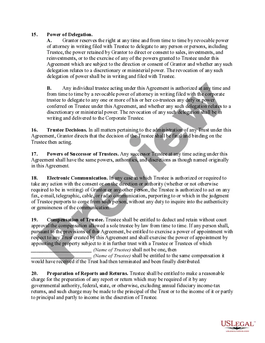
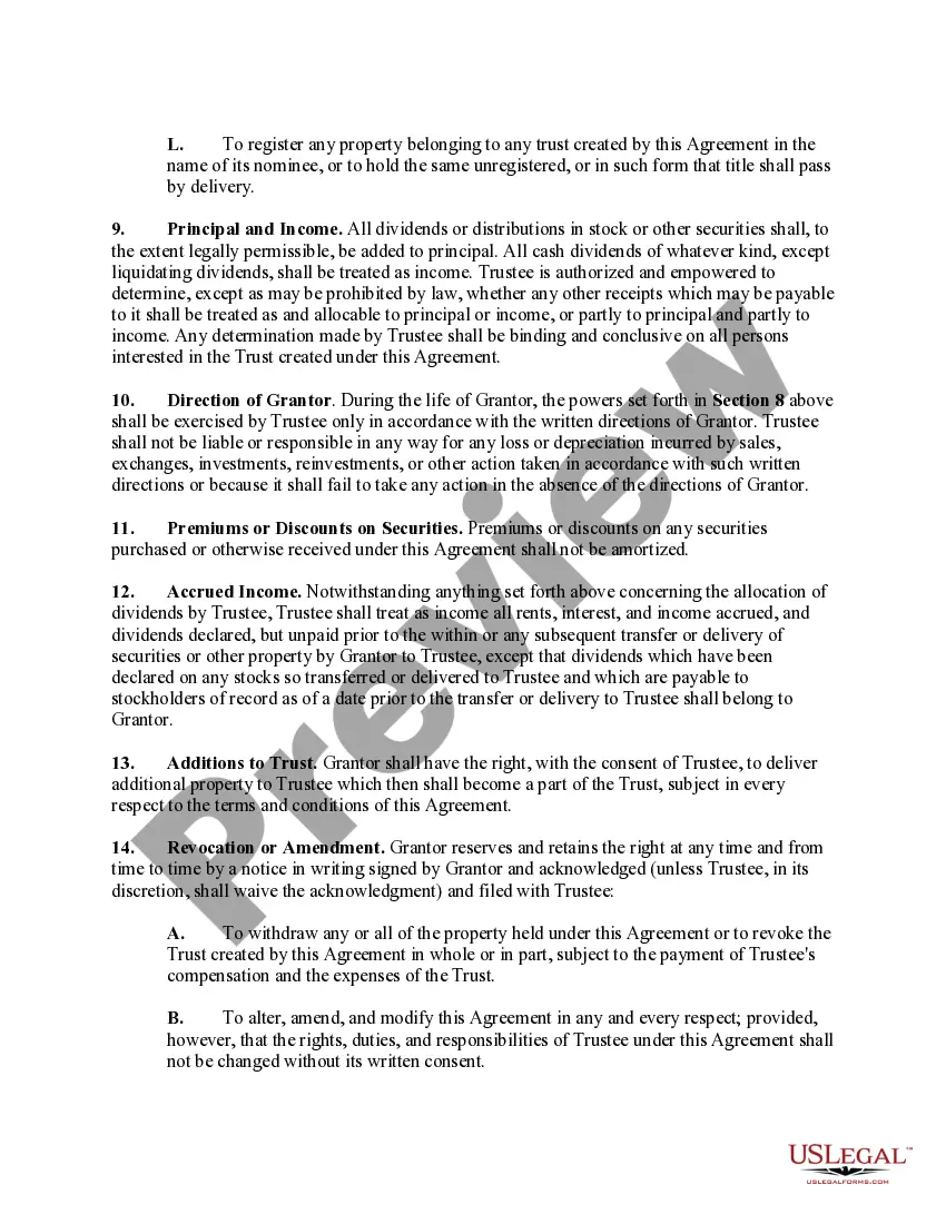
Alaska Revocable Trust Agreement with Corporate Trustee

State:
Multi-State
Control #:
US-0377BG
Format:
Word; 
Rich Text
Instant download

Description

A revocable trust is a trust that can be modified or revoked by the settler. In such trusts, the settler reserves the right to terminate the trust and recover the trust property and any undistributed income. Revocable trusts are considered grantor trusts and therefore the income is taxed to the settler and the assets in the trust at the time of settlers death are included in the settlers taxable estate.
Free preview
  • Preview Revocable Trust Agreement with Corporate Trustee
  • Preview Revocable Trust Agreement with Corporate Trustee
  • Preview Revocable Trust Agreement with Corporate Trustee
  • Preview Revocable Trust Agreement with Corporate Trustee
  • Preview Revocable Trust Agreement with Corporate Trustee
  • Preview Revocable Trust Agreement with Corporate Trustee
  • Preview Revocable Trust Agreement with Corporate Trustee
  • Preview Revocable Trust Agreement with Corporate Trustee

How to fill out Revocable Trust Agreement With Corporate Trustee?

If you want to complete, download, or print authentic document templates, utilize US Legal Forms, the premier collection of legal forms available online.

Make use of the site’s straightforward and user-friendly search to locate the documents you require.

A selection of templates for business and personal use are organized by categories and states, or by keywords.

Step 4. Once you’ve found the form you need, select the Get now button. Choose the pricing plan you prefer and provide your details to register for an account.

Step 5. Process the transaction. You can use your Misa or MasterCard or PayPal account to complete the purchase.

  1. Use US Legal Forms to quickly find the Alaska Revocable Trust Agreement with Corporate Trustee.
  2. If you are already a US Legal Forms customer, Log In to your account and click the Obtain button to locate the Alaska Revocable Trust Agreement with Corporate Trustee.
  3. You can also access forms you previously downloaded in the My documents tab of your account.
  4. If you're using US Legal Forms for the first time, follow the instructions below.
  5. Step 1. Ensure that you have chosen the form for your correct city/region.
  6. Step 2. Use the Review option to examine the form’s content. Don’t forget to read the details.
  7. Step 3. If you are not satisfied with the form, utilize the Search field at the top of the screen to find other versions in the legal form design.

Form popularity

FAQ

Corporate trustees are departments at banks or other investment firms hired to build and manage a trust. People hire corporate trustees for their professional experience in trust matters that a family member or friend may not have.

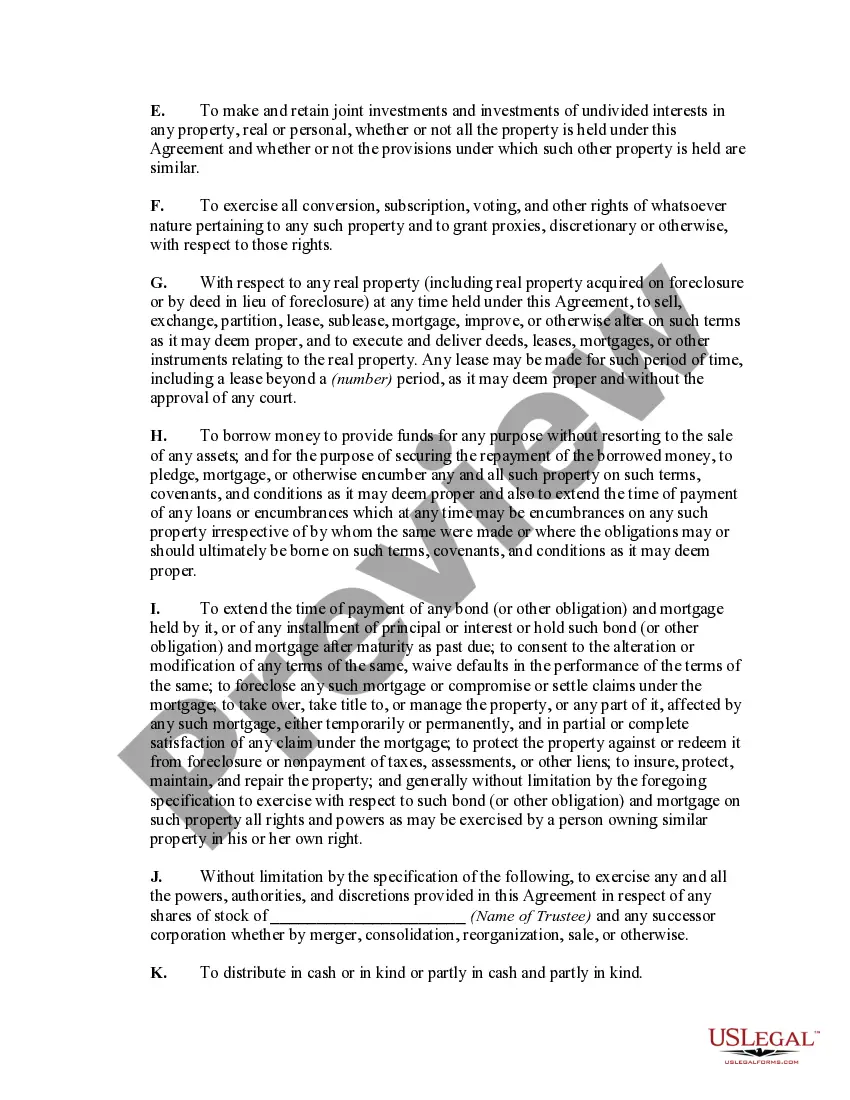
The trustee usually has the power to retain trust property, reinvest trust property or, with or without court authorization, sell, convey, exchange, partition, and divide trust property.

The short answer is yes, a trustee can also be a trust beneficiary. One of the most common types of trust is the revocable living trust, which states the person's wishes for how their assets should be distributed after they die. Many people use living trusts to guide the inheritance process and avoid probate.

Yes, a corporate trustee can be the beneficiary of the trust - as long as you include the trustee's name and their capacity.

The trustee acts as the legal owner of trust assets, and is responsible for handling any of the assets held in trust, tax filings for the trust, and distributing the assets according to the terms of the trust. Both roles involve duties that are legally required.

The trust allows the trustee to gift from the trust to the current beneficiary's issue up to the annual gift exclusion (currently $15K).

The trustee cannot fail to carry out the wishes and intent of the settlor and cannot act in bad faith, fail to represent the best interests of the beneficiaries at all times during the existence of the trust and fail to follow the terms of the trust. A trustee cannot fail to carry out their duties.

If you're wondering can a trust own a corporation, the answer is yes, but only specific types of trusts qualify. As a legally separate entity, a trust manages and holds specific assets for a beneficiary's benefit.

A trust is a relationship where one person or company (the trustee) holds assets for the benefit of another (the beneficiary). When contracting on behalf of the beneficiaries, a trustee typically wishes to limit its liabilities to the extent to which it is indemnified out of the trust assets.

To distribute real estate held by a trust to a beneficiary, the trustee will have to obtain a document known as a grant deed, which, if executed correctly and in accordance with state laws, transfers the title of the property from the trustee to the designated beneficiaries, who will become the new owners of the asset.

Trusted and secure by over 3 million people of the world’s leading companies

Alaska Revocable Trust Agreement with Corporate Trustee