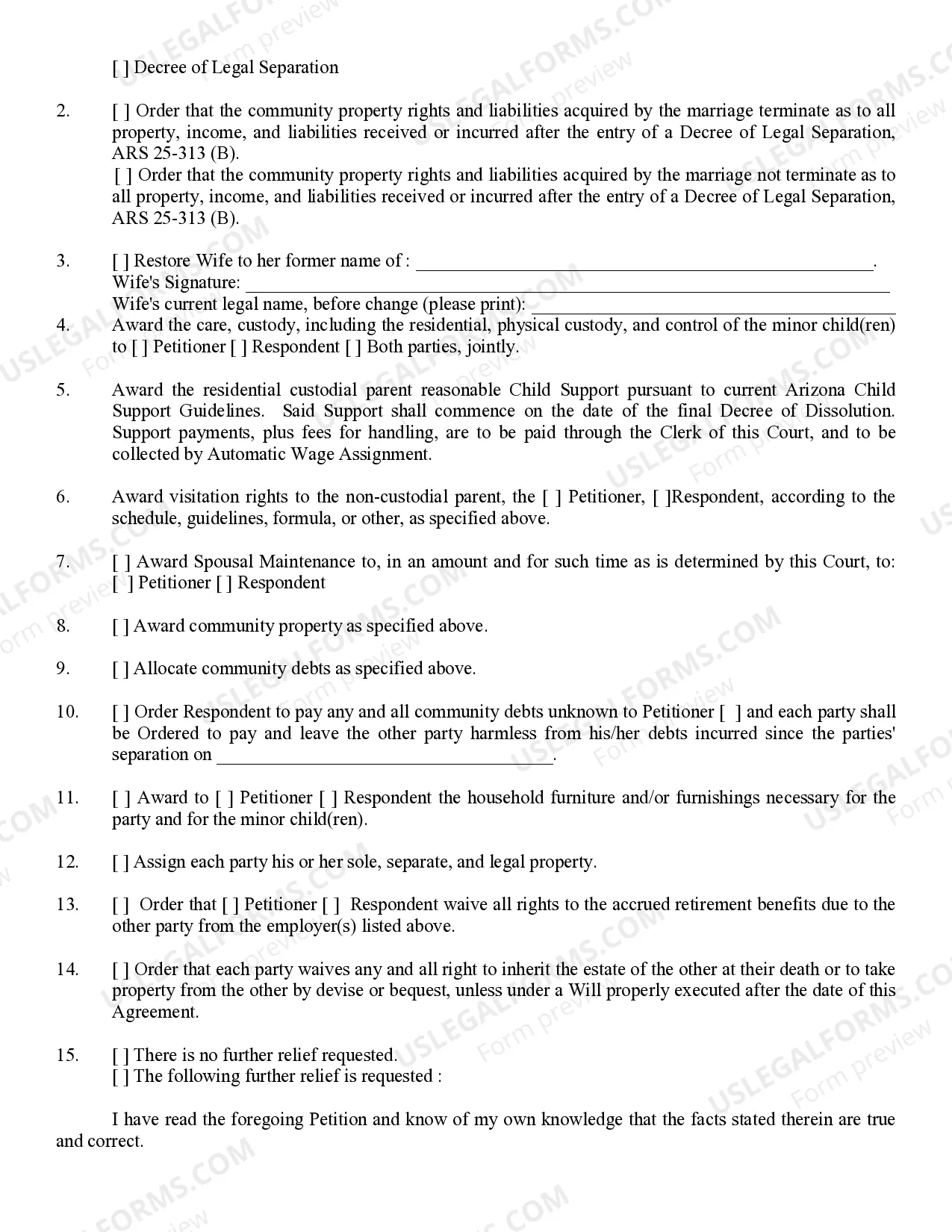
The Amended Petition is a legal document used in divorce proceedings to update or correct information from an original divorce petition. This form allows the petitioner to add new details or omit previous statements to reflect changes in circumstances or claims. Unlike an original petition, this amended version ensures that all relevant information is accurately presented to the court.
This form should be used when you need to amend your original divorce petition in Arizona. Situations where this may be necessary include changes in asset division, updates regarding child custody arrangements, or additional claims for spousal support. It is vital to ensure that the court has the most accurate and complete information during your divorce proceedings.
This form is intended for individuals who have already filed an original petition for divorce and need to make amendments to that filing. It is suitable for both petitioners and respondents involved in divorce proceedings in Arizona.
Notarization is required for this form to take effect. Our online notarization service, powered by Notarize, lets you verify and sign documents remotely through an encrypted video session, available 24/7.
Our built-in tools help you complete, sign, share, and store your documents in one place.
Make edits, fill in missing information, and update formatting in US Legal Forms—just like you would in MS Word.
Download a copy, print it, send it by email, or mail it via USPS—whatever works best for your next step.
Sign and collect signatures with our SignNow integration. Send to multiple recipients, set reminders, and more. Go Premium to unlock E-Sign.
If this form requires notarization, complete it online through a secure video call—no need to meet a notary in person or wait for an appointment.
We protect your documents and personal data by following strict security and privacy standards.

Make edits, fill in missing information, and update formatting in US Legal Forms—just like you would in MS Word.

Download a copy, print it, send it by email, or mail it via USPS—whatever works best for your next step.

Sign and collect signatures with our SignNow integration. Send to multiple recipients, set reminders, and more. Go Premium to unlock E-Sign.

If this form requires notarization, complete it online through a secure video call—no need to meet a notary in person or wait for an appointment.

We protect your documents and personal data by following strict security and privacy standards.
Rule 32 in Arizona outlines the post-conviction relief process, allowing individuals to challenge their convictions and seek a new trial or sentencing. This rule is crucial for those who discover new evidence or face legal mistakes. Filing an Arizona Amended Petition can help you capitalize on these opportunities, enabling a fresh examination of your case. Utilizing legal platforms can streamline your petition process effectively.
Rule 26.2 in Arizona requires the disclosure of witness statements prior to trial. This rule aims to promote fairness and transparency in legal proceedings by ensuring all parties have access to relevant information. If you find yourself needing to revisit the evidence or seek modifications, an Arizona Amended Petition can be utilized. Legal forms and resources can make this process easier to navigate.
Family Rule 48 in Arizona deals with the procedure for the appointment of a guardian or conservator for a minor or incapacitated person. This rule ensures that the individual’s best interests are prioritized during such proceedings. If you are looking to amend a related court order, an Arizona Amended Petition may be your pathway to a desired outcome. Legal resources are available to guide you through your options.
Rule 29 in Arizona governs the situation in which a defendant may file a motion for judgment of acquittal. This motion can occur after the prosecution presents its case, allowing the court to dismiss charges if there is insufficient evidence. If you believe your case can be strengthened, an Arizona Amended Petition could provide new avenues for relief. Consulting with an expert can help clarify this process.
Rule 69 in Arizona pertains to the process for executing judgments. It outlines the methods a party can use to enforce a court's decision, such as seizing assets or garnishing wages. Understanding Rule 69 is vital as it can directly affect the enforcement of any amended judgments resulting from an Arizona Amended Petition. Seeking assistance from professionals can simplify the complexities of this process.
Rule 26 discovery in Arizona refers to the pre-trial process where parties obtain information from each other. This discovery process allows for a comprehensive exchange of relevant materials, ensuring that both sides are adequately prepared. If you are navigating an Arizona Amended Petition, understanding the nuances of Rule 26 discovery will empower you to gather essential evidence effectively.
Rule 26b defines the scope of discovery in Arizona, outlining what information can be obtained during a case. This rule aims to provide a balance between the parties' rights to discover relevant evidence while also protecting sensitive information. Knowledge of Rule 26b is vital when preparing an Arizona Amended Petition to ensure all necessary evidence is accessible.
Rule 26.1 disclosure in Arizona involves sharing important information and documents with opposing parties. This process is meant to foster transparency and expedite litigation. If you are working on an Arizona Amended Petition, complying with Rule 26.1 can help avoid surprises and streamline your case.
Rule 26.5 addresses the handling of electronically stored information during litigation. This rule includes requirements for preserving, identifying, and exchanging electronic evidence. For those filing an Arizona Amended Petition, being aware of Rule 26.5 ensures that valuable electronic information is properly managed.
Local Rule 26.1 A outlines specific disclosure requirements that differ from the general statewide rules. It provides particular guidelines on how parties must exchange information in the context of Arizona’s judiciary. Understanding these local provisions can be beneficial when submitting an Arizona Amended Petition.