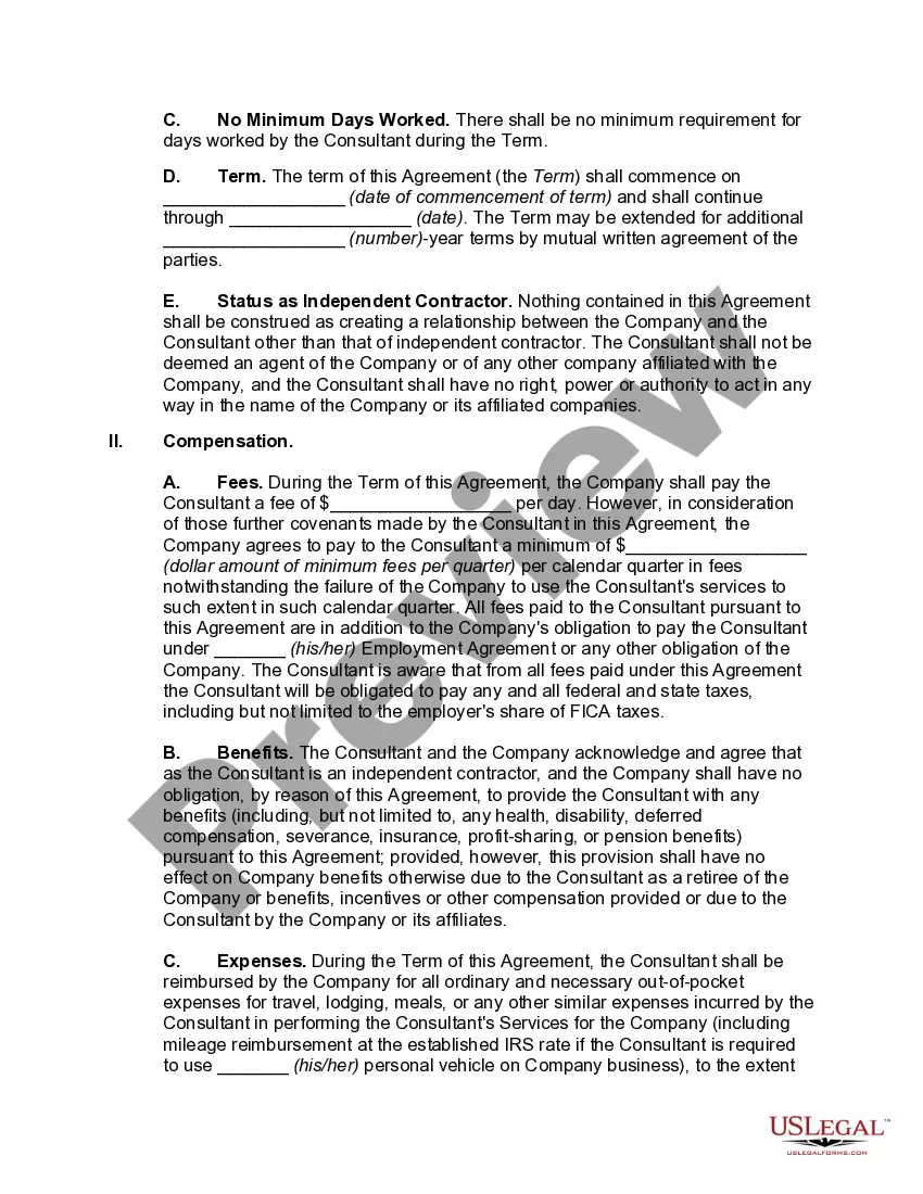
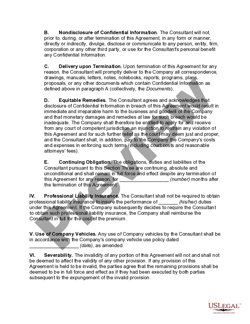
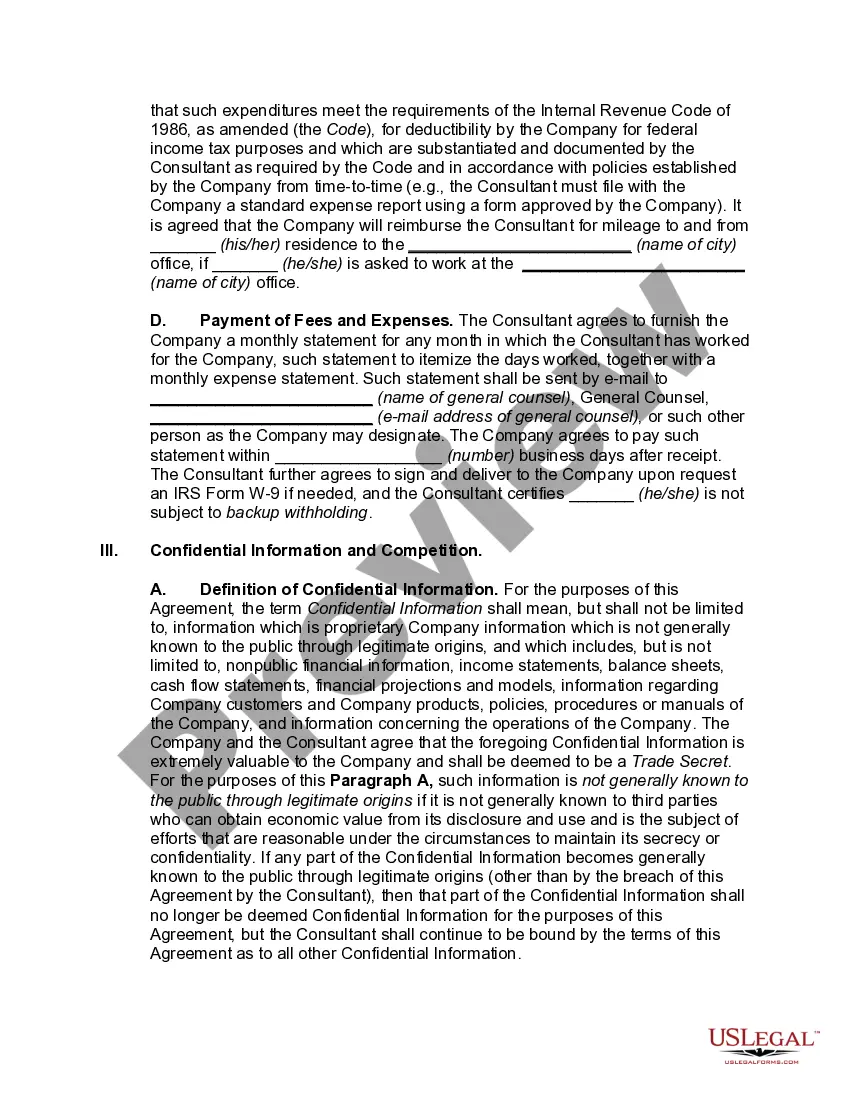
Massachusetts Consultant Agreement for Services Relating to Finances and Financial Reporting of Company with Confidentiality Provisions

State:
Multi-State
Control #:
US-1213BG
Format:
Word; 
Rich Text
Instant download

Description

Some companies offer buyouts to workers they intend to rehire as consultants immediately. It behooves retirees who are looking to get back to work as consultants to plan their move well.
Free preview
  • Preview Consultant Agreement for Services Relating to Finances and Financial Reporting of Company with Confidentiality Provisions
  • Preview Consultant Agreement for Services Relating to Finances and Financial Reporting of Company with Confidentiality Provisions
  • Preview Consultant Agreement for Services Relating to Finances and Financial Reporting of Company with Confidentiality Provisions
  • Preview Consultant Agreement for Services Relating to Finances and Financial Reporting of Company with Confidentiality Provisions
  • Preview Consultant Agreement for Services Relating to Finances and Financial Reporting of Company with Confidentiality Provisions
  • Preview Consultant Agreement for Services Relating to Finances and Financial Reporting of Company with Confidentiality Provisions

How to fill out Consultant Agreement For Services Relating To Finances And Financial Reporting Of Company With Confidentiality Provisions?

You might spend hours online seeking the legal document template that complies with the state and federal stipulations you require. US Legal Forms provides a vast array of legal forms that are reviewed by experts.

It is easy to obtain or generate the Massachusetts Consultant Agreement for Services Related to Financial Matters and Financial Reporting of Company with Confidentiality Clauses from my service.

If you already possess a US Legal Forms account, you can Log In and then click the Acquire button. Subsequently, you can complete, modify, print, or sign the Massachusetts Consultant Agreement for Services Related to Financial Matters and Financial Reporting of Company with Confidentiality Clauses. Every legal document format you acquire is yours indefinitely.

Complete the transaction. You may use your credit card or PayPal account to pay for the legal form. Choose the format of the document and download it to your device. Make modifications to your document if necessary. You may complete, revise, sign, and print the Massachusetts Consultant Agreement for Services Related to Financial Matters and Financial Reporting of Company with Confidentiality Clauses. Acquire and print numerous document templates using the US Legal Forms website, which offers the most extensive collection of legal forms. Utilize expert and state-specific templates to address your business or personal needs.

  1. To obtain another copy of any purchased form, navigate to the My documents tab and click the respective option.
  2. If you are using the US Legal Forms website for the first time, adhere to the simple instructions below.
  3. First, ensure that you have chosen the correct document template for your county/region that you select.
  4. Check the form details to confirm you have selected the appropriate form. If available, utilize the Preview option to view the document template simultaneously.
  5. If you wish to find another variation of the form, utilize the Search field to locate the template that meets your requirements.
  6. Once you have identified the template you need, click Get now to proceed.
  7. Select the pricing plan you desire, input your details, and register for an account on US Legal Forms.

Form popularity

FAQ

A consulting contract should offer a detailed description of the duties you will perform and the deliverables you promise the client. The agreement may also explain how much work you will perform at the client's office and how often you will work remotely.

A contract for services between an independent contractor (a self-employed individual) and the client company for the provision of consultancy services.

Service Provider's PromisesUnless authorized in writing by Client, Service Provider will keep all Confidential Information and will not copy, reproduce, or make notes of, divulge to anyone or any entity outside Client, or use any of the Confidential Information for Service Provider's or another's benefit or purpose.

Often, consultants are self-employed contract professionals who provide services to a range of industries or organizations as needed. Consultants often specialize in a specific area, and those who aren't independent contractors may work for larger consulting firms that hire out their services.

The consulting agreement is an agreement between a consultant and a client who wishes to retain certain specified services of the consultant for a specified time at a specified rate of compensation.

A consulting contract should offer a detailed description of the duties you will perform and the deliverables you promise the client. The agreement may also explain how much work you will perform at the client's office and how often you will work remotely.

How to Package Consulting Services:Outline all of your consulting services.Evaluate your audience and the market.Determine the consulting service to package.Map out your process.Evaluate your costs and time.Determine pricing for your consulting package.Write your sales copy.Design your package landing page.

A consulting services agreement is a contract defining the terms of service between a client and a consultant. The document can also be referred to as a consulting contract, a business consulting agreement, an independent contractor agreement, or a freelance agreement.

Starting a Consulting Business in CaliforniaChoosing the Business Entity. Depending on the details of your particular consulting business, you might well be able to operate as a sole proprietorship or partnership.Licenses and Permits.Health and Safety.Tax Matters.Insurance.Policy Statements and Contracts.Employees.

Except as specifically required by law, Consultant may disclose Non-Public Information only with Client's prior written consent. Consultant shall have no authority to disclose Non-Public Information except in accordance with this section.

Trusted and secure by over 3 million people of the world’s leading companies

Massachusetts Consultant Agreement for Services Relating to Finances and Financial Reporting of Company with Confidentiality Provisions