Example Of A Simple Contract Agreement

State:
Multi-State
Control #:
US-MJ607
Format:
Word; 
Rich Text
Instant download

Description

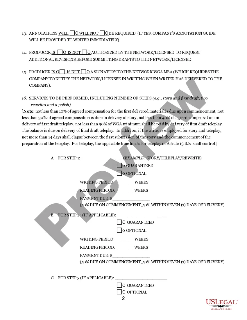
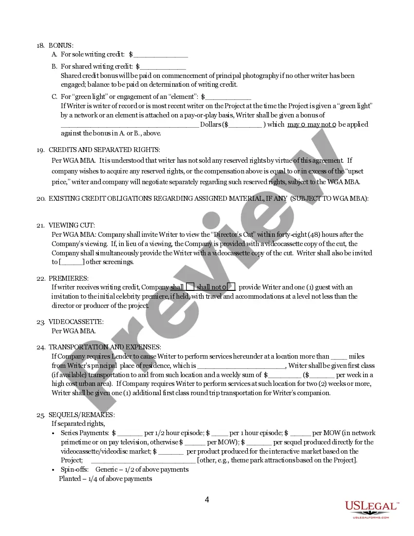
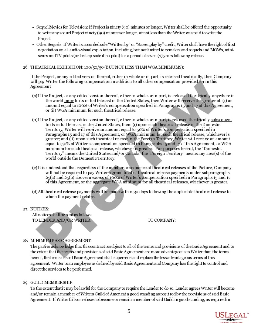
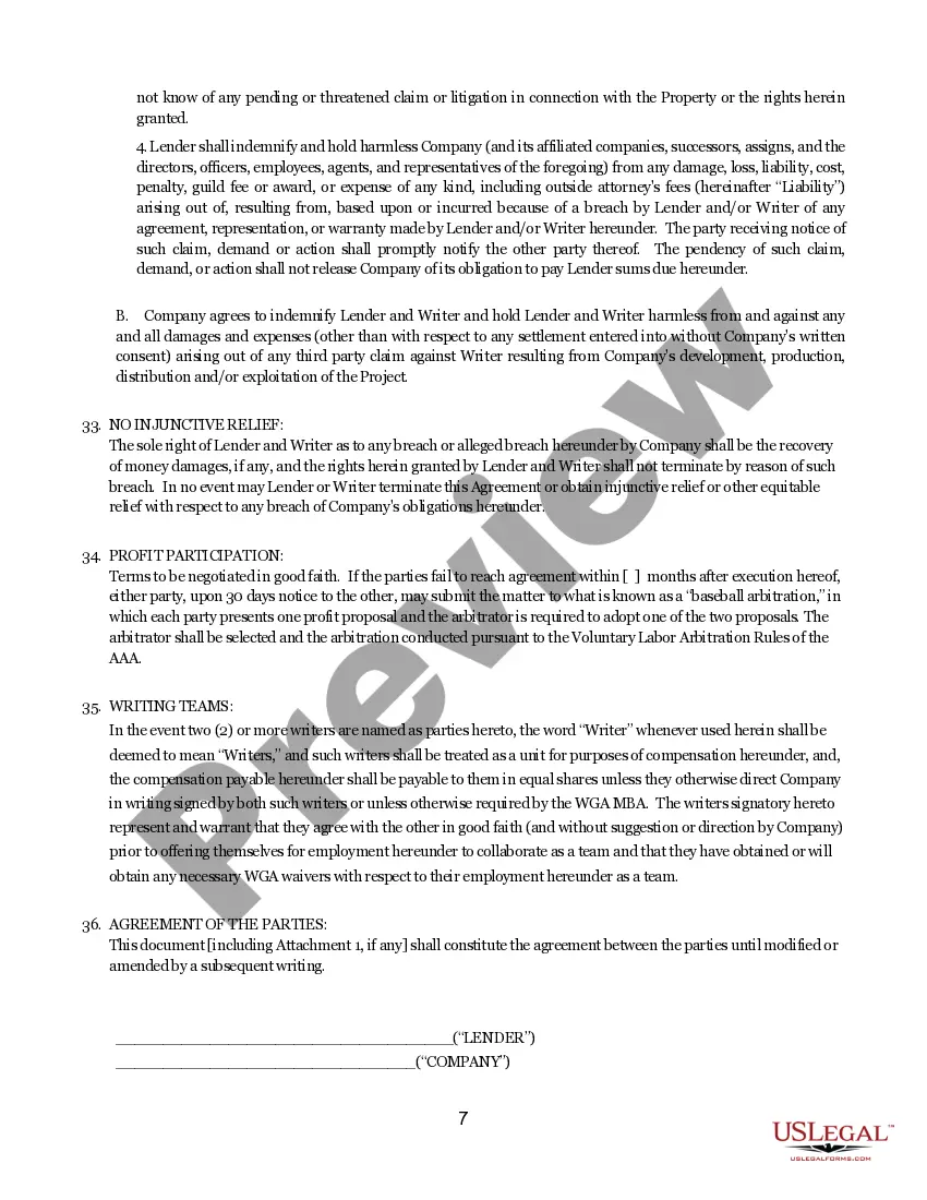
The Television Short-Form Contract – Writers Lending Agreement is an example of a simple contract agreement designed for writers lending their services to a production company for movies of the week and mini-series. This form includes essential details such as project name, company details, compensation structure, and specific terms regarding the services to be performed. Users must complete sections detailing the project scope, writer compensation, and any conditions precedent, such as tax forms. Important features include guarantees for payment, profit participation terms, and rights regarding sequels and remakes, ensuring that writers are compensated and credited appropriately. This form is practical for attorneys, partners, owners, associates, paralegals, and legal assistants who need to draft precise agreements in the entertainment industry, protecting the rights of both the writer and the company. Clear filling and editing instructions make it accessible to users with varied legal experience, ensuring compliance with industry standards.
Free preview
  • Preview Writers Guild Of America - Television Short Form Contract Writers Lending Agreement - For Movies of The Week And Mini-Series
  • Preview Writers Guild Of America - Television Short Form Contract Writers Lending Agreement - For Movies of The Week And Mini-Series
  • Preview Writers Guild Of America - Television Short Form Contract Writers Lending Agreement - For Movies of The Week And Mini-Series
  • Preview Writers Guild Of America - Television Short Form Contract Writers Lending Agreement - For Movies of The Week And Mini-Series
  • Preview Writers Guild Of America - Television Short Form Contract Writers Lending Agreement - For Movies of The Week And Mini-Series
  • Preview Writers Guild Of America - Television Short Form Contract Writers Lending Agreement - For Movies of The Week And Mini-Series
  • Preview Writers Guild Of America - Television Short Form Contract Writers Lending Agreement - For Movies of The Week And Mini-Series
  • Preview Writers Guild Of America - Television Short Form Contract Writers Lending Agreement - For Movies of The Week And Mini-Series
  • Preview Writers Guild Of America - Television Short Form Contract Writers Lending Agreement - For Movies of The Week And Mini-Series
  • Preview Writers Guild Of America - Television Short Form Contract Writers Lending Agreement - For Movies of The Week And Mini-Series

How to fill out Writers Guild Of America - Television Short Form Contract Writers Lending Agreement - For Movies Of The Week And Mini-Series?

Locating a preferred spot to obtain the latest and pertinent legal templates is a significant part of navigating bureaucracy.

Identifying the correct legal documents demands accuracy and carefulness, which is why it is essential to source templates like Example Of A Simple Contract Agreement exclusively from trustworthy providers such as US Legal Forms. An incorrect template will squander your time and hinder your current situation.

Eliminate the frustration associated with your legal documentation. Explore the extensive US Legal Forms catalog where you can discover legal templates, assess their pertinence to your circumstances, and download them instantly.

  1. Utilize the catalog browsing or search bar to locate your template.
  2. Access the form’s details to confirm it aligns with the needs of your state and county.
  3. View the form preview, if provided, to verify the form matches your interest.
  4. Return to the search to find the correct template if the Example Of A Simple Contract Agreement does not satisfy your needs.
  5. If you are confident about the form’s suitability, download it.
  6. As an authorized user, click Log in to verify and access your chosen forms in My documents.
  7. If you do not possess an account yet, click Buy now to acquire the template.
  8. Choose the pricing plan that accommodates your requirements.
  9. Proceed to the registration to complete your transaction.
  10. Conclude your purchase by selecting a payment option (credit card or PayPal).
  11. Choose the file format for downloading Example Of A Simple Contract Agreement.
  12. After receiving the form on your gadget, you can modify it using the editor or print it for manual completion.

Form popularity

FAQ

Steps to Writing a Contract Cover page - Use this to outline the basic information like the names of the parties, the offer, and the exchange. Introduction of the parties involved - Mention each party's legal name. Beginning and end dates - State how long the contract lasts and if it is renewable.

An agreement is a promise or arrangement between two or more parties to do, or not do, something. It's usually informal and sometimes unwritten (but not always). Some examples of agreements include a letter of intent, or a confidentiality agreement that precedes a commercial discussion.

In contract law, a simple contract is a contract made orally or in writing or both of them rather than a contract made under seal. Simple contracts require consideration to be valid, but simple contracts may be implied from the conduct of parties bound by the contract.

Write the contract in six steps Start with a contract template. ... Open with the basic information. ... Describe in detail what you have agreed to. ... Include a description of how the contract will be ended. ... Write into the contract which laws apply and how disputes will be resolved. ... Include space for signatures.

A simple contract might include an agreement between two acquaintances to exchange one service for another. For example, if one person is a plumber and the other an electrician, they might agree to complete certain work for each other as a trade exchange.

Trusted and secure by over 3 million people of the world’s leading companies

Example Of A Simple Contract Agreement