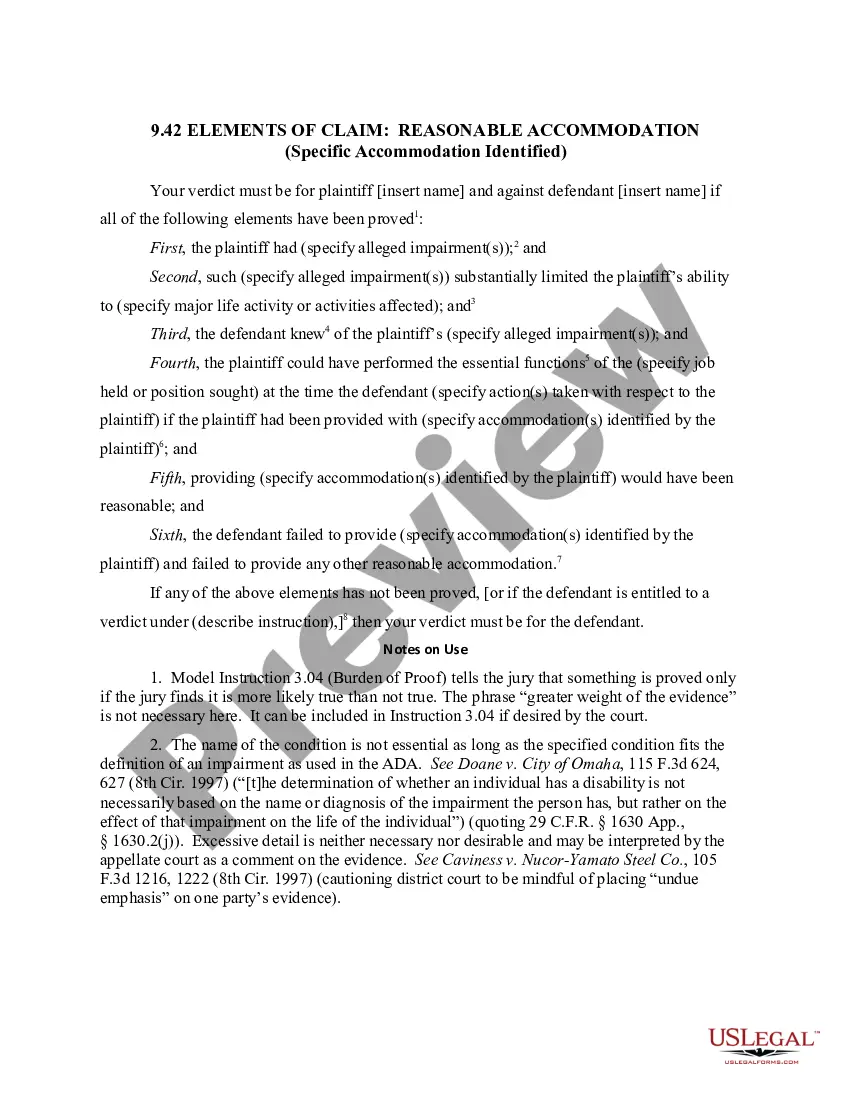
Hawaii 4.03. Elements of Plaintiff's Claim - Reasonable Accommodation Cases

State:
Multi-State
Control #:
US-JURY-7THCIR-4-03
Format:
Word
Instant download
This website is not affiliated with any governmental entity
Public form

Description

Official Pattern Jury Instructions adopted by Federal 7th Circuit Court. All converted to Word format. Please see the official site for addional information. www.ca7.uscourts.gov/pattern-jury-instructions/pattern-jury.htm

Form popularity

Trusted and secure by over 3 million people of the world’s leading companies

Hawaii 4.03. Elements of Plaintiff's Claim - Reasonable Accommodation Cases