of the form.

Form popularity

FAQ

Not having a Michigan Affidavit of Heirship, Next of Kin or Descent - Heirship Affidavit Made By Someone Well-Acquainted with Decedent - Decedent having Spouse and Children at Death can lead to complications in property transfer and inheritance matters. Heirs may face difficulties proving their legal right to inherit, which can create disputes among family members. Utilizing services like USLegalForms can help you prepare the affidavit, ensuring a clearer path for your heirs.

An affidavit of heirship is typically filed by an heir, usually someone who is well acquainted with the decedent. In the context of a Michigan Affidavit of Heirship, Next of Kin or Descent - Heirship Affidavit Made By Someone Well-Acquainted with Decedent - Decedent having Spouse and Children at Death, this may include a spouse, child, or another close relative. If you’re unsure about the filing process, USLegalForms offers comprehensive resources to assist you.

In Michigan, there is no strict timeframe for transferring property after death, but it is advisable to do so as soon as possible. Delaying the transfer can complicate things, especially if the heirs want to manage the estate or sell the property. Filing a Michigan Affidavit of Heirship, Next of Kin or Descent - Heirship Affidavit Made By Someone Well-Acquainted with Decedent - Decedent having Spouse and Children at Death can facilitate a smoother property transition.

Yes, you can file your own Michigan Affidavit of Heirship, Next of Kin or Descent - Heirship Affidavit Made By Someone Well-Acquainted with Decedent - Decedent having Spouse and Children at Death. However, it is important to be well-informed about the process to ensure that all necessary information is included. If you feel unsure, utilizing a platform like USLegalForms can provide you with the necessary tools and guidance to make the process simpler.

An affidavit of support can be completed by any individual who is willing to accept responsibility for supporting another person financially, typically in immigration cases. This includes family members, such as parents or spouses, who can demonstrate their capacity to provide financial support. When addressing these needs, consider the Michigan Affidavit of Heirship, Next of Kin or Descent - Heirship Affidavit Made By Someone Well-Acquainted with Decedent - Decedent having Spouse and Children at Death to maintain clarity and legality.

Filling out an affidavit of next of kin requires you to detail your relationship with the deceased accurately. This document typically includes information such as your name, contact details, and an explanation of how you are related to the decedent. Utilizing the Michigan Affidavit of Heirship, Next of Kin or Descent - Heirship Affidavit Made By Someone Well-Acquainted with Decedent - Decedent having Spouse and Children at Death can help ensure you cover all necessary details in a proper format.

To transfer heir property into your name, you typically need to file an affidavit of heirship along with required documents to prove your relationship to the decedent. This process may vary depending on your local laws, but often involves petitioning the court for recognition of the heirship. With the assistance of the Michigan Affidavit of Heirship, Next of Kin or Descent - Heirship Affidavit Made By Someone Well-Acquainted with Decedent - Decedent having Spouse and Children at Death, this task can be simplified and made more efficient.

Filling out a proof of heirship affidavit involves accurately stating the relationships of the heirs to the decedent, confirming their identities, and signing the document in the presence of a notary. It's vital to have all necessary information, including birth dates and dates of marriage, to support claims of relationship. To streamline this process, consider using the Michigan Affidavit of Heirship, Next of Kin or Descent - Heirship Affidavit Made By Someone Well-Acquainted with Decedent - Decedent having Spouse and Children at Death.

Typically, an affidavit is filled out by an individual who possesses a thorough understanding of the relevant facts—often a close friend or family member of the decedent. This person's insight into the decedent's life can significantly contribute to the establishment of lawful heirs. Using the Michigan Affidavit of Heirship, Next of Kin or Descent - Heirship Affidavit Made By Someone Well-Acquainted with Decedent - Decedent having Spouse and Children at Death ensures that the document carries the needed credibility.

An affidavit of heirship in Michigan serves as a legal document that outlines the heirs of a deceased individual. It provides a declaration regarding the decedent's family members, such as a spouse and children, helping to establish rights to the decedent's property. This process is crucial for settling estate matters and can be effectively managed through the Michigan Affidavit of Heirship, Next of Kin or Descent - Heirship Affidavit Made By Someone Well-Acquainted with Decedent - Decedent having Spouse and Children at Death.

Explore more forms

form-preview
Montana Sample Asset Purchase Agreement between Orth-McNeil Pharmaceutical, Inc. and Cygnus, Inc. regarding the sale and purchase of assets of company - Sample

Montana Sample Asset Purchase Agreement between Orth-McNeil Pharmaceutical, Inc. and Cygnus, Inc. regarding the sale and purchase of assets of company - Sample

View this form
form-preview
Nebraska Sample Asset Purchase Agreement between Orth-McNeil Pharmaceutical, Inc. and Cygnus, Inc. regarding the sale and purchase of assets of company - Sample

Nebraska Sample Asset Purchase Agreement between Orth-McNeil Pharmaceutical, Inc. and Cygnus, Inc. regarding the sale and purchase of assets of company - Sample

View this form
form-preview
Nevada Sample Asset Purchase Agreement between Orth-McNeil Pharmaceutical, Inc. and Cygnus, Inc. regarding the sale and purchase of assets of company - Sample

Nevada Sample Asset Purchase Agreement between Orth-McNeil Pharmaceutical, Inc. and Cygnus, Inc. regarding the sale and purchase of assets of company - Sample

View this form
form-preview
New Hampshire Sample Asset Purchase Agreement between Orth-McNeil Pharmaceutical, Inc. and Cygnus, Inc. regarding the sale and purchase of assets of company - Sample

New Hampshire Sample Asset Purchase Agreement between Orth-McNeil Pharmaceutical, Inc. and Cygnus, Inc. regarding the sale and purchase of assets of company - Sample

View this form
form-preview
New Jersey Sample Asset Purchase Agreement between Orth-McNeil Pharmaceutical, Inc. and Cygnus, Inc. regarding the sale and purchase of assets of company - Sample

New Jersey Sample Asset Purchase Agreement between Orth-McNeil Pharmaceutical, Inc. and Cygnus, Inc. regarding the sale and purchase of assets of company - Sample

View this form

Trusted and secure by over 3 million people of the world’s leading companies

Michigan Affidavit of Heirship, Next of Kin or Descent - Heirship Affidavit Made By Someone Well-Acquainted with Decedent - Decedent having Spouse and Children at Death