Mesa Arizona Employment Agreement with Noncompetition and Confidentiality Provisions

State:
Multi-State
City:
Mesa
Control #:
US-0709BG
Format:
Word; 
Rich Text
Instant download

Description

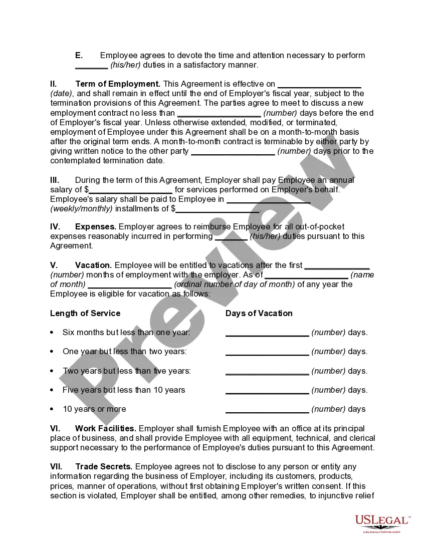
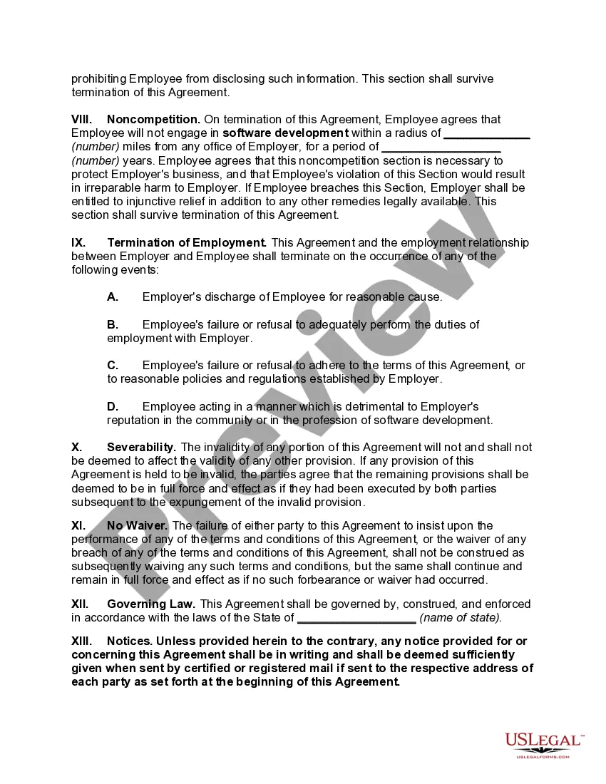
The following form is an employment agreement. This agreement also contains a provision to prevent competition by the employee and disclosure of confidential information acquired by the employee during his/her employment.
Free preview
  • Preview Employment Agreement with Noncompetition and Confidentiality Provisions
  • Preview Employment Agreement with Noncompetition and Confidentiality Provisions
  • Preview Employment Agreement with Noncompetition and Confidentiality Provisions
  • Preview Employment Agreement with Noncompetition and Confidentiality Provisions

Form popularity

FAQ

Mesa (/?me?s?/ MAY-s?) is a city in Maricopa County, Arizona, United States. It is the third-most populous city in Arizona, after Phoenix and Tucson, the 36th-most populous city in the U.S., and the most populous city that is not a county seat.

Mesas are formed by erosion, when water washes smaller and softer types of rocks away from the top of a hill. The strong, durable rock that remains on top of a mesa is called caprock. A mesa is usually wider than it is tall. Mesas are usually found in dry regions where rock layers are horizontal.

Best Suburbs Near Phoenix, Arizona Chandler. Population: 257,165. Median Home Value: $285,000. Paradise Valley. Population: 14,502. ... Scottsdale. Population: 255,310. ... Gilbert. Population: 248,279. ... Mesa. Population: 518,012. ... Fountain Hills. Population: 24,987. ... Peoria. Population: 172,259. ... Goodyear. Population: 82,835. ...

The city of Mesa Arizona is located about 20 miles east of Phoenix Arizona. Mesa Arizona is one of the larger suburbs of Phoenix.

Mesa, (Spanish: ?table?), flat-topped tableland with one or more steep sides, common in the Colorado Plateau regions of the United States; a butte is similar but smaller.

Mesas are isolated, broad flat-topped mountains with at least one steep side. Mesas are abundant in the southwestern states of Colorado, New Mexico, Utah, and Arizona. Buttes are smaller flat topped mountains or hills with steep slopes on all sides.

Mesa, city, Maricopa county, south-central Arizona, U.S. The name is Spanish for ?tabletop? or ?tableland.? A southeastern suburb of Phoenix, the site was settled and founded in 1878 by Mormons who used ancient Hohokam canals for irrigation.

The core part of the Phoenix Metropolitan Area is the Phoenix?Mesa, Arizona Urban Area, which is far smaller than the Metropolitan Statistical Area.

Interesting Questions

Trusted and secure by over 3 million people of the world’s leading companies

Mesa Arizona Employment Agreement with Noncompetition and Confidentiality Provisions