If you wish to be thorough, obtain, or create legal document templates, utilize US Legal Forms, the largest collection of legal forms available online.
Take advantage of the website's simple and user-friendly search feature to locate the documents you require.
Various templates for business and personal uses are organized by categories and states, or keywords.
Step 5. Complete the transaction. You can utilize your Visa or Mastercard or PayPal account to finalize the payment.
Step 6. Select the format of the legal document and download it to your device.
To write an agency agreement, start by clearly stating the involvement of each party, similar to the Alabama Agreement between General Sales Agent and Manufacturer with Exclusive Territory. Include specific terms regarding territory, product details, commission structures, and any other relevant clauses. Review the agreement thoroughly to ensure clarity, and have both parties sign to create a legally binding document.
Creating an agency agreement involves drafting a document that specifies parameters like territory and responsibilities, typically seen in the Alabama Agreement between General Sales Agent and Manufacturer with Exclusive Territory. Both the manufacturer and the sales agent should negotiate the terms to ensure mutual benefit. Once the document is comprehensive and agreeable, both parties should sign it to finalize the creation.
A valid agency agreement, such as the Alabama Agreement between General Sales Agent and Manufacturer with Exclusive Territory, requires mutual consent from both parties, clear terms, and a lawful purpose. Both parties must understand the agreement's obligations and rights clearly. Additionally, the agreement must be written, signed, and dated to ensure enforceability.
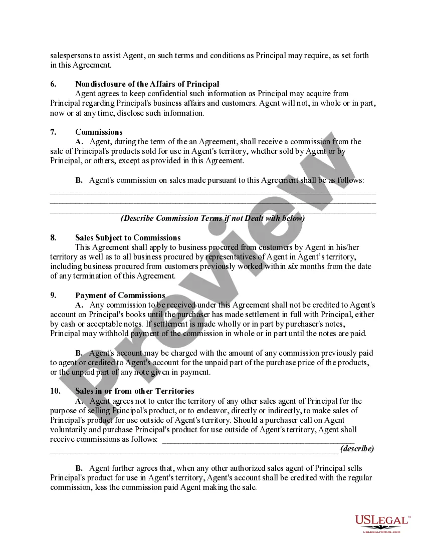
An example of agency by agreement could be found in the Alabama Agreement between General Sales Agent and Manufacturer with Exclusive Territory. In this scenario, the manufacturer designates the sales agent as their legal representative in a specific market area. This setup allows the sales agent to act on behalf of the manufacturer, driving sales and expanding market reach.
To write a simple contract agreement, start with a clear title that reflects the purpose, such as 'Alabama Agreement between General Sales Agent and Manufacturer with Exclusive Territory.' Clearly define the involved parties, outline the terms and conditions, and identify any payment details. Ensure you include signature lines for both parties to formalize the agreement.
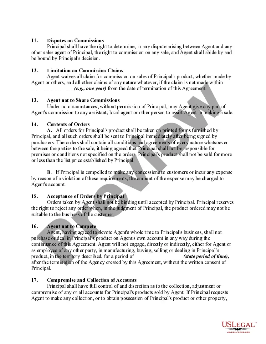
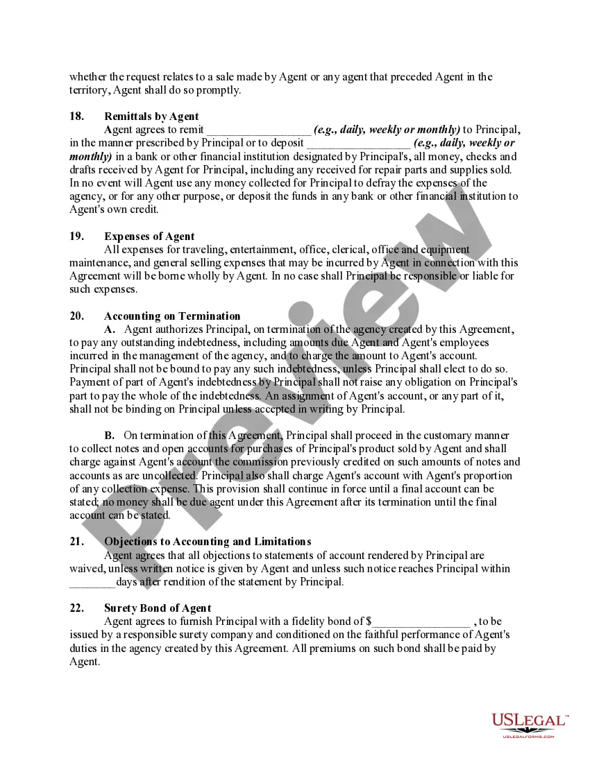
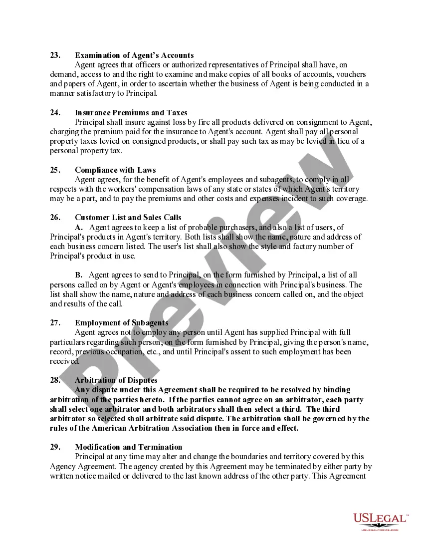
The Alabama Agreement between General Sales Agent and Manufacturer with Exclusive Territory is a formal arrangement between a manufacturer and a sales agent. This agreement outlines the rights and responsibilities of both parties, ensuring the sales agent has exclusive rights to sell the manufacturer’s products in a specified territory. Such agreements foster clear communication, boosting confidence in business transactions.
To make an agent agreement, first identify the roles of each party and the scope of authority granted. Clearly articulate the terms for commissions, obligations, and any exclusivity arrangements. This is where an Alabama Agreement between General Sales Agent and Manufacturer with Exclusive Territory can be particularly useful, ensuring all terms are well-defined and legally enforceable.
A general agreement contract is a foundational legal document that outlines the mutual obligations and responsibilities between parties engaged in a business relationship. It often serves as a broad framework for various transactions, setting the stage for specific agreements. The Alabama Agreement between General Sales Agent and Manufacturer with Exclusive Territory acts as a robust example of such a contract.
To write a sales commission agreement, define the commission structure clearly, including rates and payment terms related to sales achieved. Include measurable performance metrics, along with the duration of the agreement. Utilizing an Alabama Agreement between General Sales Agent and Manufacturer with Exclusive Territory streamlines the process by incorporating necessary legal language and expectations.
General sales refer to the process of selling products or services to customers in a standard commercial setting. This entails marketing, negotiation, and transaction completion. An Alabama Agreement between General Sales Agent and Manufacturer with Exclusive Territory facilitates these general sales by establishing clear terms and expectations for all parties involved.





