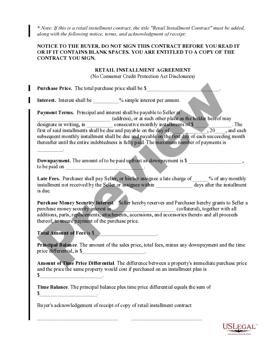
The Site Work Contract for Contractor is a legal document intended for agreements between site work contractors and property owners. This contract establishes the terms of a construction project, including payment arrangements, site conditions, and responsibilities regarding changes in the scope of work. It is specifically tailored to comply with the laws of Kentucky, ensuring that all parties are protected under state regulations.
This form should be used when a property owner hires a contractor for site work, including but not limited to excavation, grading, or other construction-related activities. It is particularly useful in scenarios where the project scope may change, and a clear framework for managing those changes and related costs is necessary. It is also essential for ensuring compliance with Kentucky state laws governing construction contracts.
This form does not typically require notarization to be legally valid. However, some jurisdictions or document types may still require it. US Legal Forms provides secure online notarization powered by Notarize, available 24/7 for added convenience.
Our built-in tools help you complete, sign, share, and store your documents in one place.
Make edits, fill in missing information, and update formatting in US Legal Forms—just like you would in MS Word.
Download a copy, print it, send it by email, or mail it via USPS—whatever works best for your next step.
Sign and collect signatures with our SignNow integration. Send to multiple recipients, set reminders, and more. Go Premium to unlock E-Sign.
If this form requires notarization, complete it online through a secure video call—no need to meet a notary in person or wait for an appointment.
We protect your documents and personal data by following strict security and privacy standards.

Make edits, fill in missing information, and update formatting in US Legal Forms—just like you would in MS Word.

Download a copy, print it, send it by email, or mail it via USPS—whatever works best for your next step.

Sign and collect signatures with our SignNow integration. Send to multiple recipients, set reminders, and more. Go Premium to unlock E-Sign.

If this form requires notarization, complete it online through a secure video call—no need to meet a notary in person or wait for an appointment.

We protect your documents and personal data by following strict security and privacy standards.
In order to cancel the transaction, the consumer must send the notice of cancellation form, or some other written statement indicating the intent to cancel the contract, to the creditor at the address stated on the notice. This notice need only state the consumer's intention to cancel the transaction.
1. Not Having a Written Contract.The taxing, labor and employment, and insurance authorities expect a written contract that states that the worker is an independent contractor and will be paid as such with no tax withholding, no benefits, etc.
Identifying/Contact Information. Title and Description of the Project. Projected Timeline and Completion Date. Cost Estimate and Payment Schedule. Stop Work Clause and Stop Payment Clause. Act of God Clause. Change Order Agreement. Warranty.
For most types of projects you hire an independent contractor (IC) to do, the law does not require you to put anything in writing. You can meet with the IC, agree on the terms of your arrangement, and have an oral contract or agreement that is legally binding. Just because you can doesn't mean you should, however.
Get it in writing. Keep it simple. Deal with the right person. Identify each party correctly. Spell out all of the details. Specify payment obligations. Agree on circumstances that terminate the contract. Agree on a way to resolve disputes.
Under Kentucky law, a valid and enforceable contract must include the parties' obligations in sufficiently definite and certain terms. Opinion at 9 (citing Kovacs v.Whether an agreement is oral or written, all material or essential terms must be agreed to or the agreement is unenforceable.
Both parties should sign the contract, and both should be bound by the terms and conditions spelled out in the agreement. In general that means the contractor will be obliged to provide specified materials and to perform certain services for you. In turn, you will be required to pay for those goods and that labor.
For most types of projects you hire an independent contractor (IC) to do, the law does not require you to put anything in writing. You can meet with the IC, agree on the terms of your arrangement, and have an oral contract or agreement that is legally binding. Just because you can doesn't mean you should, however.
When working as an independent contractor, your client does not have the right to control your project.According to the Communications Workers of America, Under the Copyright Act of 1976, an independent contractor who has created a work for an employer owns the rights to that work, except in limited circumstances.