Iowa Release Agreement in Letter Form of Employer By Employee for Alleged Violations of Fair Employment Practices Statutes with Form for Employee's Acceptance upon Termination of Job or Employment

State:
Multi-State
Control #:
US-01216BG
Format:
Word; 
Rich Text
Instant download

Description

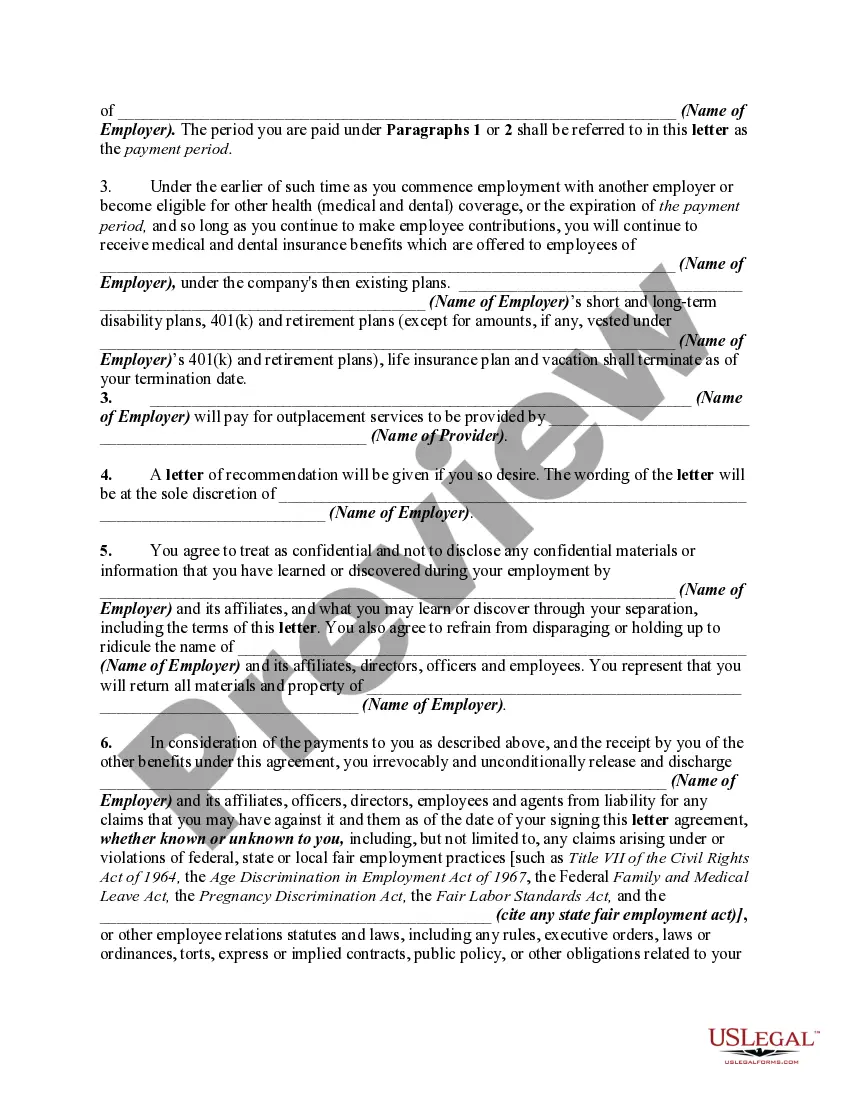
This release agreement seeks to settle claims with an employee in exchange for a more lucrative financial separation package than the employee would otherwise be entitled to (had the employee not entered into this agreement. This release seeks to settle any known and unknown claims under Title VII of the Civil Rights Act of 1964, the Americans With Disabilities Act, the Age Discrimination in Employment Act, the Family and Medical Leave Act, the Pregnancy Discrimination Act, the Fair Labor Standards Act, and state fair employment practices statutes and laws.


This form is a generic example that may be referred to when preparing such a form for your particular state. It is for illustrative purposes only. Local laws should be consulted to determine any specific requirements for such a form in a particular jurisdiction.

Free preview
  • Preview Release Agreement in Letter Form of Employer By Employee for Alleged Violations of Fair Employment Practices Statutes with Form for Employee's Acceptance upon Termination of Job or Employment
  • Preview Release Agreement in Letter Form of Employer By Employee for Alleged Violations of Fair Employment Practices Statutes with Form for Employee's Acceptance upon Termination of Job or Employment
  • Preview Release Agreement in Letter Form of Employer By Employee for Alleged Violations of Fair Employment Practices Statutes with Form for Employee's Acceptance upon Termination of Job or Employment
  • Preview Release Agreement in Letter Form of Employer By Employee for Alleged Violations of Fair Employment Practices Statutes with Form for Employee's Acceptance upon Termination of Job or Employment

How to fill out Release Agreement In Letter Form Of Employer By Employee For Alleged Violations Of Fair Employment Practices Statutes With Form For Employee's Acceptance Upon Termination Of Job Or Employment?

Are you in a situation where you require documents for either business or personal purposes almost every day.

There are many legal document templates accessible online, but locating ones you can trust is challenging.

US Legal Forms offers numerous form templates, including the Iowa Release Agreement in Letter Form of Employer By Employee for Alleged Violations of Fair Employment Practices Statutes with Form for Employee's Acceptance upon Termination of Employment, designed to meet state and federal regulations.

Select a suitable file format and download your copy.

Access all the document templates you have purchased in the My documents menu. You can download or print the Iowa Release Agreement in Letter Form of Employer By Employee for Alleged Violations of Fair Employment Practices Statutes with Form for Employee's Acceptance upon Termination of Employment any time you need. Just choose the desired form to download or print the document template.

  1. If you are already familiar with the US Legal Forms website and have an account, simply Log In.
  2. Afterward, you can download the Iowa Release Agreement in Letter Form of Employer By Employee for Alleged Violations of Fair Employment Practices Statutes with Form for Employee's Acceptance upon Termination of Employment template.
  3. If you do not have an account and wish to start using US Legal Forms, follow these steps.
  4. Select the form you need and ensure it is for the appropriate city/county.
  5. Use the Preview button to review the form.
  6. Read the details to confirm you have chosen the correct form.
  7. If the form is not what you're looking for, use the Lookup section to find the form that suits your needs.
  8. Once you find the appropriate form, click on Get now.
  9. Choose the pricing plan you prefer, provide the necessary information to create your account, and complete your purchase using your PayPal or credit card.

Form popularity

FAQ

Misconduct typically involves a warning and a verbal or written reprimand from the employer. Repeated cases of these behaviors can be considered gross misconduct and result in termination.

10 employee rights you should knowYou must receive a payslip.You must not be discriminated against.Health and safety laws apply to your working environment.Statutory sick pay.Statutory maternity and paternity rights.You are allowed to request flexible working.You are entitled to time off for annual leave.More items...

Violations of Public Policydisclosing a company practice of refusing to pay employees their earned commissions and accrued vacation pay. taking time off work to serve on a jury. taking time off work to vote.

10 Things An Employer Should Never Do When Terminating An Employee's EmploymentDo not fire an employee unless you are meeting face-to-face.Do not terminate an employee's employment without warning.Do not start the termination meeting without a witness.Do not let the employee think your decision is not final.More items...?

Employees terminated by an employer have certain rights. An employee has the right to receive a final paycheck and the option of continuing health insurance coverage, and may even be eligible for severance pay and unemployment compensation benefits.

Iowa, like many other states, has a so-called "right to work" law that prohibits mandatory payment of union dues, as well as whistleblower protections for public employees. Additional laws establish legal holidays, the minimum wage, and other conditions of employment.

The State shall protect labor, promote full employment, provide equal work opportunity regardless of gender, race, or creed; and regulate employee-employer relations.

Workplace safety You have three basic rights: the right to refuse dangerous work and know that you're protected from reprisal. the right to know about workplace hazards and have access to basic health and safety information. the right to participate in health and safety discussions and health and safety committees.

Iowa is an employment-at-will state. This means that an employer may generally terminate an employee at any time, for any reason, or for no reason, unless an agreement exists that provides otherwise.

Employers must fulfill certain legal obligations and provide a terminated employee with information about their benefits, including COBRA, their last paycheck, unemployment options and transportability of other insurance.

Trusted and secure by over 3 million people of the world’s leading companies

Iowa Release Agreement in Letter Form of Employer By Employee for Alleged Violations of Fair Employment Practices Statutes with Form for Employee's Acceptance upon Termination of Job or Employment