Albuquerque New Mexico Checklist - Conducting a Brainstorming Session

State:
Multi-State
City:
Albuquerque
Control #:
US-3154SB
Format:
Word; 
Rich Text
Instant download

Description

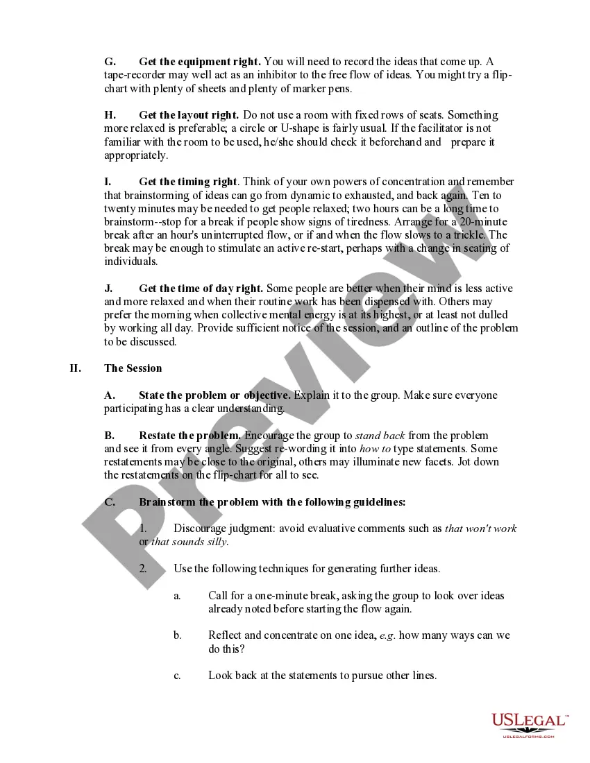
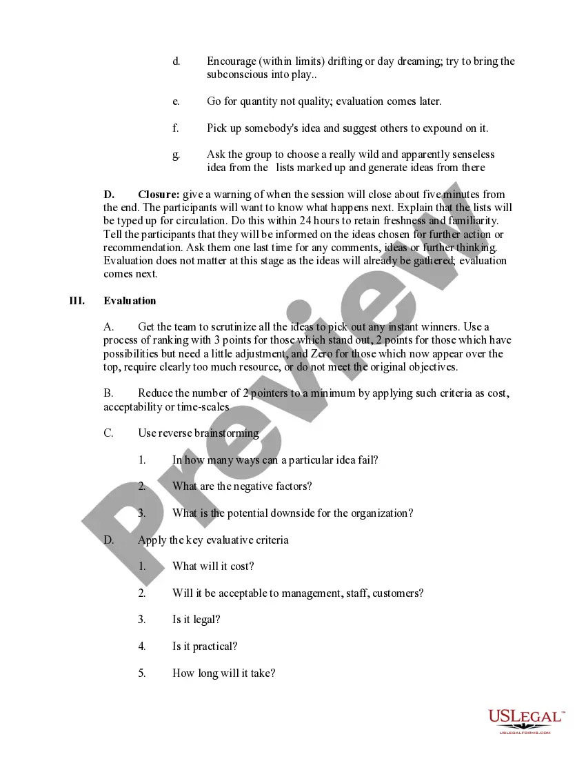
Brainstorming is a technique for generating ideas, developing creativity, or problem solving, in small groups, through the free-flowing contributions of participants. The purpose of this checklist is to enable a busy manager, without previous experience o
Free preview
  • Preview Checklist - Conducting a Brainstorming Session
  • Preview Checklist - Conducting a Brainstorming Session
  • Preview Checklist - Conducting a Brainstorming Session
  • Preview Checklist - Conducting a Brainstorming Session

Form popularity

FAQ

The cost of living in Albuquerque, NM is 1% lower than the state average and 6% lower than the national average. Albuquerque, NM housing is 16% cheaper than the U.S average, while utilities are about 2% less pricey.

Albuquerque is mostly known for its International Balloon Fiesta, which takes place the first two weeks in October. If you happen to be here at other times of the year, there's still a wide variety of things to do.

Albuquerque, city, seat (1883) of Bernalillo county, west-central New Mexico, U.S., located on the Rio Grande opposite a pass between the Sandia and Manzano mountains to the east.

In addition to outdoor recreation, Albuquerque enjoys a thriving art scene with a wide array of local galleries and a flourishing performing arts scene. Families enjoy visiting Albuquerque's zoo, aquarium and museums, such as the New Mexico Museum of Natural History & Science and the Explora children's museum.

Recognized as one of the most culturally diverse cities in the country, Albuquerque's ethnic tapestry is reflected in its architecture, artwork, cultural centers and cuisine. Countless customs and traditions are a vibrant part of daily life in the city, making Albuquerque the cultural capital of the Southwest.

Albuquerque (/?ælb?k??rki/ AL-b?-kur-kee; Spanish: [al?u?ke?ke]), also known as ABQ, Burque, and the Duke City, is the most populous city in the U.S. state of New Mexico.

New Mexico Welcome to Albuquerque. At the heart of New Mexico beats the pulse of a vibrant city. In Albuquerque, diverse cultures, authentic art and dynamic traditions have helped shape our centuries-old story. Visit Albuquerque: The Official Website for Albuquerque, New ... visitalbuquerque.org visitalbuquerque.org

Recognized as one of the most culturally diverse cities in the country, Albuquerque's ethnic tapestry is reflected in its architecture, artwork, cultural centers and cuisine. Countless customs and traditions are a vibrant part of daily life in the city, making Albuquerque the cultural capital of the Southwest.

It is home to several historic landmarks, the University of New Mexico, the Albuquerque International Balloon Fiesta, the Gathering of Nations, the New Mexico State Fair, and a diverse restaurant scene, which features both New Mexican and global cuisine. Albuquerque, New Mexico - Wikipedia wikipedia.org ? wiki ? Albuquerque,_New_Me... wikipedia.org ? wiki ? Albuquerque,_New_Me...

Interesting Questions

Trusted and secure by over 3 million people of the world’s leading companies

Albuquerque New Mexico Checklist - Conducting a Brainstorming Session