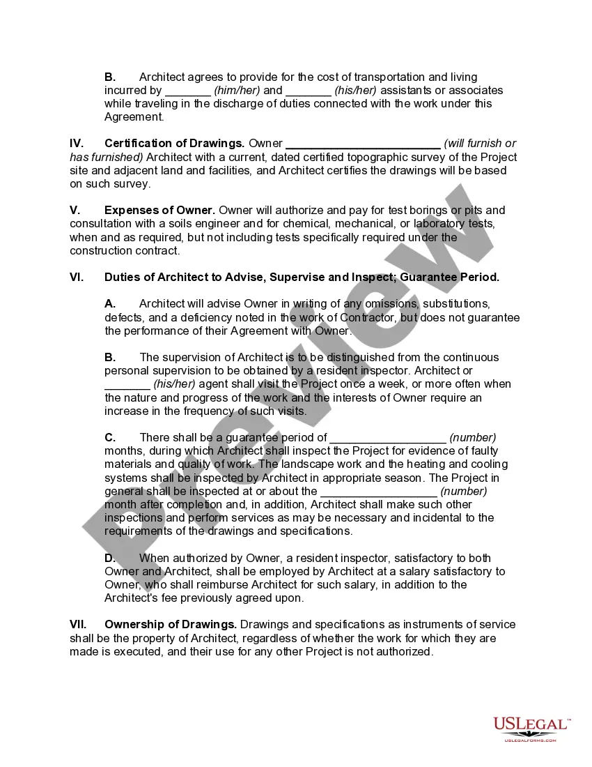
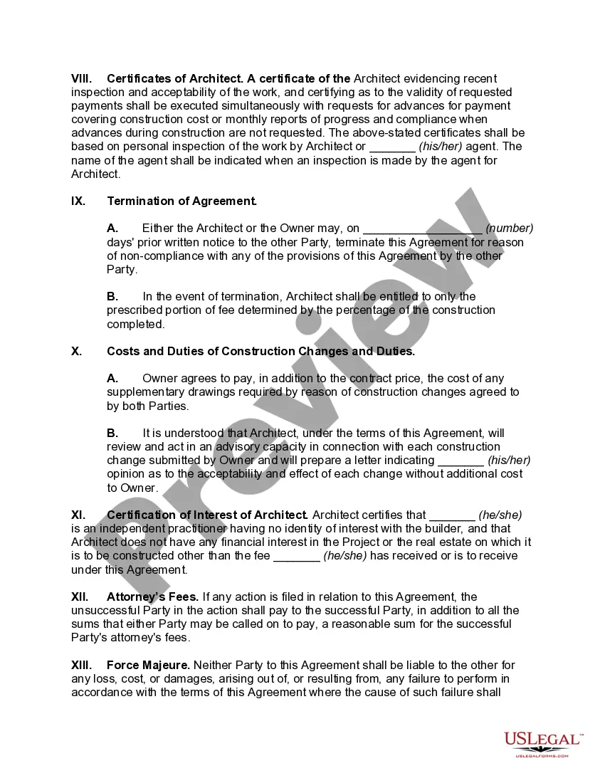
Are you presently in a position the place you need papers for possibly organization or specific uses virtually every day? There are a lot of legitimate file web templates available on the Internet, but getting versions you can rely on isn`t straightforward. US Legal Forms offers a large number of type web templates, like the Guam Agreement with Architect to Design a Building for Fixed Fee, which can be published in order to meet federal and state demands.
In case you are currently acquainted with US Legal Forms web site and get an account, merely log in. Next, it is possible to acquire the Guam Agreement with Architect to Design a Building for Fixed Fee template.
Unless you provide an accounts and need to begin using US Legal Forms, abide by these steps:
Discover all the file web templates you possess purchased in the My Forms food list. You may get a further backup of Guam Agreement with Architect to Design a Building for Fixed Fee at any time, if needed. Just click the necessary type to acquire or printing the file template.
Use US Legal Forms, the most substantial collection of legitimate types, to save some time and steer clear of blunders. The services offers professionally made legitimate file web templates that can be used for a selection of uses. Produce an account on US Legal Forms and start creating your lifestyle a little easier.




