Maryland Homework Agreement for Older Children

State:
Multi-State
Control #:
US-1171BG
Format:
Word; 
Rich Text
Instant download

Description

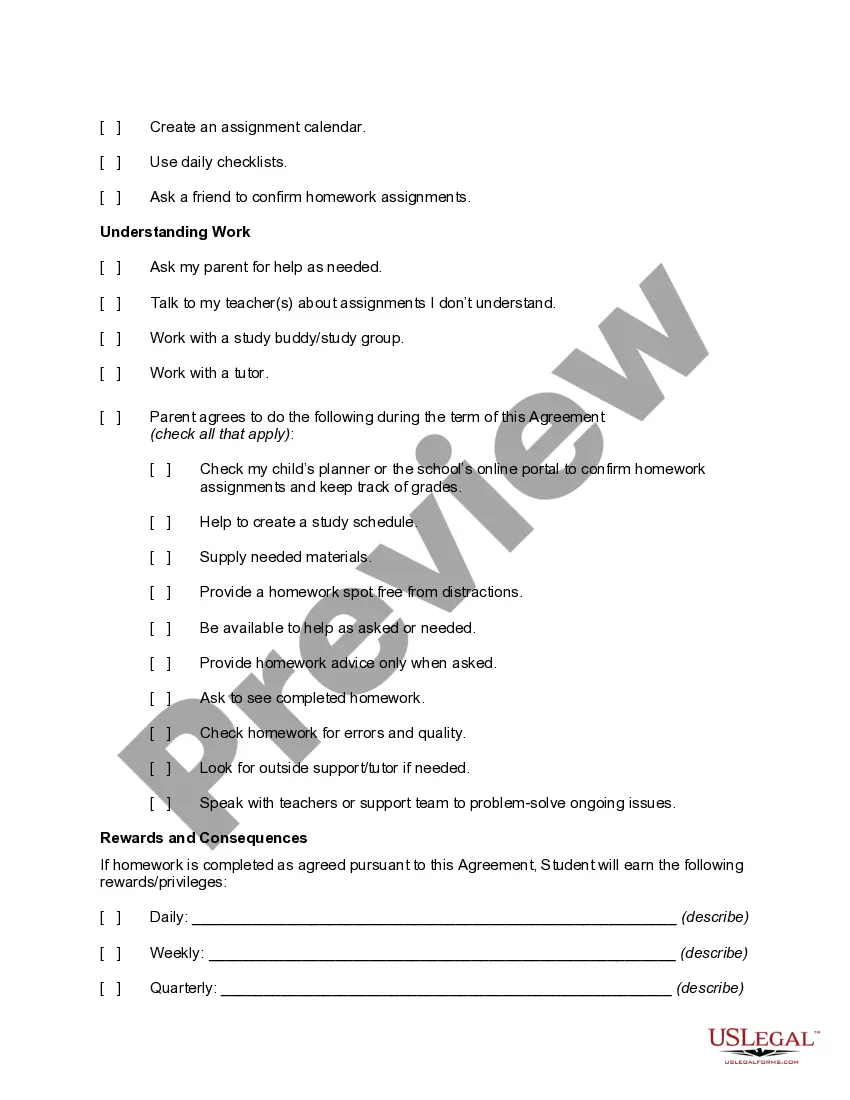
A homework contract is an agreement that outlines what you and your child will do to make sure his/her homework gets completed on time and well. It addresses the issues that are specific to your child's homework struggles. Your child's homework contract may also outline rewards and consequences for following or failing to follow the contract.
Free preview
  • Preview Homework Agreement for Older Children
  • Preview Homework Agreement for Older Children
  • Preview Homework Agreement for Older Children

How to fill out Homework Agreement For Older Children?

Selecting the correct authorized document template can be a challenge. Of course, there are numerous templates available online, but how do you find the legal form you need? Utilize the US Legal Forms website.

The service offers thousands of templates, including the Maryland Homework Agreement for Older Children, which can be used for business and personal purposes. All forms are reviewed by professionals and comply with federal and state requirements.

If you are already a member, sign in to your account and click the Download button to access the Maryland Homework Agreement for Older Children. Use your account to review the legal forms you have previously purchased. Visit the My documents tab in your account to download another copy of the document you need.

Choose the file format and download the legal document template to your device. Complete, modify, print, and sign the obtained Maryland Homework Agreement for Older Children. US Legal Forms is the largest database of legal forms where you can find various document templates. Use the service to obtain properly crafted documents that adhere to state regulations.

  1. First, ensure you have chosen the correct form for your area/region.
  2. You can view the form using the Review button and read the form details to confirm it suits your needs.
  3. If the form does not meet your requirements, use the Search field to find the appropriate form.
  4. Once you are confident that the form is correct, click on the Buy now button to get the form.
  5. Select the pricing plan you prefer and fill in the necessary information.
  6. Create your account and complete the payment using your PayPal account or credit card.

Form popularity

FAQ

Another successful way of handling students who don't do their work is to give them school work that is given to other students. For example, you can give out extra credit questions or assignments that are completed by other students if they do not complete their work.

Top 10 Homework TipsKnow the teachers and what they're looking for.Set up a homework-friendly area.Schedule a regular study time.Help them make a plan.Keep distractions to a minimum.Make sure kids do their own work.Be a motivator and monitor.Set a good example.More items...

How to Create Behavior ContractsStep 1, Customize the Contract. First, make a plan for change.Step 2, Set Up A Meeting. Next, hold a meeting with the involved parties.Step 3, Communicate the Consequences.Step 4, Schedule a Follow-Up Meeting.Step 5, Be Consistent in the Classroom.Step 6, Be Patient and Trust the Plan.

Here are seven things you can do to reinforce good homework habits:Always check homework.Provide prompt feedback.Praise students for both performance and effort.Use a points system with incentives.Allow make-up work with point deductions.Give students a visual to manage missed assignments.Offer help when needed.

Provide motivation Show encouragement and appreciation of your child's hard work when he or she has completed his or her homework. Something as small as a high five or words of praise can boost your child's motivation. You can also offer small rewards, like a trip to the store or a special treat.

Study SkillsPlan for longer study time.Find a quiet space that is used for studying only.Develop a regular routine.Take frequent breaks.Keep up with work and do not wait until the last minute to study.Allow extra time for writing assignments to includes editing & rewriting.Use tutors when necessary.More items...

What can I do when a student refuses to work in class?Meet With The Student.Address Behavior Privately.Phone Home.Build A Relationship With The Student.Ask Other Teachers.Stop Doing The Things That Don't Work.Give The Student A Meaningful Role In The Class.Positively Reinforce The Student.More items...?

Here are seven things you can do to reinforce good homework habits:Always check homework.Provide prompt feedback.Praise students for both performance and effort.Use a points system with incentives.Allow make-up work with point deductions.Give students a visual to manage missed assignments.Offer help when needed.

Whatever the condition and situation of the student may be, follow these magic tips for bringing out the best from the weak students:Keep and maintain eye contact.Make use of manipulatives.Be patient.Be understanding.Update the parents with the latest information.More items...?

Simple Ways to Encourage LearningLet your child know you believe in him or her. Tell your child often that you believe in him or her.Talk, sing, and read with your child.Involve your extended family.Limit your child's TV watching.Have a positive attitude toward school and learning.Make sure your child does homework.

Trusted and secure by over 3 million people of the world’s leading companies

Maryland Homework Agreement for Older Children