Indiana Executive Summary Investment-Grade Bond Optional Redemption

State:
Multi-State
Control #:
US-ENTREP-0050-1
Format:
Word; 
Rich Text
Instant download

Description

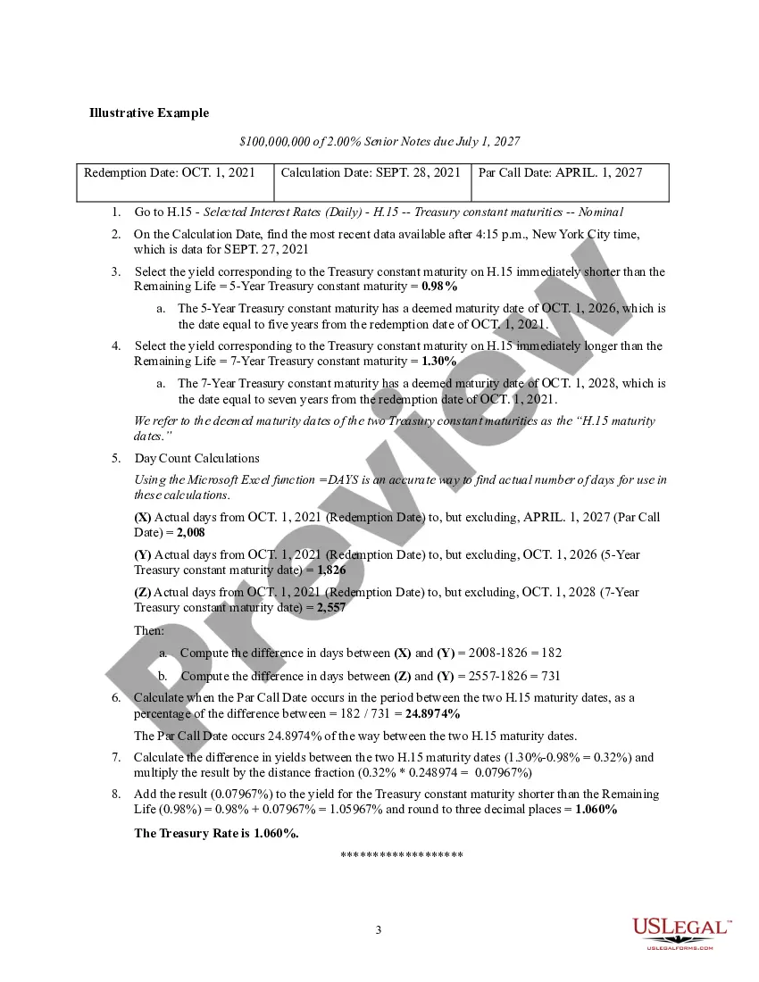
"Investment-grade bond optional redemption provisions, and the calculation of the make-whole redemption price, can vary by issuer and by the methodology used by the investment bank assisting with such calculation. This variation in language and calculation results in a lack of standardization in the manner of calculating the redemption price. As a result, market participants have expressed the desire for standardized language in investment-grade bond optional redemption provisions.
"
Free preview
  • Preview Executive Summary Investment-Grade Bond Optional Redemption
  • Preview Executive Summary Investment-Grade Bond Optional Redemption
  • Preview Executive Summary Investment-Grade Bond Optional Redemption
  • Preview Executive Summary Investment-Grade Bond Optional Redemption

How to fill out Executive Summary Investment-Grade Bond Optional Redemption?

It is possible to spend time on the Internet attempting to find the authorized papers format that fits the state and federal requirements you need. US Legal Forms supplies 1000s of authorized varieties which are reviewed by experts. You can actually obtain or print the Indiana Executive Summary Investment-Grade Bond Optional Redemption from my services.

If you already have a US Legal Forms account, you can log in and then click the Acquire option. After that, you can total, revise, print, or sign the Indiana Executive Summary Investment-Grade Bond Optional Redemption. Every authorized papers format you buy is your own eternally. To acquire one more version of the purchased form, check out the My Forms tab and then click the related option.

Should you use the US Legal Forms site initially, follow the basic directions under:

  • Very first, ensure that you have selected the correct papers format for that state/town that you pick. Look at the form explanation to make sure you have selected the correct form. If offered, take advantage of the Review option to check throughout the papers format also.
  • If you wish to find one more edition of your form, take advantage of the Look for industry to obtain the format that meets your requirements and requirements.
  • Once you have located the format you need, just click Acquire now to proceed.
  • Find the prices program you need, type in your credentials, and sign up for a merchant account on US Legal Forms.
  • Total the deal. You should use your bank card or PayPal account to pay for the authorized form.
  • Find the formatting of your papers and obtain it to your product.
  • Make changes to your papers if required. It is possible to total, revise and sign and print Indiana Executive Summary Investment-Grade Bond Optional Redemption.

Acquire and print 1000s of papers web templates using the US Legal Forms Internet site, that provides the greatest selection of authorized varieties. Use professional and condition-distinct web templates to take on your small business or person demands.

Form popularity

FAQ

Bond Redemption Date means, with respect to any Bond, the date on which such Bond is redeemed pursuant to the applicable Bond Documents. Bond Redemption Date means any date, other than an Interest Payment Date, upon which Bonds shall be redeemed pursuant to the Indenture. Bond Redemption Date Definition | Law Insider lawinsider.com ? dictionary ? bond-redempt... lawinsider.com ? dictionary ? bond-redempt...

Optional Redemption On or after the Par Call Date, the Company may redeem the notes, in whole or in part, at any time and from time to time, at a redemption price equal to 100% of the principal amount of the notes being redeemed plus accrued and unpaid interest thereon to the redemption date.

Bond redemption is the process by which a bond issuer repays the principal amount of a bond to the bondholder on the bond's maturity date. When a bond is issued, it has a specified term or maturity date, which is the date when the bond issuer is obligated to pay back the principal amount of the bond to the bondholder. Bond Redemption and Types of Bond Redemption | IndiaBonds indiabonds.com ? news-and-insight ? bond-... indiabonds.com ? news-and-insight ? bond-...

A bond redemption is the full repayment of the principal amount (the amount you invested) and any interest owed to date. What is bond redemption? - Help Centre - Crowdcube crowdcube.com ? en-us ? articles ? 3600006... crowdcube.com ? en-us ? articles ? 3600006...

Trusted and secure by over 3 million people of the world’s leading companies

Indiana Executive Summary Investment-Grade Bond Optional Redemption