Discovery Plan Template Formulary

State:
New Hampshire
Control #:
NH-BH-128-06
Format:
PDF
Instant download
This form is available by subscription

Description

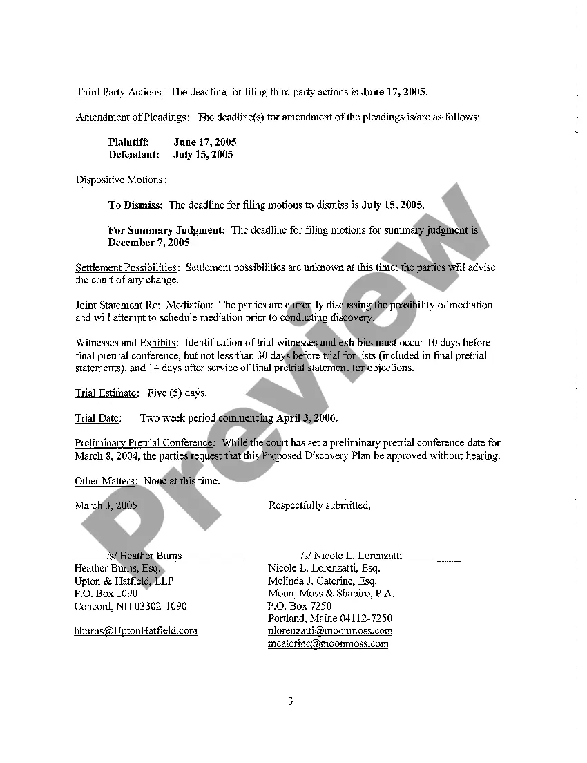
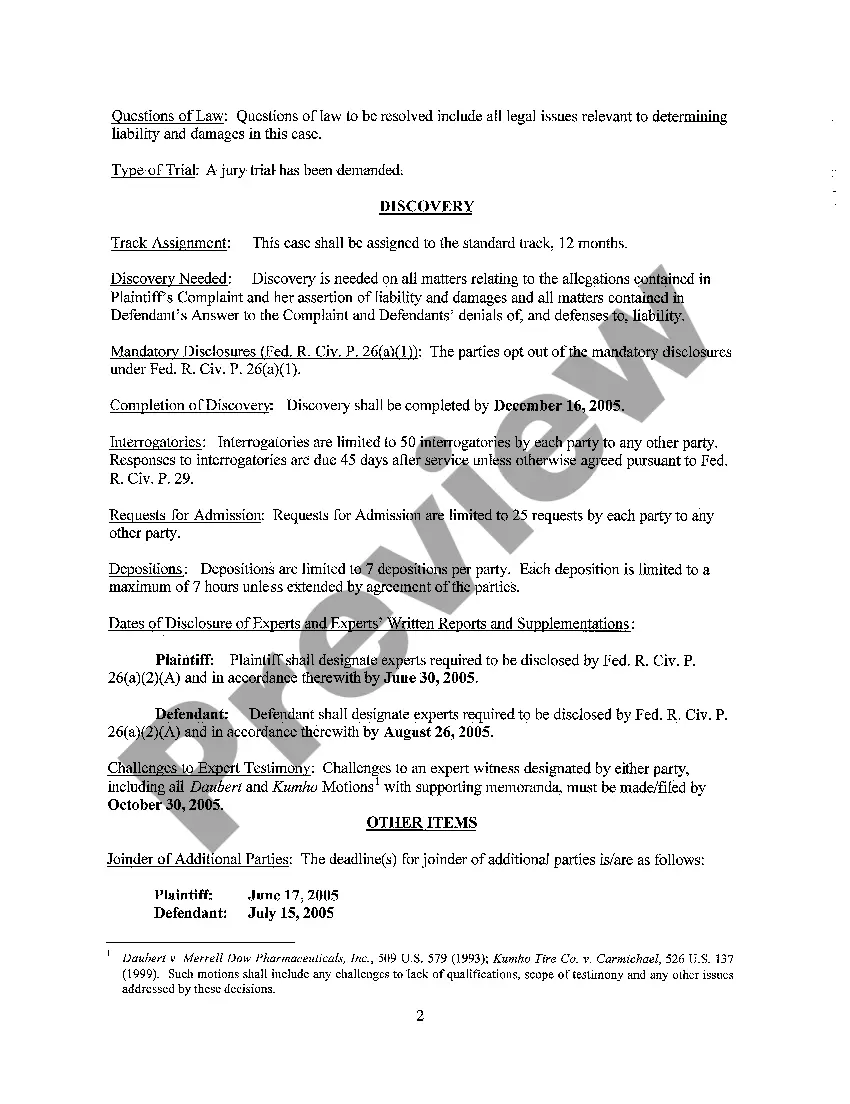
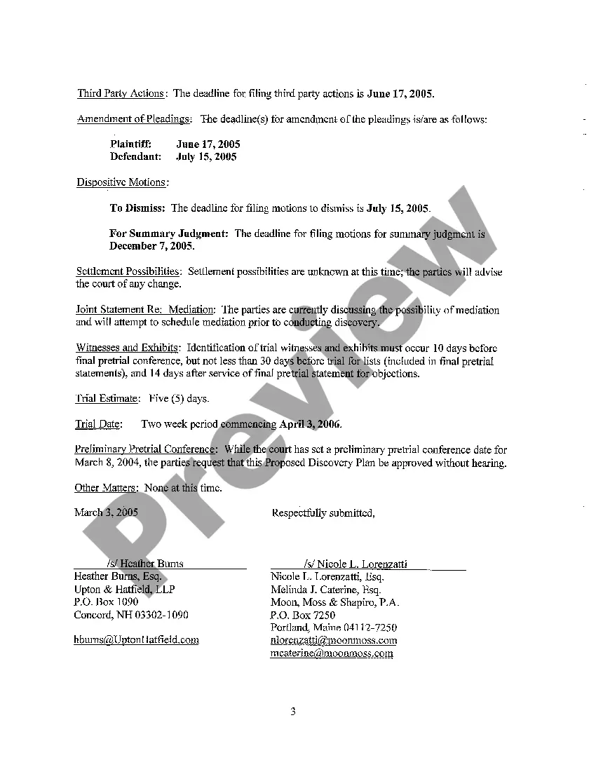
The Discovery Plan Template Formulary serves as a structured guide for legal professionals to outline their discovery strategy in litigation. This template includes sections for defining the scope of discovery, identifying parties involved, establishing timelines, and detailing methods for obtaining evidence. Attorneys, partners, owners, associates, paralegals, and legal assistants can utilize this form to ensure their discovery process is thorough and organized. Filling out the template requires clear input on each section, with specific instructions provided to facilitate the completion of each part. Legal practitioners can tailor the form to fit the unique circumstances of their case, making it a versatile tool. The template emphasizes clarity and structure, helping users avoid common pitfalls in discovery. By using this formulary, legal teams enhance their preparation and strategy, ultimately contributing to a more efficient legal process. This document is particularly useful in any civil litigation context where evidence collection is key.
Free preview
  • Preview A06 Proposed Discovery Plan
  • Preview A06 Proposed Discovery Plan
  • Preview A06 Proposed Discovery Plan
  • Preview A06 Proposed Discovery Plan
  • Preview A06 Proposed Discovery Plan
  • Preview A06 Proposed Discovery Plan
  • Preview A06 Proposed Discovery Plan
  • Preview A06 Proposed Discovery Plan

How to fill out New Hampshire Proposed Discovery Plan?

Establishing a reliable location to obtain the most current and suitable legal templates is a significant part of navigating bureaucratic processes.

Finding the appropriate legal documents requires accuracy and meticulousness, which is why it's essential to source Discovery Plan Template Formulary exclusively from reputable providers, such as US Legal Forms. An inaccurate template can squander your time and impede your situation.

Eliminate the stress associated with your legal documentation. Explore the vast US Legal Forms collection where you can find legal templates, assess their applicability to your needs, and download them instantly.

  1. Utilize the library navigation or search bar to find your template.
  2. View the form’s description to ensure it aligns with the criteria of your state and county.
  3. Access the form preview, if provided, to confirm that the form is indeed the one you need.
  4. Return to the search to locate the proper document if the Discovery Plan Template Formulary does not fulfill your requirements.
  5. If you are confident about the document's suitability, proceed to download it.
  6. As a registered user, click Log in to verify your identity and access your selected forms in My documents.
  7. If you have yet to create an account, click Buy now to purchase the template.
  8. Choose the payment plan that meets your needs.
  9. Continue the registration process to finalize your order.
  10. Complete your transaction by selecting a payment option (credit card or PayPal).
  11. Choose the file format for downloading the Discovery Plan Template Formulary.
  12. After obtaining the form on your device, you can modify it with the editor or print it out and fill it in by hand.

Form popularity

FAQ

To create a discovery plan, start by outlining your goals and objectives. Identify the essential elements, including stakeholders, timelines, and resources. Incorporating a Discovery plan template formulary can help ensure you include all necessary components while keeping the plan organized and efficient. US Legal Forms provides templates that can simplify this process.

A plan formulary is a comprehensive list of medications that an insurance plan covers. It outlines the drugs available, their tier levels, and any associated costs. Understanding the formulary is crucial for managing your healthcare expenses. For those looking to create or reference a formulary, a Discovery plan template formulary can be a helpful tool.

You can find your insurance plan's formulary by visiting your insurer's website or reviewing your policy documents. Typically, the formulary is included in the member handbook or can be accessed through a member portal. If you need further assistance, US Legal Forms offers valuable resources, including a Discovery plan template formulary to help guide your search.

To find your health insurance formulary, start by checking your insurance provider's website. Most companies provide an online searchable database of their formulary. If you prefer, you can also call customer service for assistance. Utilizing a Discovery plan template formulary can streamline your search for this important information.

An example of discovery could be a request for production of documents, where one party asks the other to provide emails, contracts, or other relevant records related to the case. This exchange of information is crucial for building a strong argument. A discovery plan template formulary can help you organize and track these requests effectively, ensuring you gather all necessary evidence.

The four main types of discovery are interrogatories, requests for production of documents, requests for admissions, and depositions. Interrogatories involve written questions that the opposing party must answer. Requests for production require parties to provide specific documents or evidence. Depositions allow attorneys to question witnesses under oath, gathering vital information for the case.

To draft a discovery plan, begin by defining the scope of discovery based on your case’s needs. Identify the information and documents necessary to support your claims or defenses. Then, specify the types of discovery tools you will utilize, and set deadlines for each step. A discovery plan template formulary can provide a solid foundation, making the drafting process more efficient and comprehensive.

Many cases do settle after discovery, as this phase often reveals critical information that impacts both parties' positions. By understanding the strengths and weaknesses of each side, negotiations can become more productive. Additionally, a well-structured discovery plan template formulary can facilitate transparency and promote settlement discussions, ultimately leading to resolution before trial.

Creating a discovery plan requires careful consideration and organization. Start by identifying the key issues in your case and listing the information needed to resolve those issues. Then, outline the types of discovery tools you will use, such as interrogatories or requests for documents, and set a timeline for each stage. Utilizing a discovery plan template formulary can streamline this process and ensure thorough preparation.

The step-by-step process of discovery involves several key phases. Initially, parties exchange initial disclosures, outlining relevant information. Next, they engage in written discovery, which includes interrogatories and document requests. Finally, depositions occur, where witnesses answer questions under oath, thereby completing the discovery phase.

Trusted and secure by over 3 million people of the world’s leading companies

Discovery Plan Template Formulary