Finding the appropriate legitimate document template can be a struggle. Of course, there are numerous themes available online, but how do you locate the exact form you need? Utilize the US Legal Forms website.
The service provides thousands of templates, including the Illinois Guidelines for Lease vs. Purchase of Information Technology, which can be used for both business and personal purposes. All forms are reviewed by experts and comply with state and federal regulations.
If you are currently registered, Log In to your account and click the Download button to obtain the Illinois Guidelines for Lease vs. Purchase of Information Technology. Use your account to browse through the legal forms you have previously purchased. Visit the My documents tab in your account and download another copy of the document you need.
US Legal Forms is the largest collection of legal forms where you can explore a wide range of document templates. Use the service to obtain professionally crafted documents that adhere to state requirements.
Yes, in Illinois, most leases of tangible personal property are subject to sales tax. However, the specifics can differ based on the type of lease and usage. Understanding these guidelines can help you navigate costs when considering leasing options.
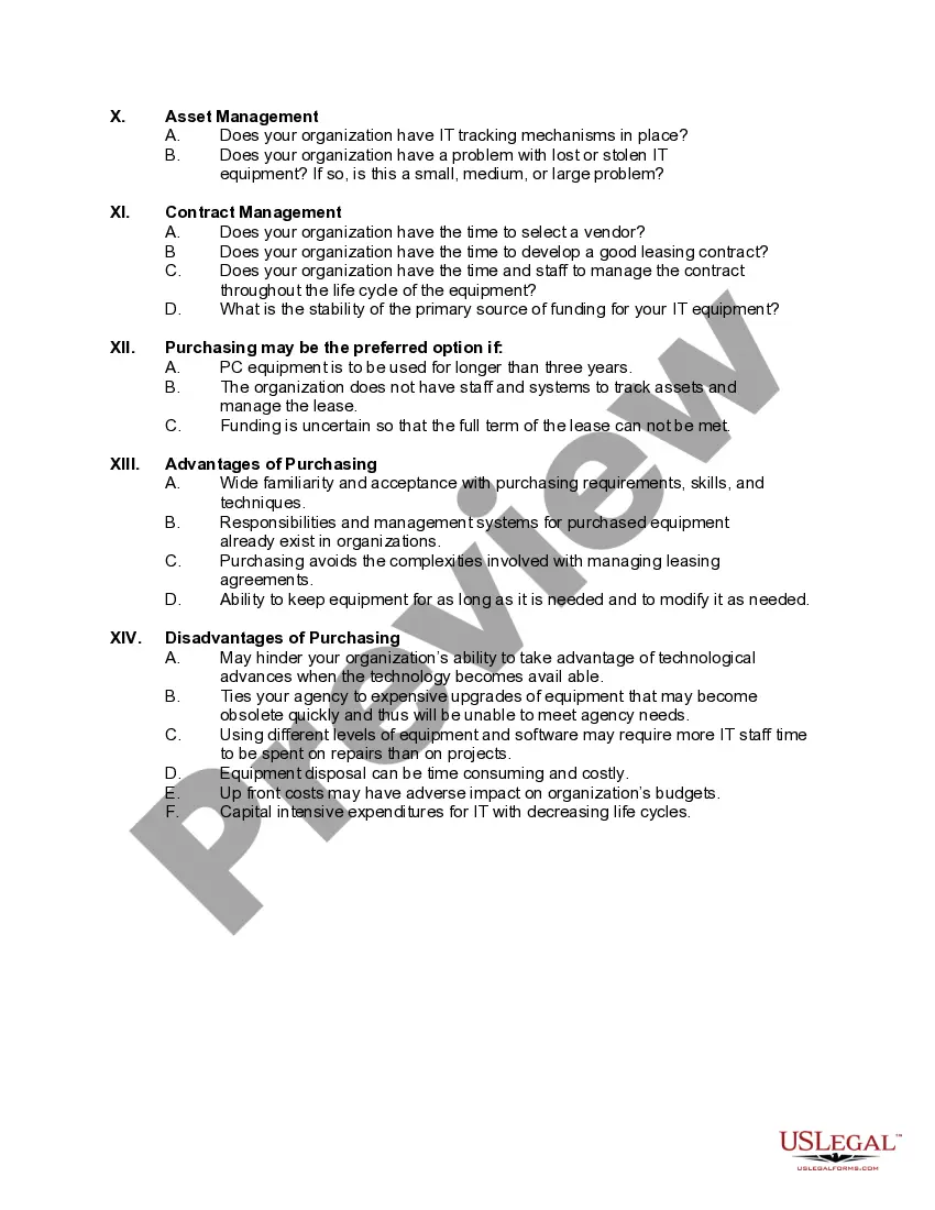
The lease duration and monthly payments, must be well calculated in advance. Buying entails larger monthly payments, but, the person owns an asset. Whereas, a lease, provides cheaper monthly payments and allows one to procure an asset they would not otherwise be able to afford.
Factors to consider when making the lease or buy decisionYou want control of the property.You can consider the long-term cost.For some businesses, such as certain retail and service businesses, location is all important.You haven't found a suitable property to lease.You are in an area of appreciating land values.More items...
To evaluate whether or not you're getting a good deal, focus on the four factors that determine how much money you will end up spending, says Reed. Those factors are the monthly payments, the length of the lease, the down payment, and the mileage restrictions on the lease contract.
The evaluation procedure for a lease-buy decision can be summarized as follows: Compute the net present value of the asset's cash flows if the asset is purchased. Compute the net present value of the cash flows generated for the firm by the asset if it is leased.
Buying or Leasing Business Equipment: Factors to considerOutright purchase. This option is when businesses decide to own the asset and make an outright purchase.Tax benefits.Ownership & Control.Leasing equipment.Frequent Equipment Upgrade.Limited upfront investment.Tax savings.Invest in Core Competencies.
Factors Favoring Leasing:Cash flow: A business can conserve its cash flow by leasing.Credit rating: The company has not established a credit rating sufficient to support a mortgage.Maintenance: The landlord is responsible for maintaining the property.More items...
4 Factors to Evaluating a Lease OptionA lease option comes at the end of a lease contract. You may be able to extend the lease, stop the lease, or even purchase the home you are renting.Maintenance Record.Cost to Lease vs. Cost to Buy.Cost to Extend Lease vs. Cost of New Lease.Market Considerations.
Factors Favoring Leasing:Cash flow: A business can conserve its cash flow by leasing.Credit rating: The company has not established a credit rating sufficient to support a mortgage.Maintenance: The landlord is responsible for maintaining the property.More items...
Factors Favoring Leasing:Cash flow: A business can conserve its cash flow by leasing.Credit rating: The company has not established a credit rating sufficient to support a mortgage.Maintenance: The landlord is responsible for maintaining the property.More items...


