Irrevocable Without Recourse Letter Of Credit

State:
Missouri
Control #:
MO-04305BG
Format:
Word; 
Rich Text
Instant download

Description

The Irrevocable Without Recourse Letter of Credit is a crucial financial document that guarantees payment to a beneficiary without the obligation of recourse against the issuer. This type of credit ensures that the beneficiary receives the funds without needing to prove default or fault on the part of the client. Key features include its irrevocability, meaning it cannot be modified or canceled once issued, providing significant security for the beneficiary. Users must carefully fill out the form, ensuring accuracy in the beneficiary's details, amount, and terms of payment to avoid complications. Editing instructions emphasize not altering the fundamental terms after issuance. This letter of credit is particularly useful in transactions where trust and assurance are paramount, such as real estate agreements, business deals, and international trade. It offers peace of mind for parties involved by ensuring that funds will be available when needed. Therefore, attorneys, partners, owners, associates, paralegals, and legal assistants should understand its application to safeguard their clients' financial interests.
Free preview
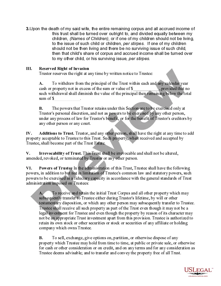
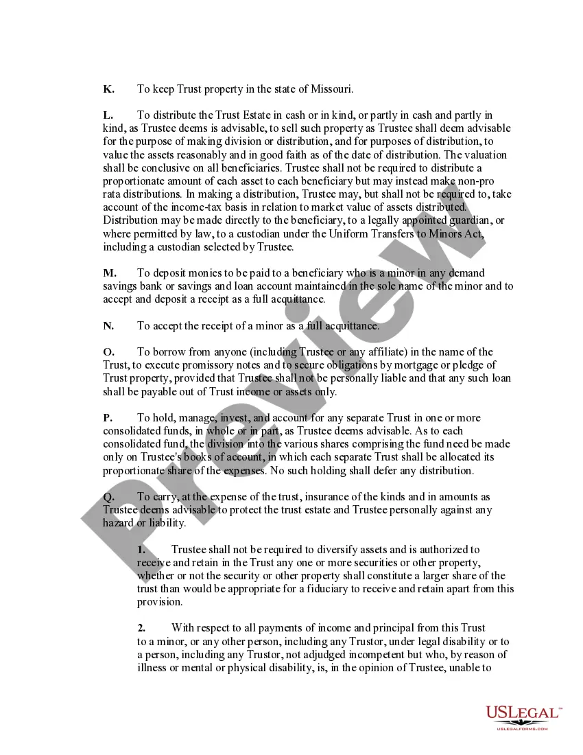
  • Preview Self-Settled Irrevocable Trust for Lifetime Benefit of Trustor with Power of Invasion in Trustor
  • Preview Self-Settled Irrevocable Trust for Lifetime Benefit of Trustor with Power of Invasion in Trustor
  • Preview Self-Settled Irrevocable Trust for Lifetime Benefit of Trustor with Power of Invasion in Trustor
  • Preview Self-Settled Irrevocable Trust for Lifetime Benefit of Trustor with Power of Invasion in Trustor
  • Preview Self-Settled Irrevocable Trust for Lifetime Benefit of Trustor with Power of Invasion in Trustor
  • Preview Self-Settled Irrevocable Trust for Lifetime Benefit of Trustor with Power of Invasion in Trustor
  • Preview Self-Settled Irrevocable Trust for Lifetime Benefit of Trustor with Power of Invasion in Trustor
  • Preview Self-Settled Irrevocable Trust for Lifetime Benefit of Trustor with Power of Invasion in Trustor

How to fill out Missouri Self-Settled Irrevocable Trust For Lifetime Benefit Of Trustor With Power Of Invasion In Trustor?

What is the most dependable service to acquire the Irrevocable Without Recourse Letter Of Credit and other recent iterations of legal paperwork? US Legal Forms is the answer!

It boasts the most comprehensive assortment of legal documents for every circumstance. Each template is skillfully crafted and verified for adherence to federal and local laws. They are organized by region and state of application, so finding what you need is a straightforward task.

US Legal Forms is an ideal solution for anyone needing to manage legal documents. Premium subscribers can enjoy even more features since they can complete and sign previously saved forms electronically at any time using the integrated PDF editing tool. Try it out now!

  1. Veteran users of the website only need to Log In to the system, confirm if their subscription is active, and click the Download button adjacent to the Irrevocable Without Recourse Letter Of Credit to acquire it.
  2. Once saved, the template remains accessible for future reference within the My documents section of your account.
  3. If you do not have an account with our repository yet, here are the steps to create one.
  4. Form compliance review. Prior to obtaining any template, ensure it meets your usage needs and complies with your state or county's regulations. Review the form description and use the Preview option if available.

Form popularity

FAQ

The primary difference lies in the ability to seek repayment. With recourse, the beneficiary can demand payment from the bank if the applicant fails to fulfill their part of the agreement. Conversely, without recourse means the bank has no claim against the applicant after making payment. Understanding these differences helps parties choose the right type of letter of credit, such as the irrevocable without recourse letter of credit, suited for their needs.

To be without recourse indicates that one party cannot seek repayment or recourse against another after fulfilling their obligation. In the context of a letter of credit, it means that once the bank pays the beneficiary, they assume all risks and cannot demand payment back from the applicant. This concept is particularly vital in an irrevocable without recourse letter of credit, providing peace of mind to those involved.

Without recourse in a letter of credit signifies that the issuer cannot pursue the applicant for payment after making a payment. This term is crucial because it limits the risk for the bank, as it cannot later demand repayment from the applicant. This arrangement is beneficial in an irrevocable without recourse letter of credit, providing greater assurance to both buyers and sellers.

An irrevocable letter of credit is a financial instrument that cannot be changed or canceled without consent from all parties involved. This type of letter of credit provides assurance to the beneficiary that the payment will be made, as long as they meet the specified terms. Choosing an irrevocable without recourse letter of credit enhances financial security for transactions.

An irrevocable letter of credit without recourse means that once the bank issues it, the terms cannot be modified without agreement from all parties involved. Additionally, the 'without recourse' clause indicates that the bank cannot later seek repayment from the buyer if the seller fails to fulfill their obligations. This type of arrangement assures the seller of payment and provides them with added security.

Recourse in a letter of credit refers to the ability of the beneficiary to seek repayment from the issuing bank if the applicant defaults on their obligations. This means that the bank has an obligation to honor the payment upon demand, provided the terms of the LC are met. It's important to note that an irrevocable without recourse letter of credit limits this option, as it protects the bank from such claims.

Monetizing a non-transferable SBLC is possible, although it comes with more specific conditions. While the non-transferable nature limits its movement between parties, it can still be leveraged for immediate financing solutions based on its value. Investors looking to utilize an irrevocable without recourse letter of credit as a financial tool may find secure options through platforms like US Legal Forms, which guide users in navigating these transactions.

Non-recourse monetization of SBLC is achievable by engaging with financial institutions that recognize the irrevocable without recourse letter of credit. This process involves securing funding against the SBLC, allowing for immediate capital access while minimizing risks to the beneficiary. The banks or financial entities involved assess the creditworthiness of the SBLC, which facilitates a seamless monetization process.

recourse Standby Letter of Credit (SBLC) allows the beneficiary to draw funds without needing to repay the bank. Unlike traditional credits, this type of SBLC provides a safety net for the beneficiary in case of nonperformance by the other party. When considering an irrevocable without recourse letter of credit, understand that it offers heightened security, ensuring compliance without the risk of repayment obligations.

A 100% irrevocable LC at sight means that the payment will be made in full as soon as the seller meets the terms outlined in the credit. The seller can present the necessary documents to the bank to receive their payment without any delay. This type of LC provides assurance to the seller that payment is certain upon fulfillment of the conditions. It is a favorable option for sellers looking to secure prompt payment in international trade.

Trusted and secure by over 3 million people of the world’s leading companies

Irrevocable Without Recourse Letter Of Credit