Connecticut Facilities Use Agreement

Category:
State:
Connecticut
Control #:
CT-C-45-00-112-01
Format:
Word; 
Rich Text
Instant download

Description

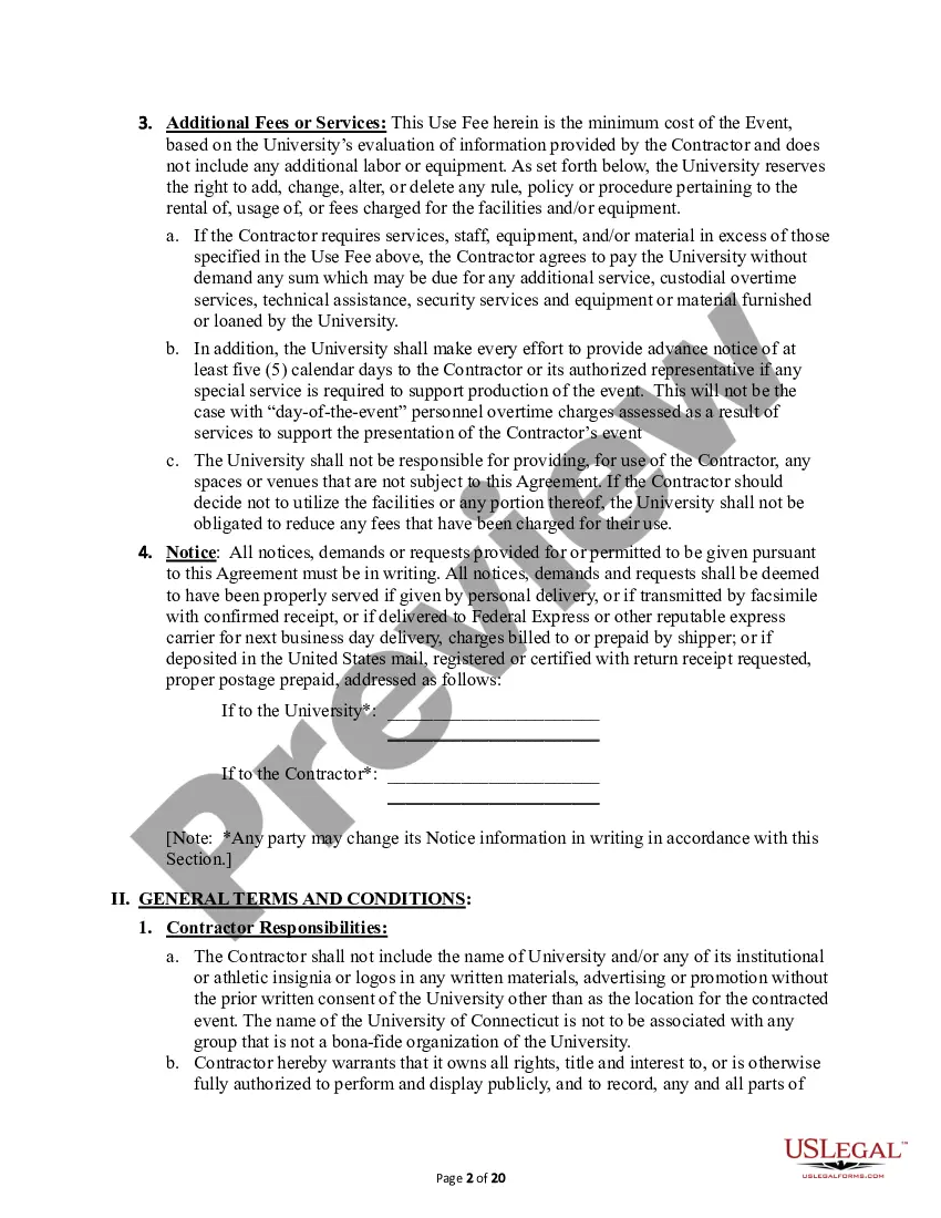
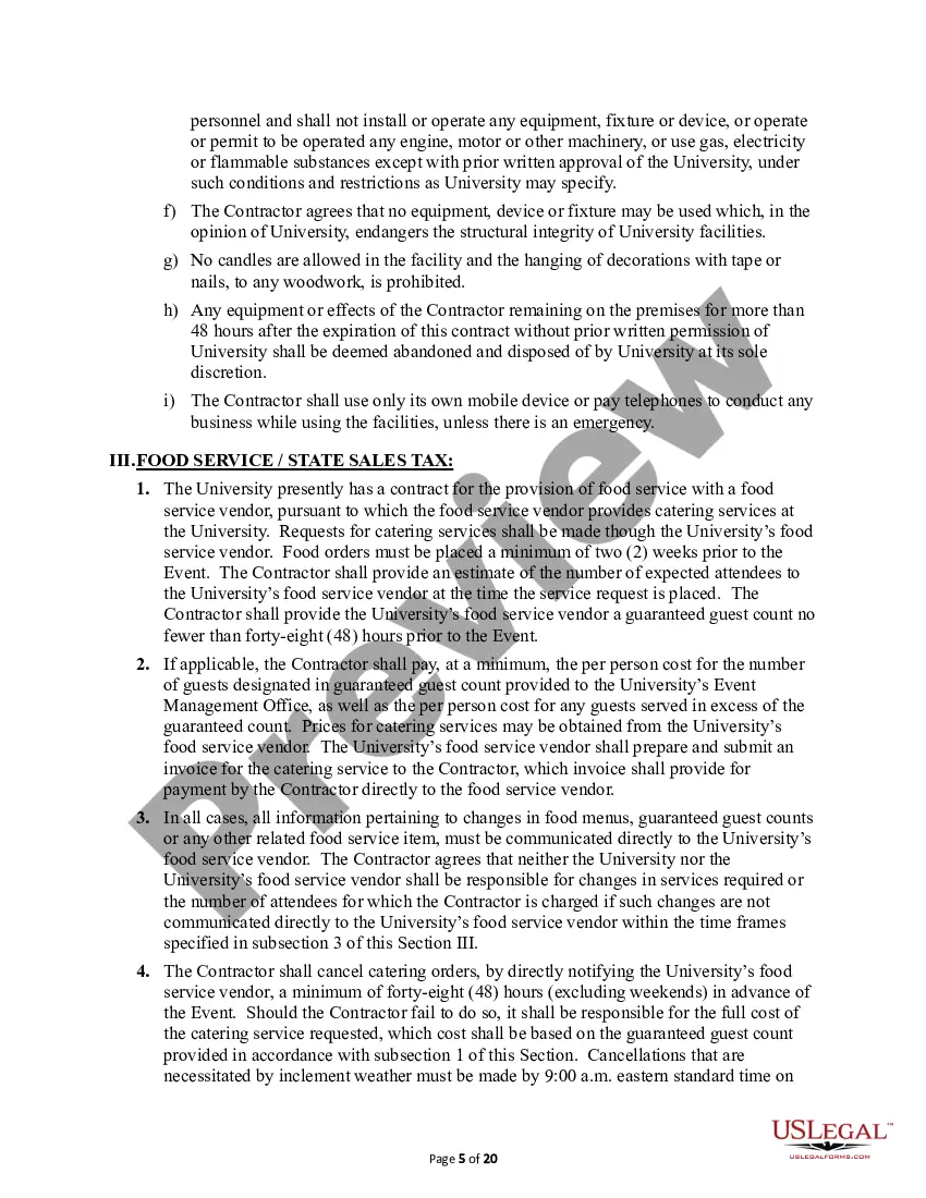
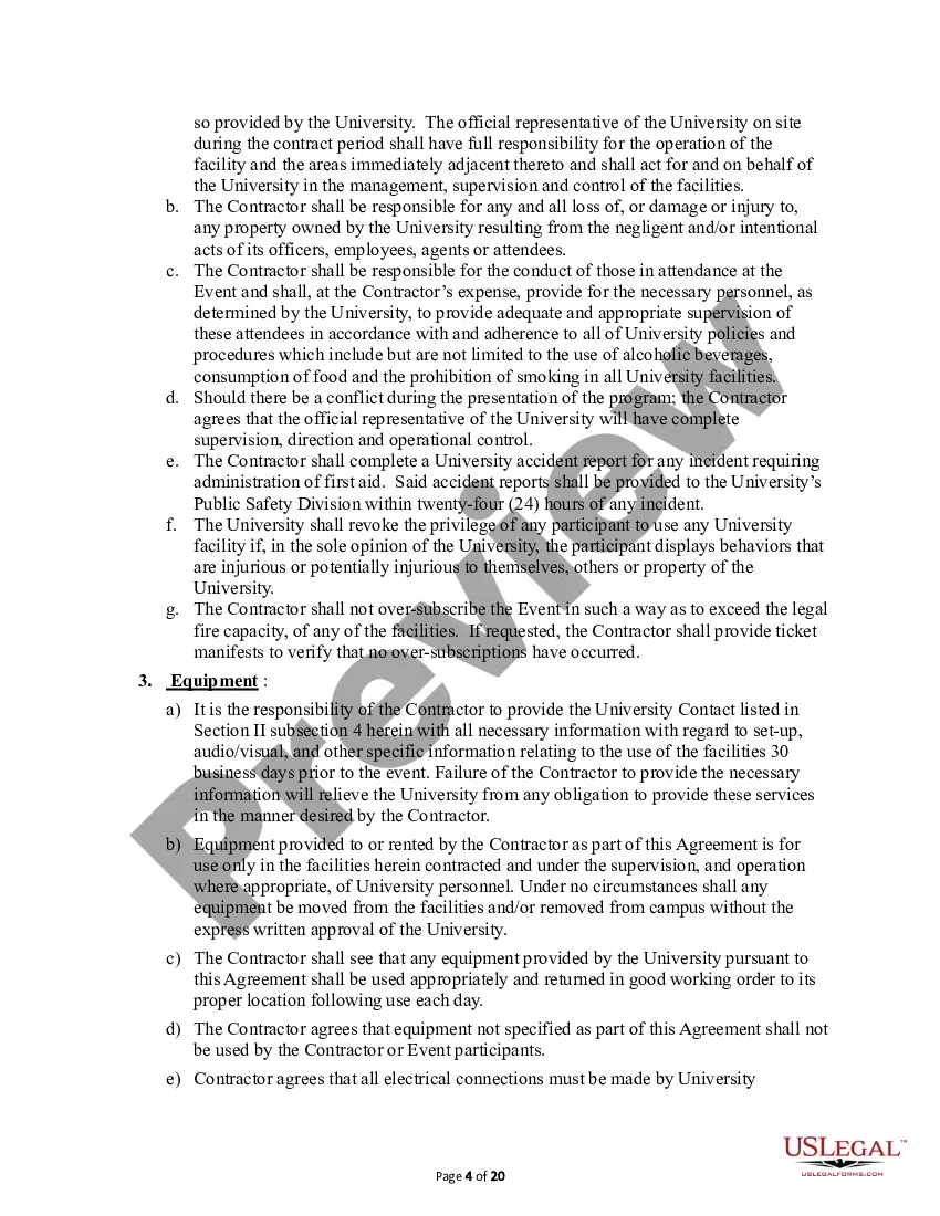
This is a sample Facilities Use Agreement. This agreement can be used as a template between a University and a Contractor. Facility use agreement means an agreement executed between an organization and an organization granting access to institution's facilities.
Free preview
  • Preview Facilities Use Agreement
  • Preview Facilities Use Agreement
  • Preview Facilities Use Agreement
  • Preview Facilities Use Agreement
  • Preview Facilities Use Agreement
  • Preview Facilities Use Agreement
  • Preview Facilities Use Agreement
  • Preview Facilities Use Agreement
  • Preview Facilities Use Agreement
  • Preview Facilities Use Agreement
  • Preview Facilities Use Agreement

Get your form ready online

Our built-in tools help you complete, sign, share, and store your documents in one place.

Built-in online Word editor

Make edits, fill in missing information, and update formatting in US Legal Forms—just like you would in MS Word.

Export easily

Download a copy, print it, send it by email, or mail it via USPS—whatever works best for your next step.

E-sign your document

Sign and collect signatures with our SignNow integration. Send to multiple recipients, set reminders, and more. Go Premium to unlock E-Sign.

Notarize online 24/7

If this form requires notarization, complete it online through a secure video call—no need to meet a notary in person or wait for an appointment.

Store your document securely

We protect your documents and personal data by following strict security and privacy standards.

Form selector

Make edits, fill in missing information, and update formatting in US Legal Forms—just like you would in MS Word.

Form selector

Download a copy, print it, send it by email, or mail it via USPS—whatever works best for your next step.

Form selector

Sign and collect signatures with our SignNow integration. Send to multiple recipients, set reminders, and more. Go Premium to unlock E-Sign.

Form selector

If this form requires notarization, complete it online through a secure video call—no need to meet a notary in person or wait for an appointment.

Form selector

We protect your documents and personal data by following strict security and privacy standards.

Looking for another form?

This field is required
Ohio
Select state

Form popularity

Trusted and secure by over 3 million people of the world’s leading companies

Connecticut Facilities Use Agreement