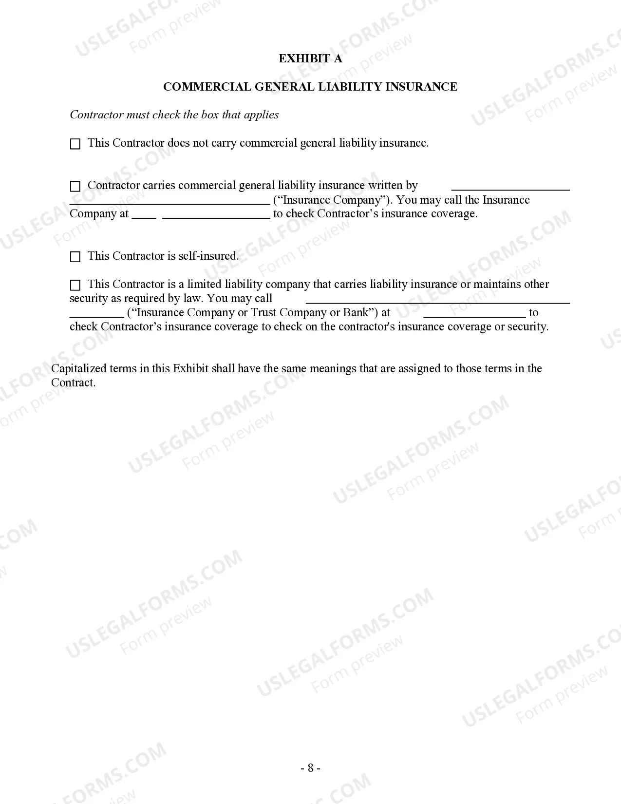
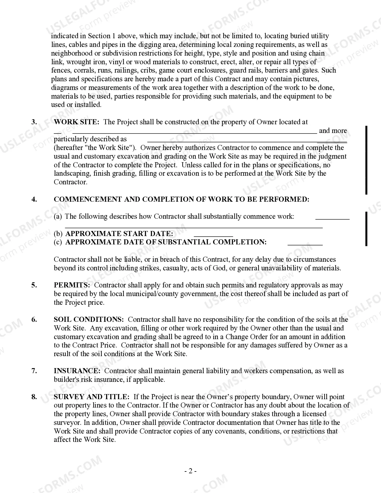
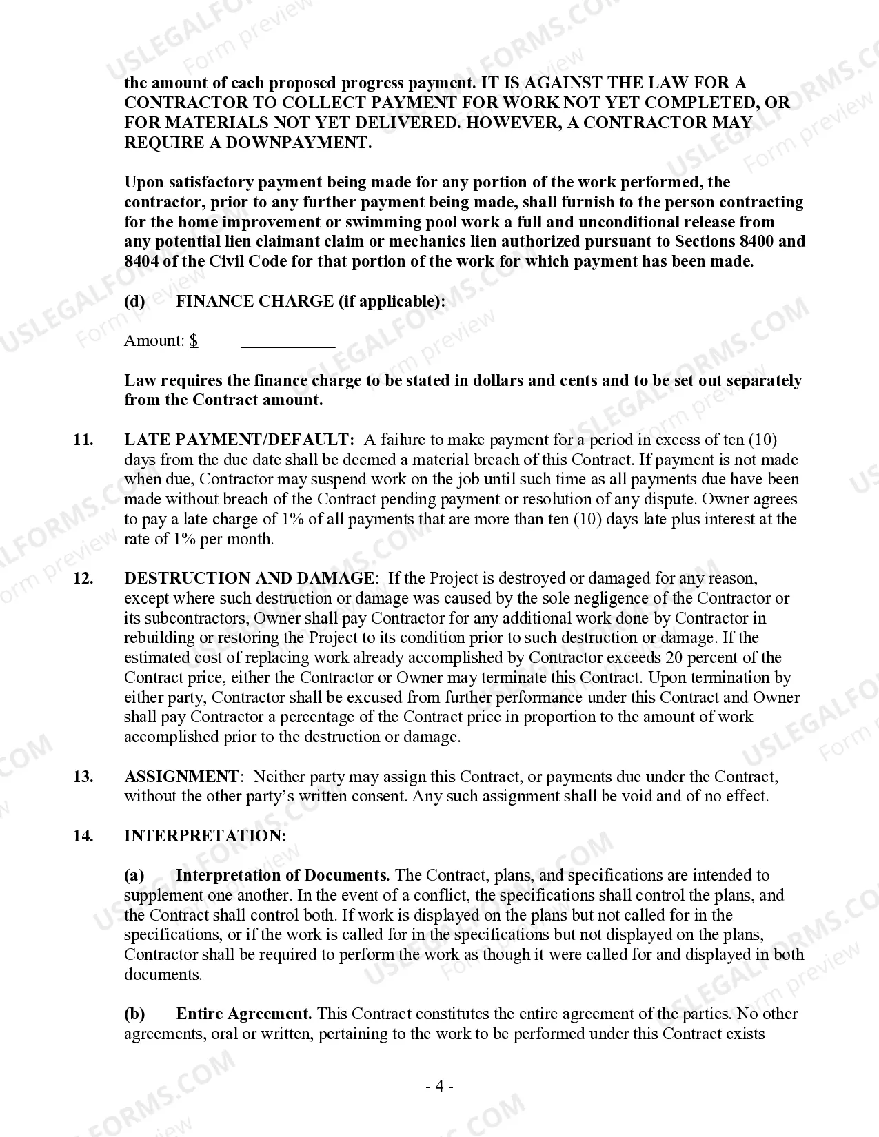
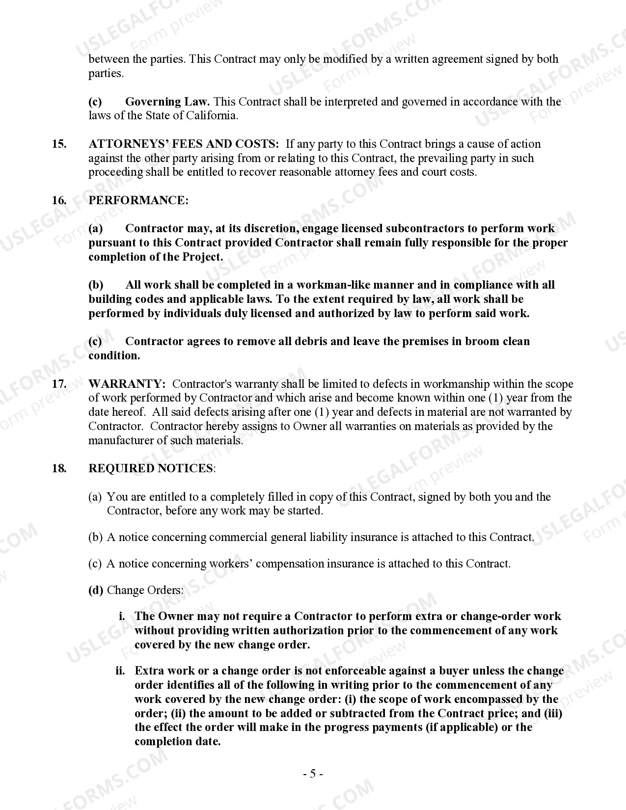
The Fencing Contract for Contractor is a legal document that outlines the agreement between a fencing contractor and a property owner. This contract can be utilized for projects that follow either a cost-plus or fixed fee payment structure. It establishes the responsibilities of both parties, handling aspects such as change orders, work site regulations, warranty provisions, and insurance requirements, ensuring compliance with California laws.
This fencing contract should be used when hiring a fencing contractor for new installation, repairs, or modifications to existing fencing. It is essential when there is a need to clearly define project details, payment terms, insurance responsibilities, and other legal obligations, thereby reducing the potential for disputes.
In most cases, this form does not require notarization. However, some jurisdictions or signing circumstances might. US Legal Forms offers online notarization powered by Notarize, accessible 24/7 for a quick, remote process.
Our built-in tools help you complete, sign, share, and store your documents in one place.
Make edits, fill in missing information, and update formatting in US Legal Forms—just like you would in MS Word.
Download a copy, print it, send it by email, or mail it via USPS—whatever works best for your next step.
Sign and collect signatures with our SignNow integration. Send to multiple recipients, set reminders, and more. Go Premium to unlock E-Sign.
If this form requires notarization, complete it online through a secure video call—no need to meet a notary in person or wait for an appointment.
We protect your documents and personal data by following strict security and privacy standards.

Make edits, fill in missing information, and update formatting in US Legal Forms—just like you would in MS Word.

Download a copy, print it, send it by email, or mail it via USPS—whatever works best for your next step.

Sign and collect signatures with our SignNow integration. Send to multiple recipients, set reminders, and more. Go Premium to unlock E-Sign.

If this form requires notarization, complete it online through a secure video call—no need to meet a notary in person or wait for an appointment.

We protect your documents and personal data by following strict security and privacy standards.
Yes, a general contractor can offer landscaping services in California, provided they have the necessary skills and experience. Landscaping can complement your fencing installation, enhancing the overall appeal of your property. When incorporating these services, be sure to discuss your vision in your California Fencing Contract for Contractor to achieve the best results.
In California, general contractors cannot perform electrical work unless they have a specific electrical contractor’s license. For safety and compliance reasons, it's crucial to ensure that only licensed professionals undertake such tasks. If your fencing project requires electrical components, engaging the right specialists is important while drafting your California Fencing Contract for Contractor.
When interviewing a fence contractor, ask about their experience with similar projects, warranty options, and their process for handling permits. Understanding their timeline and how they manage subcontractors is essential. These inquiries support establishing a solid California Fencing Contract for Contractor that meets your expectations and needs.
While general contractors can handle many tasks, they cannot perform specific trades without the proper license. For example, electrical or plumbing work often requires a specialized license. It's crucial to clarify these limits as you draft your California Fencing Contract for Contractor to ensure compliance and quality in your project.
Yes, a general contractor can legally perform demolition work in California. They must adhere to safety regulations and obtain the necessary permits for such tasks. If you're considering fencing, a general contractor can efficiently incorporate demolition into your California Fencing Contract for Contractor, providing a seamless transition to new installations.
In California, a general contractor can perform various trades, including construction, remodeling, and repairs. They manage all aspects of a project, from obtaining permits to hiring subcontractors. Additionally, they may handle fencing projects, which align with a California Fencing Contract for Contractor. This versatility helps streamline your construction experience.
Writing a contract for a contractor, such as a California Fencing Contract for Contractor, involves several important steps. Begin by clearly defining the project's scope, including materials, timelines, and payment terms. Next, outline the rights and responsibilities of both parties to avoid future conflicts. Platforms like USLegalForms offer templates and guidance to simplify this process, ensuring you have a comprehensive and enforceable contract.
Yes, having a written contract is essential for contractors in California, especially for a California Fencing Contract for Contractor. A written agreement helps establish clear terms, preventing misunderstandings and disputes. It also provides legal protection for both parties, ensuring that everyone understands their responsibilities and expectations. By using a platform like USLegalForms, you can easily create a legally sound contract tailored to your needs.
California offers a few exemptions for the contractor license requirement, including certain types of work performed by homeowners on their own property. Additionally, individuals working on projects that fall below the $500 threshold are also exempt. Be aware of these exemptions when considering your California Fencing Contract for Contractor, but understand that hiring a licensed contractor usually offers more security and professionalism.
To complete an independent contractor agreement, start by stating the contractor's name and contact details, then outline the services to be performed. Include payment terms, project timelines, and any conditions for termination or modifications. For your California Fencing Contract for Contractor, using an established platform like US Legal Forms can streamline this process and ensure that all necessary clauses are included.