Iowa Option to Purchase Rights to a Novel

State:
Multi-State
Control #:
US-1022BG
Format:
Word; 
Rich Text
Instant download

Description

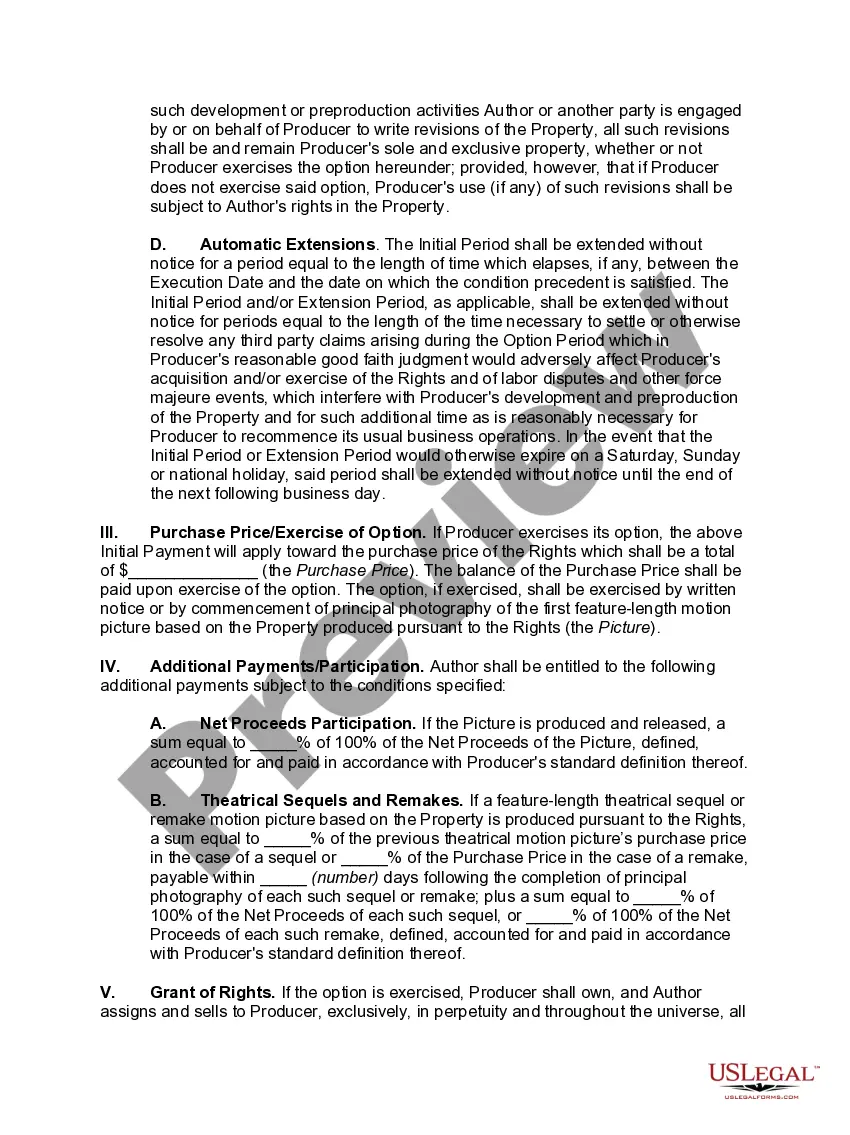
The terms of an Option Agreement to purchase rights to a novel vary. Generally they give the publisher first dibs on the author's next book. Some options are relatively benign, granting the publisher rights of first look or first negotiation (i.e., the right to see the next book first and negotiate for a limited period of time after reviewing it). Most often, the deal to make a movie based on a book takes the form of an exclusive "option" agreement. What that means is that the producer has acquired not the exclusive right to make the movie, but has acquired the exclusive right to purchase the right to make the movie. In other words, there are usually some conditions precedent which the producer needs to satisfy before they can actually go ahead and make the movie, the most important condition (from the author's perspective) being the payment of a "purchase" price. Why are agreements structured as options? Because the producer usually needs time to make arrangements to actually finance the making of the movie - and while the producer is running around trying to gather the money to make the movie, they need to "secure" the exclusive rights in the book, so that the author doesn't go and give the rights to some other producer.
Free preview
  • Preview Option to Purchase Rights to a Novel
  • Preview Option to Purchase Rights to a Novel
  • Preview Option to Purchase Rights to a Novel
  • Preview Option to Purchase Rights to a Novel
  • Preview Option to Purchase Rights to a Novel
  • Preview Option to Purchase Rights to a Novel
  • Preview Option to Purchase Rights to a Novel
  • Preview Option to Purchase Rights to a Novel
  • Preview Option to Purchase Rights to a Novel

How to fill out Option To Purchase Rights To A Novel?

If you need to exhaustive, acquire, or print authorized document templates, utilize US Legal Forms, the largest compilation of legal forms available online.

Take advantage of the website's simple and convenient search to locate the documents you require.

Different templates for business and personal purposes are organized by categories and states, or searchable by keywords.

Step 4. Once you have located the form you need, click on the Purchase now button. Select the pricing plan you prefer and provide your information to register for the account.

Step 5. Process the payment. You can use your credit card or PayPal account to complete the transaction. Step 6. Choose the format of the legal form and download it to your device. Step 7. Complete, modify, and print or sign the Iowa Option to Purchase Rights to a Novel. Each legal document template you purchase is yours for a lifetime. You have access to every form you downloaded in your account. Select the My documents section and pick a form to print or download again. Complete and download, and print the Iowa Option to Purchase Rights to a Novel with US Legal Forms. There are countless professional and state-specific forms available for your business or personal needs.

  1. Utilize US Legal Forms to find the Iowa Option to Purchase Rights to a Novel with just a few clicks.
  2. If you are already a US Legal Forms user, Log In to your account and click the Download button to get the Iowa Option to Purchase Rights to a Novel.
  3. You can also access forms you have previously downloaded within the My documents tab of your account.
  4. If you are using US Legal Forms for the first time, follow the instructions below.
  5. Step 1. Ensure you have selected the form for your specific city/state.
  6. Step 2. Use the Preview option to examine the form's details. Do not forget to read the description.
  7. Step 3. If you are dissatisfied with the form, utilize the Search field at the top of the screen to discover alternative versions of the legal form template.

Form popularity

FAQ

The option price depends on the material being optioned and the writer. Author notoriety, the popularity of the work, a producer's desire for the projectthese can drive up the price. While everything is negotiable, an option can range from $500$500,000.

An option is an agreement where author gives a producer/production company/screenwriter/someone the rights to try and get the movie set up. There's a time period involved, usually a year with provisions for another year extension, and an amount paid to the author for each of those years. That's it.

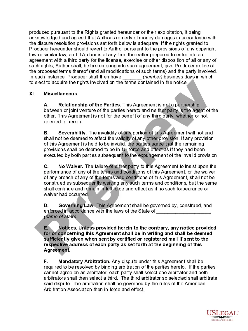
An option agreement is a contract between the owner of a property and a potential buyer, giving the buyer the right to serve notice upon the seller to sell the property either at an agreed price or at its market value. Often, the purchaser will pay the seller a fee for entering into an option agreement.

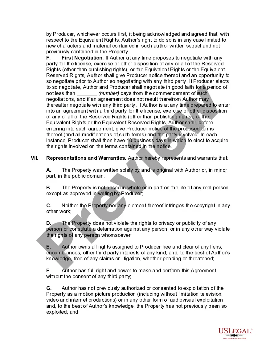
Typically, an option agreement provides the owner of the rights in a work (which could be a screenplay, a novel or a play) with the option to allow a potential film producer the right to purchase the work under negotiated terms.

The option price depends on the material being optioned and the writer. Author notoriety, the popularity of the work, a producer's desire for the projectthese can drive up the price. While everything is negotiable, an option can range from $500$500,000.

An option is an agreement where author gives a producer/production company/screenwriter/someone the rights to try and get the movie set up. There's a time period involved, usually a year with provisions for another year extension, and an amount paid to the author for each of those years. That's it. That's all it is.

Purchase Price for Book to Film Rights Generally speaking, the price that a production company will be willing to pay you for your book to film adaptation rights is about 2-3 percent of the production budget. So, say the production company has a budget of $10M to produce your book adaptation.

Written contractsUnder English law, option to purchase agreements must be in writing in order to be binding, as they are conditional contracts for the sale of land. Pre-emption agreements do not need to be in writing, although it is wise to do so.

A party who buys an option on a literary property is obtaining the exclusive right to purchase the movie rights for a certain period into the future. Suppose you are a producer and you read a wonderful novel written by Alice.

Trusted and secure by over 3 million people of the world’s leading companies

Iowa Option to Purchase Rights to a Novel