Colorado Springs Colorado Affidavit of Understanding & Addendum to Purchase Agreement

Category:
State:
Multi-State
City:
Colorado Springs
Control #:
US-S023ST
Format:
Word; 
Rich Text
Instant download

Description

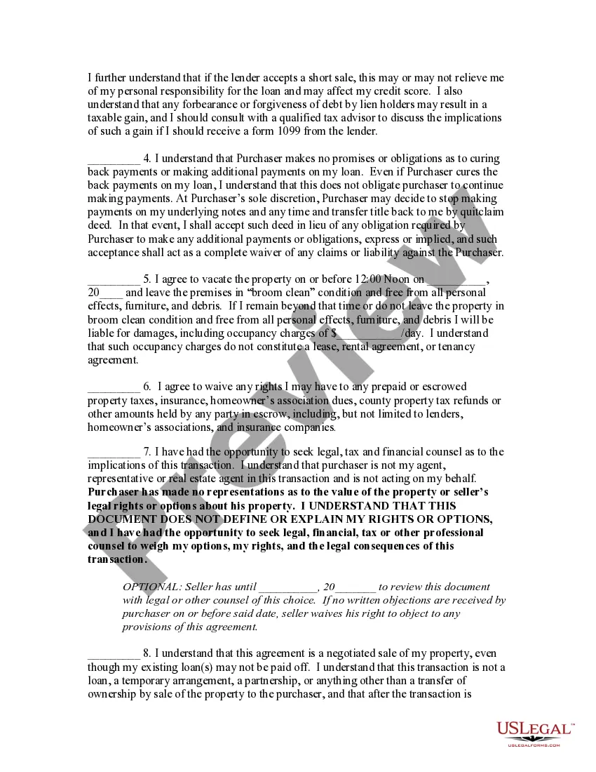
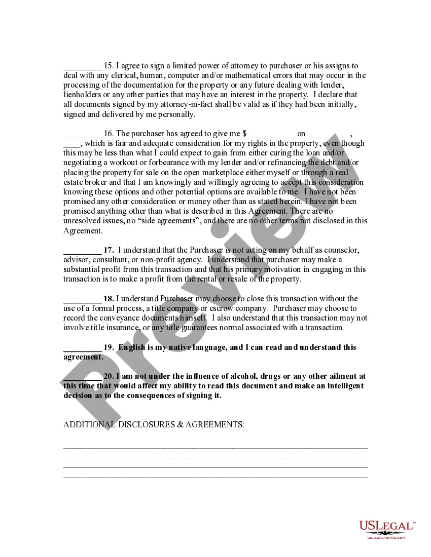
This affidavit is intended to be an ADDENDUM to a purchase contract with a seller in foreclosure, where your intention is to either short sale the deal, flip it or cure the loan and keep it. It should be signed contemporaneously with the signing of the purchase agreement and/or deed with the seller.
Free preview
  • Preview Affidavit of Understanding & Addendum to Purchase Agreement
  • Preview Affidavit of Understanding & Addendum to Purchase Agreement
  • Preview Affidavit of Understanding & Addendum to Purchase Agreement
  • Preview Affidavit of Understanding & Addendum to Purchase Agreement
  • Preview Affidavit of Understanding & Addendum to Purchase Agreement
  • Preview Affidavit of Understanding & Addendum to Purchase Agreement

Form popularity

FAQ

The Surprising Cost of Living in Colorado Springs While the cost of living here is 5 percent higher than the national average, it's lower than nearby Denver ? which is 11 percent higher than the national average. And, surprisingly, not everything is more expensive here than the national average.

There are about 30 Colorado Springs zip code numbers. Starting with 80901, the lower zip code numbers are assigned to older neighborhoods. As the city grew, higher zip code numbers were assigned to newer neighborhoods. Colorado Springs Zip Code Map abclegaldocs.com ? blog-Colorado-Notary ? color... abclegaldocs.com ? blog-Colorado-Notary ? color...

Some of the more visited sightseeing attractions in and around Colorado Springs include Garden of the Gods, Pikes Peak ? America's Mountain, United States Olympic Headquarters and Training Center, Cheyenne Mountain Zoo, United States Air Force Academy, and The Broadmoor Hotel. About the City of Colorado Springs coloradosprings.gov ? human-resources ? page coloradosprings.gov ? human-resources ? page

Typical Expenses 1 ADULT2 ADULTS (1 WORKING) 0 Children1 Child Required annual income after taxes $40,626 $70,572 Annual taxes $7,280 $9,966 Required annual income before taxes $47,906 $80,5388 more rows

Colorado Springs is widely regarded as one of the best places to start exploring some of the most beautiful natural landmarks in the USA. Being at the foot of the Rocky Mountains, it has the Pikes Peak nearby and the stunning Garden of the Gods park right in the heart of the city.

Mountain views, an abundance of outdoor recreation, and ample job opportunities are just a few reasons The Springs is one of the best places to live in the U.S. Plus, it's one of the nation's most dog-friendly cities. Here are 13 things to know about living in Colorado Springs! 13 Things to Know About Living in Colorado Springs extraspace.com ? blog ? moving ? city-guides extraspace.com ? blog ? moving ? city-guides

The median listing home price in Colorado Springs, CO was $475K in April 2024, trending down -2.1% year-over-year. The median listing home price per square foot was $226. The median home sold price was $455K.

7 Cheapest Places to Live in CO La Junta. ? Cost of Living Compared to National Average. ... Lamar. ? Cost of Living Compared to National Average. ... Pueblo. ? Cost of Living Compared to National Average. ... Brush. ? Cost of Living Compared to National Average. ... Canon City. ... Grand Junction. ... Fountain.

A higher population density can cause greater traffic and some additional pollution. Crime rates can be higher in parts of Colorado Springs, as well, because of the population density and overall life in a city setting, so that may be something to take into consideration when thinking about moving here. Living in Colorado Springs: 16 Things You Need To Know - PODS Blog pods.com ? blog ? living-in-colorado-springs pods.com ? blog ? living-in-colorado-springs

Interesting Questions

Trusted and secure by over 3 million people of the world’s leading companies

Colorado Springs Colorado Affidavit of Understanding & Addendum to Purchase Agreement