Portland Oregon Withdrawal as a Defense to Substantive Offenses Committed by Co-Conspirators

State:
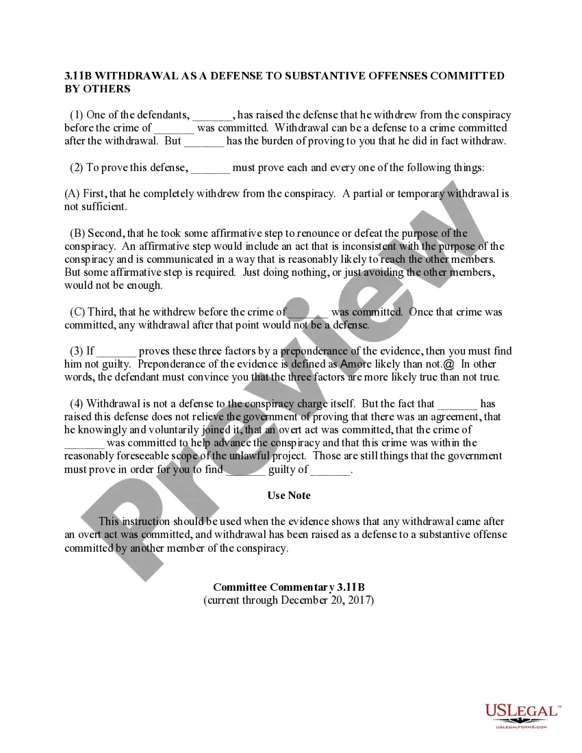
Multi-State
City:
Portland
Control #:
US-3RDCIR-7-04-CR
Format:
Word
Instant download
This website is not affiliated with any governmental entity
Public form

Description

Withdrawal as a Defense to Substantive Offenses Committed by Co-Conspirators Source: http://www.ca3.uscourts.gov/model-criminal-jury-table-contents-and-instructions

Form popularity

FAQ

PORTLAND, Ore. (KOIN) ? If you're a single Portland resident making less than $52.90 per hour, you're not living comfortably, ing to a 2024 study published by the financial tech company SmartAsset. That hourly pay equates to $110,032 per year.

Portland, city, seat (1854) of Multnomah county, northwestern Oregon, U.S. The state's largest city, it lies just south of Vancouver, Washington, on the Willamette River near its confluence with the Columbia River, about 100 miles (160 km) by river from the Pacific Ocean.

Portland, Oregon's cost of living is 24% higher than the national average.

Enjoy a High Quality of Life Despite high real estate prices, residents still enjoy an excellent quality of life in Portland. You can take advantage of Portland's tax-free shopping when visiting all your favorite stores, and the city as a whole is committed to green energy and sustainability.

Oregon Portland / State

Portland is perhaps best known for being a sustainability-minded, bike-friendly city with easy access to nature; plentiful coffee, art, craft beer, delicious food and live music; and crafty people who celebrate individuality and creativity (which, yes, some people call ?weird?).

Known for its eclectic and vibrant culture, Portland offers a unique blend of urban attractions and natural beauty. From the iconic Powell's City of Books to the breathtaking International Rose Test Garden, the city is a haven for book lovers and nature enthusiasts.

Portland scored 7.4 on the magazine's 10-point scale for quality of life. The city came in just below San Jose, Calif., which also received a score of 7.4 but ranked No. 4, and above Boston, which scored 7.3 and was No. 6.

Interesting Questions

Trusted and secure by over 3 million people of the world’s leading companies

Portland Oregon Withdrawal as a Defense to Substantive Offenses Committed by Co-Conspirators