Workflow Contratos

State:
Multi-State
Control #:
US-02497BG
Format:
Word; 
PDF; 
Rich Text
Instant download

Description

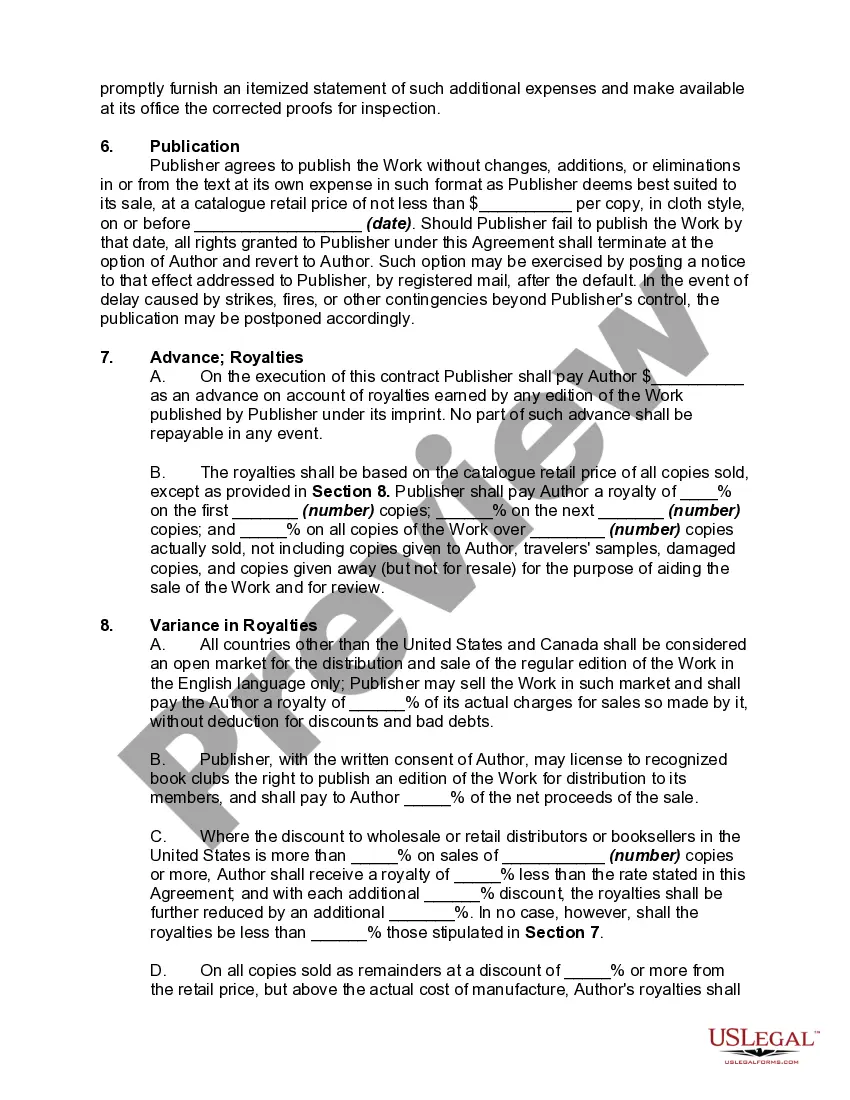
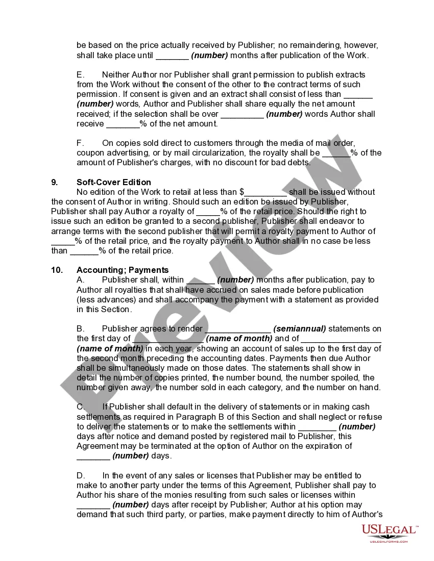
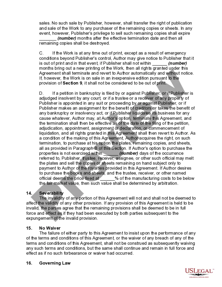
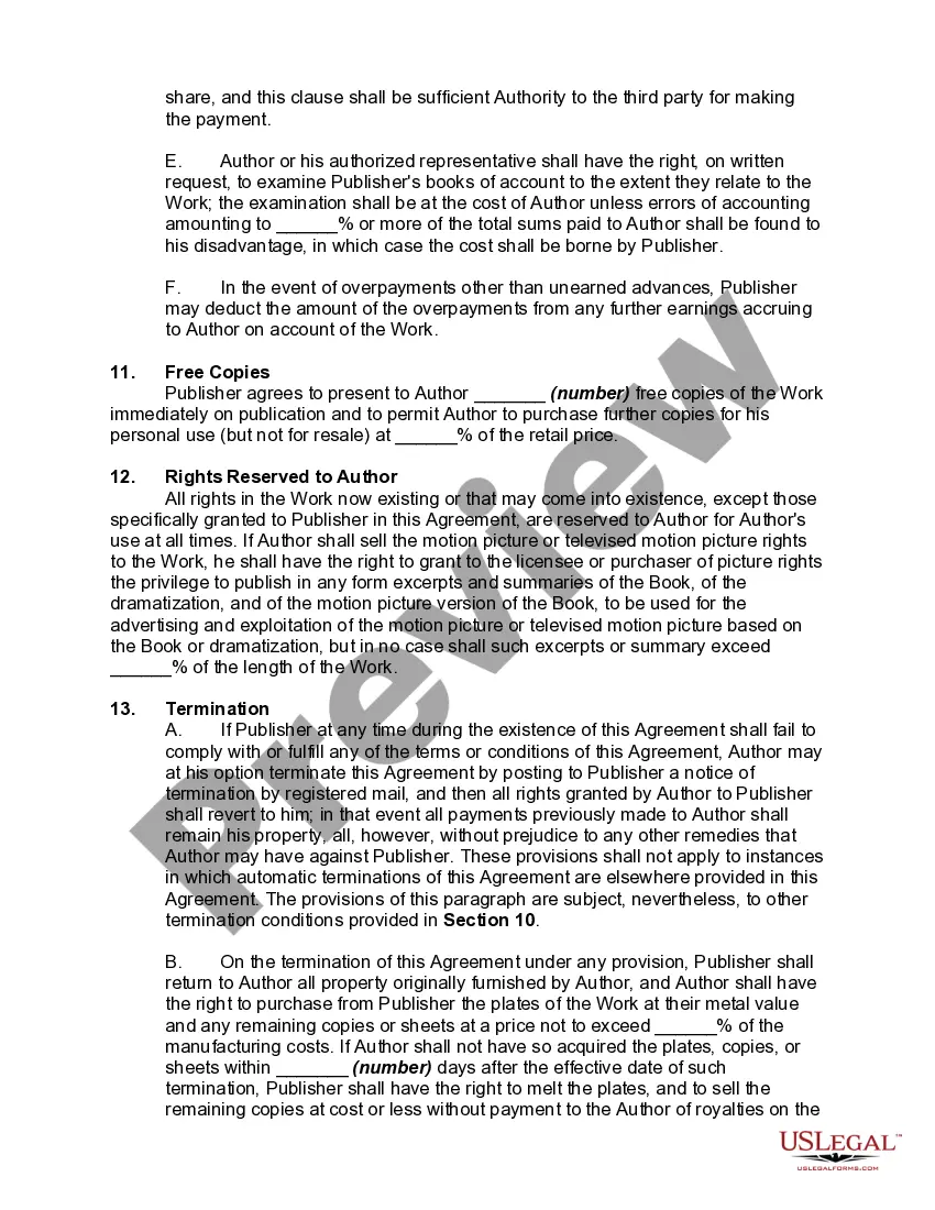
The Book Publishing Contract is a legal form designed to formalize the relationship between an author and a publisher. It includes critical sections covering the sale of publication rights, copyright agreements, and warranties that ensure the author holds exclusive rights to the work. The contract also outlines the delivery timeline for the manuscript, stipulations for galley and page proofs, and details regarding publication costs and royalties. It is tailored for professionals such as attorneys, publishing partners, and legal assistants who may need to review or negotiate such agreements. Filling out the form requires careful attention to ensure accuracy in names, dates, percentages, and publication details, while modifications must be documented in writing. Use cases for this form include protecting an author’s rights, establishing clear financial terms for royalties, and defining responsibilities in the event of contract termination. This contract serves as a vital tool for both established and emerging authors, ensuring legal clarity in publishing ventures.
Free preview
  • Preview Book Publishing Contract
  • Preview Book Publishing Contract
  • Preview Book Publishing Contract
  • Preview Book Publishing Contract
  • Preview Book Publishing Contract
  • Preview Book Publishing Contract
  • Preview Book Publishing Contract

How to fill out Book Publishing Contract?

  1. Login to your US Legal Forms account or create one if you're new to the service.
  2. Explore the diverse range of legal forms available. Use the Preview mode to confirm you’ve selected the appropriate document that aligns with your jurisdiction.
  3. If your chosen form isn’t suitable, utilize the Search tab to find a more fitting template.
  4. Purchase your selected document by clicking the 'Buy Now' button, and choose your preferred subscription plan.
  5. Complete the checkout process by entering your payment details, either through credit card or PayPal.
  6. Finally, download the completed template and access it any time through the 'My Forms' section of your profile.

In conclusion, US Legal Forms not only saves you time but also ensures you’re equipped with reliable legal documents. With access to over 85,000 customizable forms along with expert assistance, your needs can be met precisely and conveniently.

Start your smooth journey with legal paperwork today at US Legal Forms!

Form popularity

FAQ

Turning on workflow is an easy process within the Workflow contratos system. Go to the primary settings menu, and find the workflow section. From there, you can switch the workflow feature to 'On', ensuring that all relevant tasks and contracts follow the established workflow paths.

To activate a workflow scheme, head over to the Workflow contratos dashboard. You will find an option for managing workflow schemes. After selecting the desired scheme, simply click 'Activate' to implement its rules and procedures across your contract management processes.

Enabling the workflow feature is essential for managing your contracts effectively. Navigate to the Workflow contratos settings, and locate the option for 'Workflow Activation'. Once you enable it, your system will start processing contracts according to the predefined rules and stages.

The four types of workflows typically include sequential, parallel, state machine, and rules-driven workflows. Each type serves a different purpose in managing tasks and contracts effectively. Choosing the right workflow type in your Workflow contratos setup helps enhance productivity and streamline processes.

Enabling an approval workflow for workers is crucial for efficient contract management. Access the Workflow contratos settings, and locate the 'Approval Processes' option. You can then designate which contracts require approval and assign the appropriate users for seamless workflow integration.

Creating a workflow tracker is straightforward with the Workflow contratos tool. Begin by navigating to the 'Tracker' section within your dashboard. From there, you can set your desired parameters and start tracking your contracts all in one convenient location.

To enable workflow rules, you first need to access the settings of your Workflow contratos feature. Look for the section dedicated to rules and permissions. Once you find it, simply toggle the option to enable the desired workflow rules, ensuring that your transition processes are effective and smooth.

The stages of the workflow process typically include conception, design, implementation, monitoring, and completion. In the context of workflow contratos, these stages guide teams in organizing tasks and clarifying responsibilities. Following these stages can minimize misunderstandings and ensure that everyone is aligned towards common goals.

Getting things done involves defining tasks, organizing them by priority, scheduling their execution, reviewing progress, and adjusting plans as necessary. When applied to workflow contratos, these steps ensure that you remain focused on key objectives while adapting to changes in requirements. This systematic approach enhances productivity and fosters better team dynamics.

The five stages of workflow include planning, execution, monitoring, evaluation, and optimization. In workflow contratos, these stages facilitate a clear understanding of task progression and expectations. Engaging effectively with each stage leads to improved efficiency and better overall performance.

Interesting Questions

Trusted and secure by over 3 million people of the world’s leading companies

Workflow Contratos